可生物降解微塑料(PLA和PHB)对蚯蚓发育和繁殖的中短期影响。

IF 2.7 4区 环境科学与生态学 Q2 ECOLOGY
Ecotoxicology Pub Date : 2025-07-01 Epub Date: 2025-03-17 DOI:10.1007/s10646-025-02868-x
David Gutiérrez-Rial, Aarón Lagoa, Iria Villar, Pilar Feijoo, Fuencisla Mariño, Josefina Garrido, Benedicto Soto, Salustiano Mato
{"title":"可生物降解微塑料(PLA和PHB)对蚯蚓发育和繁殖的中短期影响。","authors":"David Gutiérrez-Rial, Aarón Lagoa, Iria Villar, Pilar Feijoo, Fuencisla Mariño, Josefina Garrido, Benedicto Soto, Salustiano Mato","doi":"10.1007/s10646-025-02868-x","DOIUrl":null,"url":null,"abstract":"<p><p>Microplastics derived from biobased and biodegradable materials will increase their presence in soils as their use becomes more widespread. Research into their effects on soil fauna will help to ensure a better understanding of their environmental impacts. The aim of this work was to study the effects on the development of the earthworm Eisenia andrei (ingestion capacity, survival, growth, cocoon, and hatchling production), earthworm lysosomal stability through the neutral red retention time (NRTT), and substrate enzymatic activity of dehydrogenase (DHA) and fluorescein diacetate-hydrolysing activity (FDA) in the presence of polylactic acid (PLA), polyhydroxybutyrate (PHB) and polyethylene (PE) microplastics in laboratory tests. Three different tests were designed, one feeding test of 4 days, and two medium-term tests with 49 and 112 days. The 4-day test and the 49-day growth test were carried out using OECD artificial soil, while in the 112-day growth test, vermicompost was used as the substrate. PLA and PHB particle ingestion was demonstrated. No concentration or polymer-dependent lysosomal damage or effects on earthworm growth were observed. However, reproductive effects, such as a decrease in cocoon production and the number of juveniles, were reported upon exposure to PE and PLA during medium-term assays. These findings indicated that the toxicity of PLA bioplastic exposure is comparable to that of conventional plastic PE concerning the negative effects on the reproductive efficiency of the detritivorous earthworm E. andrei.</p>","PeriodicalId":11497,"journal":{"name":"Ecotoxicology","volume":" ","pages":"701-711"},"PeriodicalIF":2.7000,"publicationDate":"2025-07-01","publicationTypes":"Journal Article","fieldsOfStudy":null,"isOpenAccess":false,"openAccessPdf":"https://www.ncbi.nlm.nih.gov/pmc/articles/PMC12254054/pdf/","citationCount":"0","resultStr":"{\"title\":\"Short- and medium-term effects of biodegradable microplastics (PLA and PHB) on earthworm development and reproduction.\",\"authors\":\"David Gutiérrez-Rial, Aarón Lagoa, Iria Villar, Pilar Feijoo, Fuencisla Mariño, Josefina Garrido, Benedicto Soto, Salustiano Mato\",\"doi\":\"10.1007/s10646-025-02868-x\",\"DOIUrl\":null,\"url\":null,\"abstract\":\"<p><p>Microplastics derived from biobased and biodegradable materials will increase their presence in soils as their use becomes more widespread. Research into their effects on soil fauna will help to ensure a better understanding of their environmental impacts. The aim of this work was to study the effects on the development of the earthworm Eisenia andrei (ingestion capacity, survival, growth, cocoon, and hatchling production), earthworm lysosomal stability through the neutral red retention time (NRTT), and substrate enzymatic activity of dehydrogenase (DHA) and fluorescein diacetate-hydrolysing activity (FDA) in the presence of polylactic acid (PLA), polyhydroxybutyrate (PHB) and polyethylene (PE) microplastics in laboratory tests. Three different tests were designed, one feeding test of 4 days, and two medium-term tests with 49 and 112 days. The 4-day test and the 49-day growth test were carried out using OECD artificial soil, while in the 112-day growth test, vermicompost was used as the substrate. PLA and PHB particle ingestion was demonstrated. No concentration or polymer-dependent lysosomal damage or effects on earthworm growth were observed. However, reproductive effects, such as a decrease in cocoon production and the number of juveniles, were reported upon exposure to PE and PLA during medium-term assays. These findings indicated that the toxicity of PLA bioplastic exposure is comparable to that of conventional plastic PE concerning the negative effects on the reproductive efficiency of the detritivorous earthworm E. andrei.</p>\",\"PeriodicalId\":11497,\"journal\":{\"name\":\"Ecotoxicology\",\"volume\":\" \",\"pages\":\"701-711\"},\"PeriodicalIF\":2.7000,\"publicationDate\":\"2025-07-01\",\"publicationTypes\":\"Journal Article\",\"fieldsOfStudy\":null,\"isOpenAccess\":false,\"openAccessPdf\":\"https://www.ncbi.nlm.nih.gov/pmc/articles/PMC12254054/pdf/\",\"citationCount\":\"0\",\"resultStr\":null,\"platform\":\"Semanticscholar\",\"paperid\":null,\"PeriodicalName\":\"Ecotoxicology\",\"FirstCategoryId\":\"93\",\"ListUrlMain\":\"https://doi.org/10.1007/s10646-025-02868-x\",\"RegionNum\":4,\"RegionCategory\":\"环境科学与生态学\",\"ArticlePicture\":[],\"TitleCN\":null,\"AbstractTextCN\":null,\"PMCID\":null,\"EPubDate\":\"2025/3/17 0:00:00\",\"PubModel\":\"Epub\",\"JCR\":\"Q2\",\"JCRName\":\"ECOLOGY\",\"Score\":null,\"Total\":0}","platform":"Semanticscholar","paperid":null,"PeriodicalName":"Ecotoxicology","FirstCategoryId":"93","ListUrlMain":"https://doi.org/10.1007/s10646-025-02868-x","RegionNum":4,"RegionCategory":"环境科学与生态学","ArticlePicture":[],"TitleCN":null,"AbstractTextCN":null,"PMCID":null,"EPubDate":"2025/3/17 0:00:00","PubModel":"Epub","JCR":"Q2","JCRName":"ECOLOGY","Score":null,"Total":0}
引用次数: 0

摘要

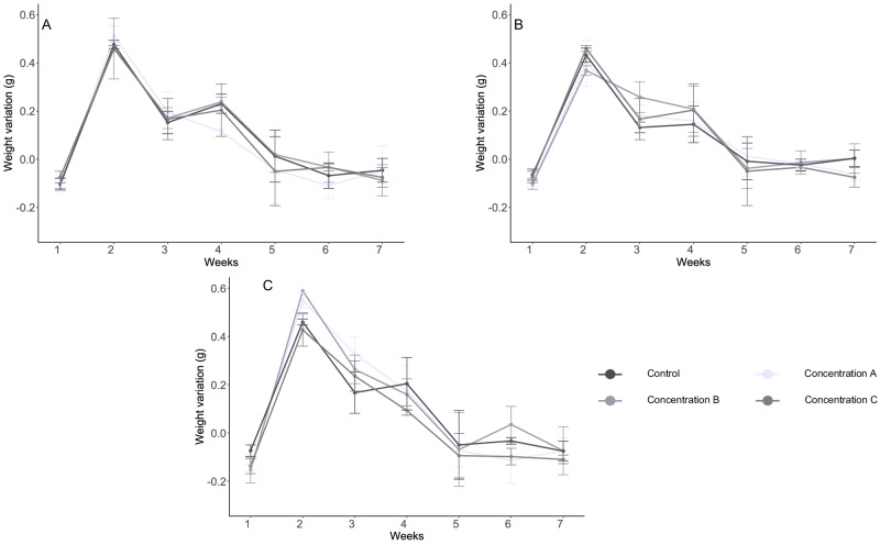
随着生物基材料和可生物降解材料的使用越来越广泛,它们在土壤中的存在也会越来越多。研究它们对土壤动物的影响将有助于更好地了解它们对环境的影响。这项工作的目的是通过中性红保留时间(NRTT)研究对蚯蚓(Eisenia andrei)的发育(摄食能力、存活、生长、结茧和孵化)、蚯蚓溶酶体稳定性的影响、以及在聚乳酸(PLA)、聚羟基丁酸(PHB)和聚乙烯(PE)微塑料存在下的脱氢酶(DHA)和荧光素二乙酸酯水解酶(FDA)的底物酶活性。设计了三种不同的试验,一种是为期 4 天的喂养试验,另一种是为期 49 天和 112 天的中期试验。4 天试验和 49 天生长试验使用的是 OECD 人工土壤,而 112 天生长试验则使用蛭石作为基质。实验证明了聚乳酸和 PHB 颗粒的摄取作用。没有观察到浓度或聚合物依赖性溶酶体损伤或对蚯蚓生长的影响。不过,在中期试验中,有报告称暴露于聚乙烯和聚乳酸会对生殖产生影响,例如蚕茧产量和幼虫数量减少。这些研究结果表明,在对食腐性蚯蚓 E. andrei 的繁殖效率产生负面影响方面,接触聚乳酸生物塑料的毒性与接触传统塑料 PE 的毒性相当。
本文章由计算机程序翻译,如有差异,请以英文原文为准。

Short- and medium-term effects of biodegradable microplastics (PLA and PHB) on earthworm development and reproduction.

Short- and medium-term effects of biodegradable microplastics (PLA and PHB) on earthworm development and reproduction.

Short- and medium-term effects of biodegradable microplastics (PLA and PHB) on earthworm development and reproduction.

Short- and medium-term effects of biodegradable microplastics (PLA and PHB) on earthworm development and reproduction.

Microplastics derived from biobased and biodegradable materials will increase their presence in soils as their use becomes more widespread. Research into their effects on soil fauna will help to ensure a better understanding of their environmental impacts. The aim of this work was to study the effects on the development of the earthworm Eisenia andrei (ingestion capacity, survival, growth, cocoon, and hatchling production), earthworm lysosomal stability through the neutral red retention time (NRTT), and substrate enzymatic activity of dehydrogenase (DHA) and fluorescein diacetate-hydrolysing activity (FDA) in the presence of polylactic acid (PLA), polyhydroxybutyrate (PHB) and polyethylene (PE) microplastics in laboratory tests. Three different tests were designed, one feeding test of 4 days, and two medium-term tests with 49 and 112 days. The 4-day test and the 49-day growth test were carried out using OECD artificial soil, while in the 112-day growth test, vermicompost was used as the substrate. PLA and PHB particle ingestion was demonstrated. No concentration or polymer-dependent lysosomal damage or effects on earthworm growth were observed. However, reproductive effects, such as a decrease in cocoon production and the number of juveniles, were reported upon exposure to PE and PLA during medium-term assays. These findings indicated that the toxicity of PLA bioplastic exposure is comparable to that of conventional plastic PE concerning the negative effects on the reproductive efficiency of the detritivorous earthworm E. andrei.

求助全文
通过发布文献求助,成功后即可免费获取论文全文。 去求助
来源期刊
Ecotoxicology
Ecotoxicology 环境科学-毒理学
CiteScore
5.30
自引率
3.70%
发文量
107
审稿时长
4.7 months
期刊介绍: Ecotoxicology is an international journal devoted to the publication of fundamental research on the effects of toxic chemicals on populations, communities and terrestrial, freshwater and marine ecosystems. It aims to elucidate mechanisms and processes whereby chemicals exert their effects on ecosystems and the impact caused at the population or community level. The journal is not biased with respect to taxon or biome, and papers that indicate possible new approaches to regulation and control of toxic chemicals and those aiding in formulating ways of conserving threatened species are particularly welcome. Studies on individuals should demonstrate linkage to population effects in clear and quantitative ways. Laboratory studies must show a clear linkage to specific field situations. The journal includes not only original research papers but technical notes and review articles, both invited and submitted. A strong, broadly based editorial board ensures as wide an international coverage as possible.
×
引用
GB/T 7714-2015
复制
MLA
复制
APA
复制
导出至
BibTeX EndNote RefMan NoteFirst NoteExpress
×
提示
您的信息不完整,为了账户安全,请先补充。
现在去补充
×
提示
您因"违规操作"
具体请查看互助需知
我知道了
×
提示
确定
请完成安全验证×
copy
已复制链接
快去分享给好友吧!
我知道了
右上角分享
点击右上角分享
0
联系我们:info@booksci.cn Book学术提供免费学术资源搜索服务,方便国内外学者检索中英文文献。致力于提供最便捷和优质的服务体验。 Copyright © 2023 布克学术 All rights reserved.
京ICP备2023020795号-1
ghs 京公网安备 11010802042870号
Book学术文献互助
Book学术文献互助群
群 号:604180095
Book学术官方微信