白内障患者术前眼光学参数分析。

IF 2.9 4区 医学 Q3 ENGINEERING, BIOMEDICAL
Wenqun Xi, Xinhua Liu, Zhiqiang Ren, Xiaosheng Huang, Liangnan Sun, Ye Ye, Yanhua Zhao, Zhe Zhang, Kun Zeng
{"title":"白内障患者术前眼光学参数分析。","authors":"Wenqun Xi, Xinhua Liu, Zhiqiang Ren, Xiaosheng Huang, Liangnan Sun, Ye Ye, Yanhua Zhao, Zhe Zhang, Kun Zeng","doi":"10.1186/s12938-025-01364-x","DOIUrl":null,"url":null,"abstract":"<p><p>This study aims to evaluate the distribution of preoperative corneal parameters obtained using the Pentacam anterior segment analyzer in Chinese male and female patients with cataracts and to investigate the correlation between these parameters and related factors. Preoperative examination data of the eyes of 1,255 patients who underwent cataract surgery were retrospectively analyzed. The Pentacam AXL was used to extract preoperative corneal measurements, and the total corneal measurement data were analyzed. The average age of the patients was 52.9 ± 21.3 years. The mean simulated keratometry values and corneal curvature of total corneal refractive power were positively correlated with age (both P < 0.01). Spearman's correlation analysis revealed a positive association between age and anterior corneal spherical aberration, posterior corneal spherical aberration, and total corneal spherical aberration changes. A negative correlation was found between age and with-the-rule astigmatism, and it was positively correlated with the ratios of against-the-rule and oblique astigmatism. A significant between-eye correlation was observed regarding spherical aberration (Z40), horizontal coma (Z31), vertical coma (Z3-1), and horizontal trefoil (Z33). The corneal curvature in females was significantly steeper than that in males (P < 0.01). Corneal curvature, corneal spherical aberration, and corneal astigmatism were found to change with age. Additionally, we found physiological differences between the sexes. Individual measurements could be taken preoperatively to facilitate the development of personalized surgical plans. By identifying age- and gender-related corneal variations, this study enables more personalized cataract surgery planning, potentially improving refractive outcomes and reducing postoperative complications through tailored surgical techniques and intraocular lens selection.</p>","PeriodicalId":8927,"journal":{"name":"BioMedical Engineering OnLine","volume":"24 1","pages":"35"},"PeriodicalIF":2.9000,"publicationDate":"2025-03-16","publicationTypes":"Journal Article","fieldsOfStudy":null,"isOpenAccess":false,"openAccessPdf":"https://www.ncbi.nlm.nih.gov/pmc/articles/PMC11912591/pdf/","citationCount":"0","resultStr":"{\"title\":\"Analysis of preoperative ocular optical parameters in patients with cataract.\",\"authors\":\"Wenqun Xi, Xinhua Liu, Zhiqiang Ren, Xiaosheng Huang, Liangnan Sun, Ye Ye, Yanhua Zhao, Zhe Zhang, Kun Zeng\",\"doi\":\"10.1186/s12938-025-01364-x\",\"DOIUrl\":null,\"url\":null,\"abstract\":\"<p><p>This study aims to evaluate the distribution of preoperative corneal parameters obtained using the Pentacam anterior segment analyzer in Chinese male and female patients with cataracts and to investigate the correlation between these parameters and related factors. Preoperative examination data of the eyes of 1,255 patients who underwent cataract surgery were retrospectively analyzed. The Pentacam AXL was used to extract preoperative corneal measurements, and the total corneal measurement data were analyzed. The average age of the patients was 52.9 ± 21.3 years. The mean simulated keratometry values and corneal curvature of total corneal refractive power were positively correlated with age (both P < 0.01). Spearman's correlation analysis revealed a positive association between age and anterior corneal spherical aberration, posterior corneal spherical aberration, and total corneal spherical aberration changes. A negative correlation was found between age and with-the-rule astigmatism, and it was positively correlated with the ratios of against-the-rule and oblique astigmatism. A significant between-eye correlation was observed regarding spherical aberration (Z40), horizontal coma (Z31), vertical coma (Z3-1), and horizontal trefoil (Z33). The corneal curvature in females was significantly steeper than that in males (P < 0.01). Corneal curvature, corneal spherical aberration, and corneal astigmatism were found to change with age. Additionally, we found physiological differences between the sexes. Individual measurements could be taken preoperatively to facilitate the development of personalized surgical plans. By identifying age- and gender-related corneal variations, this study enables more personalized cataract surgery planning, potentially improving refractive outcomes and reducing postoperative complications through tailored surgical techniques and intraocular lens selection.</p>\",\"PeriodicalId\":8927,\"journal\":{\"name\":\"BioMedical Engineering OnLine\",\"volume\":\"24 1\",\"pages\":\"35\"},\"PeriodicalIF\":2.9000,\"publicationDate\":\"2025-03-16\",\"publicationTypes\":\"Journal Article\",\"fieldsOfStudy\":null,\"isOpenAccess\":false,\"openAccessPdf\":\"https://www.ncbi.nlm.nih.gov/pmc/articles/PMC11912591/pdf/\",\"citationCount\":\"0\",\"resultStr\":null,\"platform\":\"Semanticscholar\",\"paperid\":null,\"PeriodicalName\":\"BioMedical Engineering OnLine\",\"FirstCategoryId\":\"5\",\"ListUrlMain\":\"https://doi.org/10.1186/s12938-025-01364-x\",\"RegionNum\":4,\"RegionCategory\":\"医学\",\"ArticlePicture\":[],\"TitleCN\":null,\"AbstractTextCN\":null,\"PMCID\":null,\"EPubDate\":\"\",\"PubModel\":\"\",\"JCR\":\"Q3\",\"JCRName\":\"ENGINEERING, BIOMEDICAL\",\"Score\":null,\"Total\":0}","platform":"Semanticscholar","paperid":null,"PeriodicalName":"BioMedical Engineering OnLine","FirstCategoryId":"5","ListUrlMain":"https://doi.org/10.1186/s12938-025-01364-x","RegionNum":4,"RegionCategory":"医学","ArticlePicture":[],"TitleCN":null,"AbstractTextCN":null,"PMCID":null,"EPubDate":"","PubModel":"","JCR":"Q3","JCRName":"ENGINEERING, BIOMEDICAL","Score":null,"Total":0}
引用次数: 0

摘要

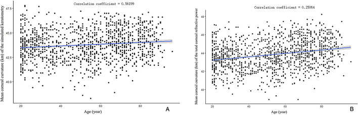
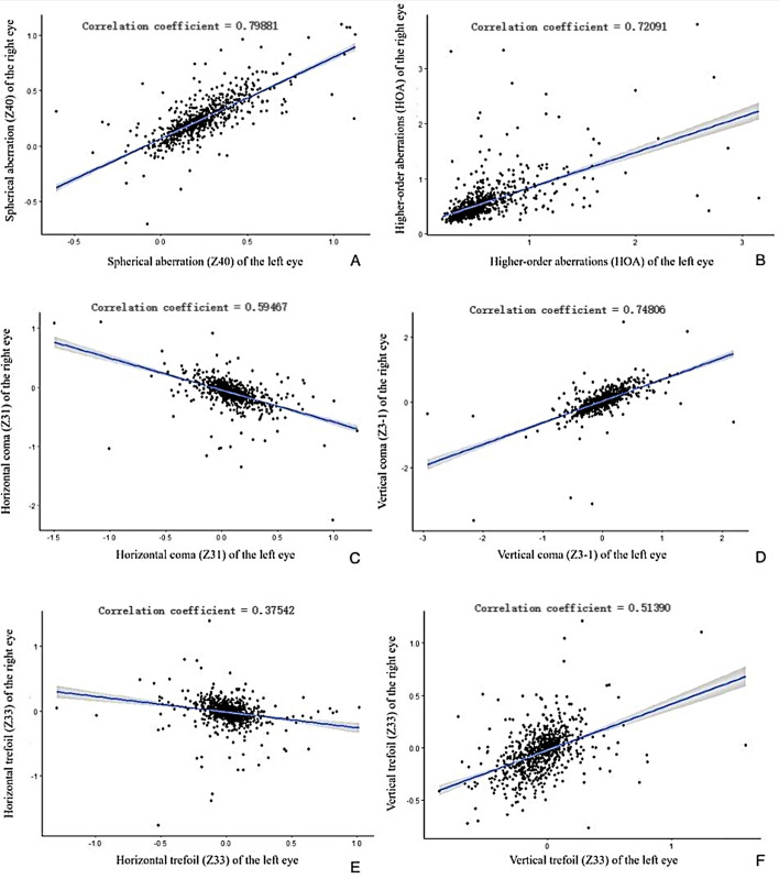
本研究旨在评价Pentacam前段分析仪在中国男性和女性白内障患者术前角膜参数的分布,并探讨这些参数与相关因素的相关性。回顾性分析1255例白内障手术患者的术前检查资料。使用Pentacam AXL提取术前角膜测量数据,并对角膜总测量数据进行分析。患者平均年龄52.9±21.3岁。平均模拟角膜测量值和角膜屈光度与年龄呈正相关(P
本文章由计算机程序翻译,如有差异,请以英文原文为准。

Analysis of preoperative ocular optical parameters in patients with cataract.

Analysis of preoperative ocular optical parameters in patients with cataract.

Analysis of preoperative ocular optical parameters in patients with cataract.

Analysis of preoperative ocular optical parameters in patients with cataract.

This study aims to evaluate the distribution of preoperative corneal parameters obtained using the Pentacam anterior segment analyzer in Chinese male and female patients with cataracts and to investigate the correlation between these parameters and related factors. Preoperative examination data of the eyes of 1,255 patients who underwent cataract surgery were retrospectively analyzed. The Pentacam AXL was used to extract preoperative corneal measurements, and the total corneal measurement data were analyzed. The average age of the patients was 52.9 ± 21.3 years. The mean simulated keratometry values and corneal curvature of total corneal refractive power were positively correlated with age (both P < 0.01). Spearman's correlation analysis revealed a positive association between age and anterior corneal spherical aberration, posterior corneal spherical aberration, and total corneal spherical aberration changes. A negative correlation was found between age and with-the-rule astigmatism, and it was positively correlated with the ratios of against-the-rule and oblique astigmatism. A significant between-eye correlation was observed regarding spherical aberration (Z40), horizontal coma (Z31), vertical coma (Z3-1), and horizontal trefoil (Z33). The corneal curvature in females was significantly steeper than that in males (P < 0.01). Corneal curvature, corneal spherical aberration, and corneal astigmatism were found to change with age. Additionally, we found physiological differences between the sexes. Individual measurements could be taken preoperatively to facilitate the development of personalized surgical plans. By identifying age- and gender-related corneal variations, this study enables more personalized cataract surgery planning, potentially improving refractive outcomes and reducing postoperative complications through tailored surgical techniques and intraocular lens selection.

求助全文
通过发布文献求助,成功后即可免费获取论文全文。 去求助
来源期刊
BioMedical Engineering OnLine
BioMedical Engineering OnLine 工程技术-工程:生物医学
CiteScore
6.70
自引率
2.60%
发文量
79
审稿时长
1 months
期刊介绍: BioMedical Engineering OnLine is an open access, peer-reviewed journal that is dedicated to publishing research in all areas of biomedical engineering. BioMedical Engineering OnLine is aimed at readers and authors throughout the world, with an interest in using tools of the physical and data sciences and techniques in engineering to understand and solve problems in the biological and medical sciences. Topical areas include, but are not limited to: Bioinformatics- Bioinstrumentation- Biomechanics- Biomedical Devices & Instrumentation- Biomedical Signal Processing- Healthcare Information Systems- Human Dynamics- Neural Engineering- Rehabilitation Engineering- Biomaterials- Biomedical Imaging & Image Processing- BioMEMS and On-Chip Devices- Bio-Micro/Nano Technologies- Biomolecular Engineering- Biosensors- Cardiovascular Systems Engineering- Cellular Engineering- Clinical Engineering- Computational Biology- Drug Delivery Technologies- Modeling Methodologies- Nanomaterials and Nanotechnology in Biomedicine- Respiratory Systems Engineering- Robotics in Medicine- Systems and Synthetic Biology- Systems Biology- Telemedicine/Smartphone Applications in Medicine- Therapeutic Systems, Devices and Technologies- Tissue Engineering
×
引用
GB/T 7714-2015
复制
MLA
复制
APA
复制
导出至
BibTeX EndNote RefMan NoteFirst NoteExpress
×
提示
您的信息不完整,为了账户安全,请先补充。
现在去补充
×
提示
您因"违规操作"
具体请查看互助需知
我知道了
×
提示
确定
请完成安全验证×
copy
已复制链接
快去分享给好友吧!
我知道了
右上角分享
点击右上角分享
0
联系我们:info@booksci.cn Book学术提供免费学术资源搜索服务,方便国内外学者检索中英文文献。致力于提供最便捷和优质的服务体验。 Copyright © 2023 布克学术 All rights reserved.
京ICP备2023020795号-1
ghs 京公网安备 11010802042870号
Book学术文献互助
Book学术文献互助群
群 号:604180095
Book学术官方微信