可持续棕榈油认证无意中影响了马来西亚的生产效率。

IF 8.9 1区 地球科学 Q1 ENVIRONMENTAL SCIENCES
Communications Earth & Environment Pub Date : 2025-01-01 Epub Date: 2025-03-12 DOI:10.1038/s43247-025-02150-2
Nina Zachlod, Michael Hudecheck, Charlotta Sirén, Gerard George
{"title":"可持续棕榈油认证无意中影响了马来西亚的生产效率。","authors":"Nina Zachlod, Michael Hudecheck, Charlotta Sirén, Gerard George","doi":"10.1038/s43247-025-02150-2","DOIUrl":null,"url":null,"abstract":"<p><p>Sustainability certifications have rapidly gained prominence and become standards across many industries, yet knowledge about the potential unintended consequences of their criteria remains limited. Here, we use European Space Agency multispectral imagery satellite data in combination with economic and location data to investigate whether the certification process for palm oil production results in unintended consequences. Our results indicate decreases in plantation efficiency both prior to and following the certification obtainment. Our findings highlight the importance of considering possible unintended consequences of sustainability certifications beyond their immediate goals and criteria.</p>","PeriodicalId":10530,"journal":{"name":"Communications Earth & Environment","volume":"6 1","pages":"200"},"PeriodicalIF":8.9000,"publicationDate":"2025-01-01","publicationTypes":"Journal Article","fieldsOfStudy":null,"isOpenAccess":false,"openAccessPdf":"https://www.ncbi.nlm.nih.gov/pmc/articles/PMC11903298/pdf/","citationCount":"0","resultStr":"{\"title\":\"Sustainable palm oil certification inadvertently affects production efficiency in Malaysia.\",\"authors\":\"Nina Zachlod, Michael Hudecheck, Charlotta Sirén, Gerard George\",\"doi\":\"10.1038/s43247-025-02150-2\",\"DOIUrl\":null,\"url\":null,\"abstract\":\"<p><p>Sustainability certifications have rapidly gained prominence and become standards across many industries, yet knowledge about the potential unintended consequences of their criteria remains limited. Here, we use European Space Agency multispectral imagery satellite data in combination with economic and location data to investigate whether the certification process for palm oil production results in unintended consequences. Our results indicate decreases in plantation efficiency both prior to and following the certification obtainment. Our findings highlight the importance of considering possible unintended consequences of sustainability certifications beyond their immediate goals and criteria.</p>\",\"PeriodicalId\":10530,\"journal\":{\"name\":\"Communications Earth & Environment\",\"volume\":\"6 1\",\"pages\":\"200\"},\"PeriodicalIF\":8.9000,\"publicationDate\":\"2025-01-01\",\"publicationTypes\":\"Journal Article\",\"fieldsOfStudy\":null,\"isOpenAccess\":false,\"openAccessPdf\":\"https://www.ncbi.nlm.nih.gov/pmc/articles/PMC11903298/pdf/\",\"citationCount\":\"0\",\"resultStr\":null,\"platform\":\"Semanticscholar\",\"paperid\":null,\"PeriodicalName\":\"Communications Earth & Environment\",\"FirstCategoryId\":\"93\",\"ListUrlMain\":\"https://doi.org/10.1038/s43247-025-02150-2\",\"RegionNum\":1,\"RegionCategory\":\"地球科学\",\"ArticlePicture\":[],\"TitleCN\":null,\"AbstractTextCN\":null,\"PMCID\":null,\"EPubDate\":\"2025/3/12 0:00:00\",\"PubModel\":\"Epub\",\"JCR\":\"Q1\",\"JCRName\":\"ENVIRONMENTAL SCIENCES\",\"Score\":null,\"Total\":0}","platform":"Semanticscholar","paperid":null,"PeriodicalName":"Communications Earth & Environment","FirstCategoryId":"93","ListUrlMain":"https://doi.org/10.1038/s43247-025-02150-2","RegionNum":1,"RegionCategory":"地球科学","ArticlePicture":[],"TitleCN":null,"AbstractTextCN":null,"PMCID":null,"EPubDate":"2025/3/12 0:00:00","PubModel":"Epub","JCR":"Q1","JCRName":"ENVIRONMENTAL SCIENCES","Score":null,"Total":0}
引用次数: 0

摘要

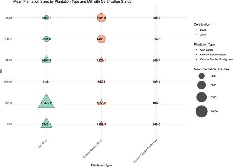
可持续性认证迅速获得重视,并成为许多行业的标准,但对其标准潜在的意外后果的了解仍然有限。在这里,我们使用欧洲航天局的多光谱图像卫星数据结合经济和位置数据来调查棕榈油生产的认证过程是否会产生意想不到的后果。我们的研究结果表明,在获得认证之前和之后,人工林效率都有所下降。我们的研究结果强调了考虑可持续性认证在其直接目标和标准之外可能产生的意外后果的重要性。
本文章由计算机程序翻译,如有差异,请以英文原文为准。

Sustainable palm oil certification inadvertently affects production efficiency in Malaysia.

Sustainable palm oil certification inadvertently affects production efficiency in Malaysia.

Sustainable palm oil certification inadvertently affects production efficiency in Malaysia.

Sustainable palm oil certification inadvertently affects production efficiency in Malaysia.

Sustainability certifications have rapidly gained prominence and become standards across many industries, yet knowledge about the potential unintended consequences of their criteria remains limited. Here, we use European Space Agency multispectral imagery satellite data in combination with economic and location data to investigate whether the certification process for palm oil production results in unintended consequences. Our results indicate decreases in plantation efficiency both prior to and following the certification obtainment. Our findings highlight the importance of considering possible unintended consequences of sustainability certifications beyond their immediate goals and criteria.

求助全文
通过发布文献求助,成功后即可免费获取论文全文。 去求助
来源期刊
Communications Earth & Environment
Communications Earth & Environment Earth and Planetary Sciences-General Earth and Planetary Sciences
CiteScore
8.60
自引率
2.50%
发文量
269
审稿时长
26 weeks
期刊介绍: Communications Earth & Environment is an open access journal from Nature Portfolio publishing high-quality research, reviews and commentary in all areas of the Earth, environmental and planetary sciences. Research papers published by the journal represent significant advances that bring new insight to a specialized area in Earth science, planetary science or environmental science. Communications Earth & Environment has a 2-year impact factor of 7.9 (2022 Journal Citation Reports®). Articles published in the journal in 2022 were downloaded 1,412,858 times. Median time from submission to the first editorial decision is 8 days.
×
引用
GB/T 7714-2015
复制
MLA
复制
APA
复制
导出至
BibTeX EndNote RefMan NoteFirst NoteExpress
×
提示
您的信息不完整,为了账户安全,请先补充。
现在去补充
×
提示
您因"违规操作"
具体请查看互助需知
我知道了
×
提示
确定
请完成安全验证×
copy
已复制链接
快去分享给好友吧!
我知道了
右上角分享
点击右上角分享
0
联系我们:info@booksci.cn Book学术提供免费学术资源搜索服务,方便国内外学者检索中英文文献。致力于提供最便捷和优质的服务体验。 Copyright © 2023 布克学术 All rights reserved.
京ICP备2023020795号-1
ghs 京公网安备 11010802042870号
Book学术文献互助
Book学术文献互助群
群 号:604180095
Book学术官方微信