Lusutrombopag在临床应用中的有效性及其与模拟软件预测血小板计数的相关性:一项多中心研究。

IF 1.1 4区 医学 Q3 MEDICINE, GENERAL & INTERNAL
Internal Medicine Pub Date : 2025-09-15 Epub Date: 2025-03-15 DOI:10.2169/internalmedicine.4822-24
Takushi Manabe, Chikara Ogawa, Takashi Tamada, Naoki Yoshioka, Takehiro Akahane, Hideki Fujii, Hirotaka Arai, Kei Takuma, Mai Nakahara, Kyoko Oura, Tomoko Tadokoro, Koji Fujita, Joji Tani, Asahiro Morishita, Hideki Kobara, Shinichiro Nakamura, Hironori Ochi, Shintaro Takaki, Nami Mori, Keiji Tsuji, Masayuki Kurosaki, Namiki Izumi
{"title":"Lusutrombopag在临床应用中的有效性及其与模拟软件预测血小板计数的相关性:一项多中心研究。","authors":"Takushi Manabe, Chikara Ogawa, Takashi Tamada, Naoki Yoshioka, Takehiro Akahane, Hideki Fujii, Hirotaka Arai, Kei Takuma, Mai Nakahara, Kyoko Oura, Tomoko Tadokoro, Koji Fujita, Joji Tani, Asahiro Morishita, Hideki Kobara, Shinichiro Nakamura, Hironori Ochi, Shintaro Takaki, Nami Mori, Keiji Tsuji, Masayuki Kurosaki, Namiki Izumi","doi":"10.2169/internalmedicine.4822-24","DOIUrl":null,"url":null,"abstract":"<p><p>Objective Lusutrombopag is recommended for severe thrombocytopenia (<5.0×10<sup>4</sup>/μL) in patients with chronic liver disease who are scheduled to undergo invasive procedures. However, reports on the efficacy of repeated lusutrombopag dosing are scarce. It is also not known whether lusutrombopag causes the platelet count to exceed 5.0×10<sup>4</sup>/μL. We evaluated the efficacy of repeated lusutrombopag dosing and the efficacy of the platelet prediction simulation software program. Methods We evaluated the number of platelet elevations according to the number of lusutrombopag administrations. We also evaluated the correlation between the highest software-predicted platelet count and the platelet count measured in actual clinical practice. Patients This retrospective study included 236 patients treated with lusutrombopag at 11 medical institutions in Japan. Results The platelet count increased with the number of lusutrombopag administrations (1, 2, 3, 4, >4) in all groups, and no significant difference was found among the groups (p=0.169). In all groups, the platelet counts reached their highest levels at 8-14 days after treatment with lusutrombopag (p=0.243). There was a correlation between the highest software-predicted platelet count and the platelet count measured in actual clinical practice in all dose frequency groups; however, the correlation was the strongest in the one-dose group (r=0.74, p<0.0001). Conclusion Frequent lusutrombopag administration is therefore both effective and safe, and a platelet prediction simulation software program is thus considered to be useful in practice.</p>","PeriodicalId":13719,"journal":{"name":"Internal Medicine","volume":" ","pages":"2692-2698"},"PeriodicalIF":1.1000,"publicationDate":"2025-09-15","publicationTypes":"Journal Article","fieldsOfStudy":null,"isOpenAccess":false,"openAccessPdf":"https://www.ncbi.nlm.nih.gov/pmc/articles/PMC12508629/pdf/","citationCount":"0","resultStr":"{\"title\":\"Usefulness of Repeated Lusutrombopag Administration in Clinical Practice and Its Correlation with the Simulation Software-Predicted Platelet Count: A Multicenter Study.\",\"authors\":\"Takushi Manabe, Chikara Ogawa, Takashi Tamada, Naoki Yoshioka, Takehiro Akahane, Hideki Fujii, Hirotaka Arai, Kei Takuma, Mai Nakahara, Kyoko Oura, Tomoko Tadokoro, Koji Fujita, Joji Tani, Asahiro Morishita, Hideki Kobara, Shinichiro Nakamura, Hironori Ochi, Shintaro Takaki, Nami Mori, Keiji Tsuji, Masayuki Kurosaki, Namiki Izumi\",\"doi\":\"10.2169/internalmedicine.4822-24\",\"DOIUrl\":null,\"url\":null,\"abstract\":\"<p><p>Objective Lusutrombopag is recommended for severe thrombocytopenia (<5.0×10<sup>4</sup>/μL) in patients with chronic liver disease who are scheduled to undergo invasive procedures. However, reports on the efficacy of repeated lusutrombopag dosing are scarce. It is also not known whether lusutrombopag causes the platelet count to exceed 5.0×10<sup>4</sup>/μL. We evaluated the efficacy of repeated lusutrombopag dosing and the efficacy of the platelet prediction simulation software program. Methods We evaluated the number of platelet elevations according to the number of lusutrombopag administrations. We also evaluated the correlation between the highest software-predicted platelet count and the platelet count measured in actual clinical practice. Patients This retrospective study included 236 patients treated with lusutrombopag at 11 medical institutions in Japan. Results The platelet count increased with the number of lusutrombopag administrations (1, 2, 3, 4, >4) in all groups, and no significant difference was found among the groups (p=0.169). In all groups, the platelet counts reached their highest levels at 8-14 days after treatment with lusutrombopag (p=0.243). There was a correlation between the highest software-predicted platelet count and the platelet count measured in actual clinical practice in all dose frequency groups; however, the correlation was the strongest in the one-dose group (r=0.74, p<0.0001). Conclusion Frequent lusutrombopag administration is therefore both effective and safe, and a platelet prediction simulation software program is thus considered to be useful in practice.</p>\",\"PeriodicalId\":13719,\"journal\":{\"name\":\"Internal Medicine\",\"volume\":\" \",\"pages\":\"2692-2698\"},\"PeriodicalIF\":1.1000,\"publicationDate\":\"2025-09-15\",\"publicationTypes\":\"Journal Article\",\"fieldsOfStudy\":null,\"isOpenAccess\":false,\"openAccessPdf\":\"https://www.ncbi.nlm.nih.gov/pmc/articles/PMC12508629/pdf/\",\"citationCount\":\"0\",\"resultStr\":null,\"platform\":\"Semanticscholar\",\"paperid\":null,\"PeriodicalName\":\"Internal Medicine\",\"FirstCategoryId\":\"3\",\"ListUrlMain\":\"https://doi.org/10.2169/internalmedicine.4822-24\",\"RegionNum\":4,\"RegionCategory\":\"医学\",\"ArticlePicture\":[],\"TitleCN\":null,\"AbstractTextCN\":null,\"PMCID\":null,\"EPubDate\":\"2025/3/15 0:00:00\",\"PubModel\":\"Epub\",\"JCR\":\"Q3\",\"JCRName\":\"MEDICINE, GENERAL & INTERNAL\",\"Score\":null,\"Total\":0}","platform":"Semanticscholar","paperid":null,"PeriodicalName":"Internal Medicine","FirstCategoryId":"3","ListUrlMain":"https://doi.org/10.2169/internalmedicine.4822-24","RegionNum":4,"RegionCategory":"医学","ArticlePicture":[],"TitleCN":null,"AbstractTextCN":null,"PMCID":null,"EPubDate":"2025/3/15 0:00:00","PubModel":"Epub","JCR":"Q3","JCRName":"MEDICINE, GENERAL & INTERNAL","Score":null,"Total":0}
引用次数: 0

摘要

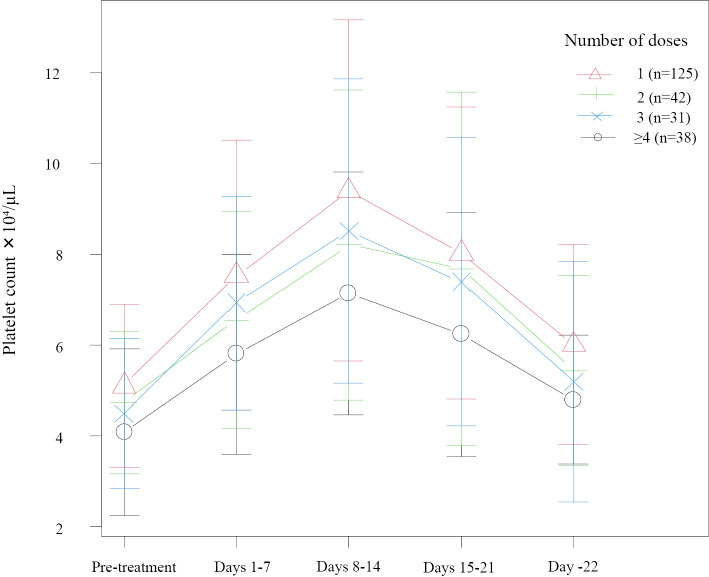
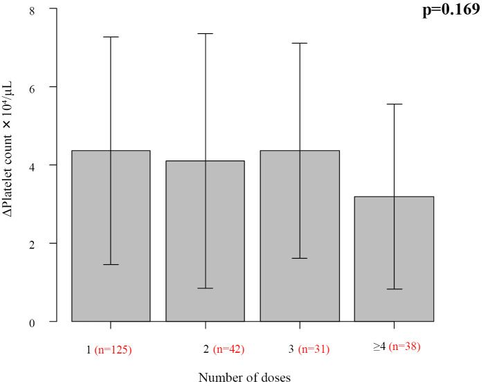
目的推荐Lusutrombopag用于计划行有创手术的慢性肝病患者严重血小板减少(4/μL)。然而,关于重复使用lusutrombopag的疗效的报道很少。lusutrombopag是否导致血小板计数超过5.0×104/μL也不清楚。我们评估了lusutrombopag重复给药的疗效和血小板预测模拟软件程序的疗效。方法根据lusutrombopag给药次数对血小板升高次数进行评价。我们还评估了最高软件预测血小板计数与实际临床实践中测量的血小板计数之间的相关性。本回顾性研究包括日本11家医疗机构接受lusutrombopag治疗的236例患者。结果各组患者血小板计数随lusutrombopag给药次数(1、2、3、4、bb0 4)的增加而增加,各组间差异无统计学意义(p = 0.169)。在所有组中,血小板计数在lusutrombopag治疗后8-14天达到最高水平(p = 0.243)。在所有剂量频率组中,软件预测的最高血小板计数与临床实际测量的血小板计数存在相关性;然而,单剂量组的相关性最强(r = 0.74, p
本文章由计算机程序翻译,如有差异,请以英文原文为准。

Usefulness of Repeated Lusutrombopag Administration in Clinical Practice and Its Correlation with the Simulation Software-Predicted Platelet Count: A Multicenter Study.

Usefulness of Repeated Lusutrombopag Administration in Clinical Practice and Its Correlation with the Simulation Software-Predicted Platelet Count: A Multicenter Study.

Usefulness of Repeated Lusutrombopag Administration in Clinical Practice and Its Correlation with the Simulation Software-Predicted Platelet Count: A Multicenter Study.

Usefulness of Repeated Lusutrombopag Administration in Clinical Practice and Its Correlation with the Simulation Software-Predicted Platelet Count: A Multicenter Study.

Objective Lusutrombopag is recommended for severe thrombocytopenia (<5.0×104/μL) in patients with chronic liver disease who are scheduled to undergo invasive procedures. However, reports on the efficacy of repeated lusutrombopag dosing are scarce. It is also not known whether lusutrombopag causes the platelet count to exceed 5.0×104/μL. We evaluated the efficacy of repeated lusutrombopag dosing and the efficacy of the platelet prediction simulation software program. Methods We evaluated the number of platelet elevations according to the number of lusutrombopag administrations. We also evaluated the correlation between the highest software-predicted platelet count and the platelet count measured in actual clinical practice. Patients This retrospective study included 236 patients treated with lusutrombopag at 11 medical institutions in Japan. Results The platelet count increased with the number of lusutrombopag administrations (1, 2, 3, 4, >4) in all groups, and no significant difference was found among the groups (p=0.169). In all groups, the platelet counts reached their highest levels at 8-14 days after treatment with lusutrombopag (p=0.243). There was a correlation between the highest software-predicted platelet count and the platelet count measured in actual clinical practice in all dose frequency groups; however, the correlation was the strongest in the one-dose group (r=0.74, p<0.0001). Conclusion Frequent lusutrombopag administration is therefore both effective and safe, and a platelet prediction simulation software program is thus considered to be useful in practice.

求助全文
通过发布文献求助,成功后即可免费获取论文全文。 去求助
来源期刊
Internal Medicine
Internal Medicine 医学-医学:内科
CiteScore
1.90
自引率
8.30%
发文量
0
审稿时长
2.2 months
期刊介绍: Internal Medicine is an open-access online only journal published monthly by the Japanese Society of Internal Medicine. Articles must be prepared in accordance with "The Uniform Requirements for Manuscripts Submitted to Biomedical Journals (see Annals of Internal Medicine 108: 258-265, 1988), must be contributed solely to the Internal Medicine, and become the property of the Japanese Society of Internal Medicine. Statements contained therein are the responsibility of the author(s). The Society reserves copyright and renewal on all published material and such material may not be reproduced in any form without the written permission of the Society.
×
引用
GB/T 7714-2015
复制
MLA
复制
APA
复制
导出至
BibTeX EndNote RefMan NoteFirst NoteExpress
×
提示
您的信息不完整,为了账户安全,请先补充。
现在去补充
×
提示
您因"违规操作"
具体请查看互助需知
我知道了
×
提示
确定
请完成安全验证×
copy
已复制链接
快去分享给好友吧!
我知道了
右上角分享
点击右上角分享
0
联系我们:info@booksci.cn Book学术提供免费学术资源搜索服务,方便国内外学者检索中英文文献。致力于提供最便捷和优质的服务体验。 Copyright © 2023 布克学术 All rights reserved.
京ICP备2023020795号-1
ghs 京公网安备 11010802042870号
Book学术文献互助
Book学术文献互助群
群 号:604180095
Book学术官方微信