慢性鼻窦炎伴鼻息肉的血液和局部鼻嗜酸性粒细胞增多:患病率及其与疾病严重程度的相关性

IF 2.1 4区 医学 Q2 OTORHINOLARYNGOLOGY
Eugenio De Corso, Marco Corbò, Claudio Montuori, Daniela Furno, Veronica Seccia, Tiziana Di Cesare, Carlotta Pipolo, Silvia Baroni, Rodolfo Mastrapasqua, Alberta Rizzuti, Giuseppe D'Agostino, Leandro Maria D'Auria, Maria Clara Pacilli, Jacopo Galli
{"title":"慢性鼻窦炎伴鼻息肉的血液和局部鼻嗜酸性粒细胞增多:患病率及其与疾病严重程度的相关性","authors":"Eugenio De Corso, Marco Corbò, Claudio Montuori, Daniela Furno, Veronica Seccia, Tiziana Di Cesare, Carlotta Pipolo, Silvia Baroni, Rodolfo Mastrapasqua, Alberta Rizzuti, Giuseppe D'Agostino, Leandro Maria D'Auria, Maria Clara Pacilli, Jacopo Galli","doi":"10.14639/0392-100X-N2877","DOIUrl":null,"url":null,"abstract":"<p><strong>Objective: </strong>The aim of this study was to evaluate the clinical relevance of absolute eosinophil blood count and eosinophil count by nasal cytology in the context of real-life clinical practice and to determine if they correlate with the severity of symptoms in patients with chronic rhinosinusitis with nasal polyps (CRSwNP).</p><p><strong>Methods: </strong>We enrolled 425 patients with CRSwNP followed between January 2015 and April 2023 at the A. Gemelli Hospital Foundation-IRCCS, Rome, Italy. We gathered data on blood and local eosinophil count and correlated the results with clinical features. All patients underwent endoscopy, Visual Analogical Scale (VAS) for main symptoms, and SinoNasal Outcome Test 22 (SNOT-22).</p><p><strong>Results: </strong>We observed significantly higher mean levels of eosinophils in serum and at nasal cytology in patients with CRSwNP and comorbidities (asthma, non-steroidal anti-inflammatory drugs - exacerbated respiratory disease and allergy) compared to those without. Blood eosinophilia was not associated with severity of symptoms, whereas patients with nasal eosinophil count > 5 eosinophils per high-power field at nasal cytology had a significantly higher median specific VAS for nasal symptoms and significantly higher SNOT 22 scores.</p><p><strong>Conclusions: </strong>We demonstrated that blood eosinophil count and nasal cytology may represent useful tools in routine clinical practice to define Type 2 inflammation and that their levels are usually higher in patients with comorbidities. We also showed that blood eosinophilia was not correlated with severity of symptoms, whereas local eosinophil count was associated with high severity of symptoms and high burden on quality of life.</p>","PeriodicalId":6890,"journal":{"name":"Acta Otorhinolaryngologica Italica","volume":"45 1","pages":"39-46"},"PeriodicalIF":2.1000,"publicationDate":"2025-02-01","publicationTypes":"Journal Article","fieldsOfStudy":null,"isOpenAccess":false,"openAccessPdf":"https://www.ncbi.nlm.nih.gov/pmc/articles/PMC11924190/pdf/","citationCount":"0","resultStr":"{\"title\":\"Blood and local nasal eosinophilia in chronic rhinosinusitis with nasal polyps: prevalence and correlation with severity of disease.\",\"authors\":\"Eugenio De Corso, Marco Corbò, Claudio Montuori, Daniela Furno, Veronica Seccia, Tiziana Di Cesare, Carlotta Pipolo, Silvia Baroni, Rodolfo Mastrapasqua, Alberta Rizzuti, Giuseppe D'Agostino, Leandro Maria D'Auria, Maria Clara Pacilli, Jacopo Galli\",\"doi\":\"10.14639/0392-100X-N2877\",\"DOIUrl\":null,\"url\":null,\"abstract\":\"<p><strong>Objective: </strong>The aim of this study was to evaluate the clinical relevance of absolute eosinophil blood count and eosinophil count by nasal cytology in the context of real-life clinical practice and to determine if they correlate with the severity of symptoms in patients with chronic rhinosinusitis with nasal polyps (CRSwNP).</p><p><strong>Methods: </strong>We enrolled 425 patients with CRSwNP followed between January 2015 and April 2023 at the A. Gemelli Hospital Foundation-IRCCS, Rome, Italy. We gathered data on blood and local eosinophil count and correlated the results with clinical features. All patients underwent endoscopy, Visual Analogical Scale (VAS) for main symptoms, and SinoNasal Outcome Test 22 (SNOT-22).</p><p><strong>Results: </strong>We observed significantly higher mean levels of eosinophils in serum and at nasal cytology in patients with CRSwNP and comorbidities (asthma, non-steroidal anti-inflammatory drugs - exacerbated respiratory disease and allergy) compared to those without. Blood eosinophilia was not associated with severity of symptoms, whereas patients with nasal eosinophil count > 5 eosinophils per high-power field at nasal cytology had a significantly higher median specific VAS for nasal symptoms and significantly higher SNOT 22 scores.</p><p><strong>Conclusions: </strong>We demonstrated that blood eosinophil count and nasal cytology may represent useful tools in routine clinical practice to define Type 2 inflammation and that their levels are usually higher in patients with comorbidities. We also showed that blood eosinophilia was not correlated with severity of symptoms, whereas local eosinophil count was associated with high severity of symptoms and high burden on quality of life.</p>\",\"PeriodicalId\":6890,\"journal\":{\"name\":\"Acta Otorhinolaryngologica Italica\",\"volume\":\"45 1\",\"pages\":\"39-46\"},\"PeriodicalIF\":2.1000,\"publicationDate\":\"2025-02-01\",\"publicationTypes\":\"Journal Article\",\"fieldsOfStudy\":null,\"isOpenAccess\":false,\"openAccessPdf\":\"https://www.ncbi.nlm.nih.gov/pmc/articles/PMC11924190/pdf/\",\"citationCount\":\"0\",\"resultStr\":null,\"platform\":\"Semanticscholar\",\"paperid\":null,\"PeriodicalName\":\"Acta Otorhinolaryngologica Italica\",\"FirstCategoryId\":\"3\",\"ListUrlMain\":\"https://doi.org/10.14639/0392-100X-N2877\",\"RegionNum\":4,\"RegionCategory\":\"医学\",\"ArticlePicture\":[],\"TitleCN\":null,\"AbstractTextCN\":null,\"PMCID\":null,\"EPubDate\":\"\",\"PubModel\":\"\",\"JCR\":\"Q2\",\"JCRName\":\"OTORHINOLARYNGOLOGY\",\"Score\":null,\"Total\":0}","platform":"Semanticscholar","paperid":null,"PeriodicalName":"Acta Otorhinolaryngologica Italica","FirstCategoryId":"3","ListUrlMain":"https://doi.org/10.14639/0392-100X-N2877","RegionNum":4,"RegionCategory":"医学","ArticlePicture":[],"TitleCN":null,"AbstractTextCN":null,"PMCID":null,"EPubDate":"","PubModel":"","JCR":"Q2","JCRName":"OTORHINOLARYNGOLOGY","Score":null,"Total":0}
引用次数: 0

摘要

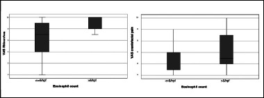
目的:本研究的目的是评估在现实临床实践背景下,鼻细胞学检测的绝对嗜酸性粒细胞血细胞计数和嗜酸性粒细胞计数的临床相关性,并确定它们是否与慢性鼻窦炎伴鼻息肉(CRSwNP)患者症状的严重程度相关。方法:2015年1月至2023年4月,我们在意大利罗马A. Gemelli医院基金会- irccs招募了425例CRSwNP患者。我们收集了血液和局部嗜酸性粒细胞计数的数据,并将结果与临床特征联系起来。所有患者均行内窥镜检查、视觉模拟评分(VAS)评估主要症状,并进行鼻窦预后测试22 (SNOT-22)。结果:我们观察到,与没有CRSwNP的患者相比,伴有合并症(哮喘、非甾体抗炎药加重呼吸系统疾病和过敏)的患者血清和鼻细胞学中嗜酸性粒细胞的平均水平显著升高。血液嗜酸性粒细胞增多与症状的严重程度无关,而鼻腔细胞学检查中每高倍视野嗜酸性粒细胞计数为bb50的患者,鼻腔症状的中位特异性VAS评分显著较高,SNOT 22评分显著较高。结论:我们证明了血液嗜酸性粒细胞计数和鼻细胞学可能是常规临床实践中确定2型炎症的有用工具,并且它们的水平通常在合并疾病的患者中较高。我们还表明,血液嗜酸性粒细胞与症状的严重程度无关,而局部嗜酸性粒细胞计数与症状的严重程度和生活质量的高负担有关。
本文章由计算机程序翻译,如有差异,请以英文原文为准。

Blood and local nasal eosinophilia in chronic rhinosinusitis with nasal polyps: prevalence and correlation with severity of disease.

Blood and local nasal eosinophilia in chronic rhinosinusitis with nasal polyps: prevalence and correlation with severity of disease.

Blood and local nasal eosinophilia in chronic rhinosinusitis with nasal polyps: prevalence and correlation with severity of disease.

Blood and local nasal eosinophilia in chronic rhinosinusitis with nasal polyps: prevalence and correlation with severity of disease.

Objective: The aim of this study was to evaluate the clinical relevance of absolute eosinophil blood count and eosinophil count by nasal cytology in the context of real-life clinical practice and to determine if they correlate with the severity of symptoms in patients with chronic rhinosinusitis with nasal polyps (CRSwNP).

Methods: We enrolled 425 patients with CRSwNP followed between January 2015 and April 2023 at the A. Gemelli Hospital Foundation-IRCCS, Rome, Italy. We gathered data on blood and local eosinophil count and correlated the results with clinical features. All patients underwent endoscopy, Visual Analogical Scale (VAS) for main symptoms, and SinoNasal Outcome Test 22 (SNOT-22).

Results: We observed significantly higher mean levels of eosinophils in serum and at nasal cytology in patients with CRSwNP and comorbidities (asthma, non-steroidal anti-inflammatory drugs - exacerbated respiratory disease and allergy) compared to those without. Blood eosinophilia was not associated with severity of symptoms, whereas patients with nasal eosinophil count > 5 eosinophils per high-power field at nasal cytology had a significantly higher median specific VAS for nasal symptoms and significantly higher SNOT 22 scores.

Conclusions: We demonstrated that blood eosinophil count and nasal cytology may represent useful tools in routine clinical practice to define Type 2 inflammation and that their levels are usually higher in patients with comorbidities. We also showed that blood eosinophilia was not correlated with severity of symptoms, whereas local eosinophil count was associated with high severity of symptoms and high burden on quality of life.

求助全文
通过发布文献求助,成功后即可免费获取论文全文。 去求助
来源期刊
Acta Otorhinolaryngologica Italica
Acta Otorhinolaryngologica Italica OTORHINOLARYNGOLOGY-
CiteScore
3.40
自引率
10.00%
发文量
97
审稿时长
6-12 weeks
期刊介绍: Acta Otorhinolaryngologica Italica first appeared as “Annali di Laringologia Otologia e Faringologia” and was founded in 1901 by Giulio Masini. It is the official publication of the Italian Hospital Otology Association (A.O.O.I.) and, since 1976, also of the Società Italiana di Otorinolaringoiatria e Chirurgia Cervico-Facciale (S.I.O.Ch.C.-F.). The journal publishes original articles (clinical trials, cohort studies, case-control studies, cross-sectional surveys, and diagnostic test assessments) of interest in the field of otorhinolaryngology as well as clinical techniques and technology (a short report of unique or original methods for surgical techniques, medical management or new devices or technology), editorials (including editorial guests – special contribution) and letters to the Editor-in-Chief. Articles concerning science investigations and well prepared systematic reviews (including meta-analyses) on themes related to basic science, clinical otorhinolaryngology and head and neck surgery have high priority.
×
引用
GB/T 7714-2015
复制
MLA
复制
APA
复制
导出至
BibTeX EndNote RefMan NoteFirst NoteExpress
×
提示
您的信息不完整,为了账户安全,请先补充。
现在去补充
×
提示
您因"违规操作"
具体请查看互助需知
我知道了
×
提示
确定
请完成安全验证×
copy
已复制链接
快去分享给好友吧!
我知道了
右上角分享
点击右上角分享
0
联系我们:info@booksci.cn Book学术提供免费学术资源搜索服务,方便国内外学者检索中英文文献。致力于提供最便捷和优质的服务体验。 Copyright © 2023 布克学术 All rights reserved.
京ICP备2023020795号-1
ghs 京公网安备 11010802042870号
Book学术文献互助
Book学术文献互助群
群 号:604180095
Book学术官方微信