激光加工铜表面直接吸收抛物槽集热器性能的实验分析。

IF 3.9 2区 综合性期刊 Q1 MULTIDISCIPLINARY SCIENCES
Amirhossein Edalatpour, S M Hosseinalipour, Mahdi Moghimi
{"title":"激光加工铜表面直接吸收抛物槽集热器性能的实验分析。","authors":"Amirhossein Edalatpour, S M Hosseinalipour, Mahdi Moghimi","doi":"10.1038/s41598-025-92689-z","DOIUrl":null,"url":null,"abstract":"<p><p>The growing demand for renewable energy sources has made solar energy an ideal choice due to its unlimited and readily available nature. Direct and indirect absorption parabolic solar collectors are widely used to harness solar energy for water heating in laboratory and industrial applications. In this research, modifications were made to the absorber tube to enhance the efficiency of a Direct Absorption Parabolic Trough Collector (DAPTC). Fiber laser processing is applied to copper surfaces placed at the center of the absorber tube. The spectroscopy technique was used to analyze the main laser parameters, including frequency, speed, and power. It was determined that applying a laser with a frequency of 20 kHz, a speed of 20 mm/s, and 80% of the power of a 30 W laser machine significantly reduces surface reflection. Various patterns, including horizontal lines, vertical lines, and circle patterns, were engraved on the surfaces to evaluate their impact on heat transfer and thermal efficiency improvement. The findings are presented based on an experimental approach, wherein a system was constructed to investigate these effects, and the relevant considerations are discussed. The results indicate that using an unprocessed copper surface increases the thermal efficiency of the collector by up to 32.83%. When laser-processed surfaces with different patterns are used, this increase reaches up to 38.99%. The maximum pressure drop across these surfaces is reported to be 247 Pa, and the performance index ranges between 0.84 and 1.06, indicating the effective operation of the collector using these surfaces.</p>","PeriodicalId":21811,"journal":{"name":"Scientific Reports","volume":"15 1","pages":"8921"},"PeriodicalIF":3.9000,"publicationDate":"2025-03-15","publicationTypes":"Journal Article","fieldsOfStudy":null,"isOpenAccess":false,"openAccessPdf":"https://www.ncbi.nlm.nih.gov/pmc/articles/PMC11909206/pdf/","citationCount":"0","resultStr":"{\"title\":\"An experimental analysis of the performance of direct absorption parabolic trough collectors with laser-processed copper surfaces.\",\"authors\":\"Amirhossein Edalatpour, S M Hosseinalipour, Mahdi Moghimi\",\"doi\":\"10.1038/s41598-025-92689-z\",\"DOIUrl\":null,\"url\":null,\"abstract\":\"<p><p>The growing demand for renewable energy sources has made solar energy an ideal choice due to its unlimited and readily available nature. Direct and indirect absorption parabolic solar collectors are widely used to harness solar energy for water heating in laboratory and industrial applications. In this research, modifications were made to the absorber tube to enhance the efficiency of a Direct Absorption Parabolic Trough Collector (DAPTC). Fiber laser processing is applied to copper surfaces placed at the center of the absorber tube. The spectroscopy technique was used to analyze the main laser parameters, including frequency, speed, and power. It was determined that applying a laser with a frequency of 20 kHz, a speed of 20 mm/s, and 80% of the power of a 30 W laser machine significantly reduces surface reflection. Various patterns, including horizontal lines, vertical lines, and circle patterns, were engraved on the surfaces to evaluate their impact on heat transfer and thermal efficiency improvement. The findings are presented based on an experimental approach, wherein a system was constructed to investigate these effects, and the relevant considerations are discussed. The results indicate that using an unprocessed copper surface increases the thermal efficiency of the collector by up to 32.83%. When laser-processed surfaces with different patterns are used, this increase reaches up to 38.99%. The maximum pressure drop across these surfaces is reported to be 247 Pa, and the performance index ranges between 0.84 and 1.06, indicating the effective operation of the collector using these surfaces.</p>\",\"PeriodicalId\":21811,\"journal\":{\"name\":\"Scientific Reports\",\"volume\":\"15 1\",\"pages\":\"8921\"},\"PeriodicalIF\":3.9000,\"publicationDate\":\"2025-03-15\",\"publicationTypes\":\"Journal Article\",\"fieldsOfStudy\":null,\"isOpenAccess\":false,\"openAccessPdf\":\"https://www.ncbi.nlm.nih.gov/pmc/articles/PMC11909206/pdf/\",\"citationCount\":\"0\",\"resultStr\":null,\"platform\":\"Semanticscholar\",\"paperid\":null,\"PeriodicalName\":\"Scientific Reports\",\"FirstCategoryId\":\"103\",\"ListUrlMain\":\"https://doi.org/10.1038/s41598-025-92689-z\",\"RegionNum\":2,\"RegionCategory\":\"综合性期刊\",\"ArticlePicture\":[],\"TitleCN\":null,\"AbstractTextCN\":null,\"PMCID\":null,\"EPubDate\":\"\",\"PubModel\":\"\",\"JCR\":\"Q1\",\"JCRName\":\"MULTIDISCIPLINARY SCIENCES\",\"Score\":null,\"Total\":0}","platform":"Semanticscholar","paperid":null,"PeriodicalName":"Scientific Reports","FirstCategoryId":"103","ListUrlMain":"https://doi.org/10.1038/s41598-025-92689-z","RegionNum":2,"RegionCategory":"综合性期刊","ArticlePicture":[],"TitleCN":null,"AbstractTextCN":null,"PMCID":null,"EPubDate":"","PubModel":"","JCR":"Q1","JCRName":"MULTIDISCIPLINARY SCIENCES","Score":null,"Total":0}
引用次数: 0

摘要

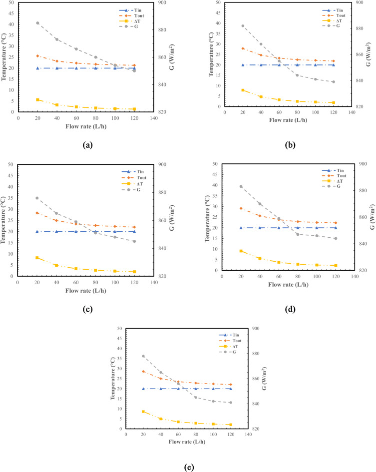
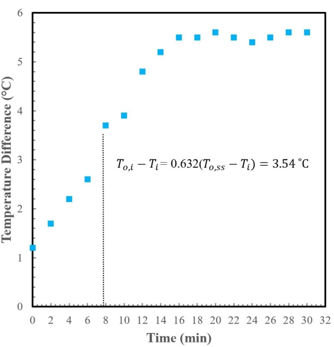
随着对可再生能源需求的不断增长,太阳能因其不受限制和随时可用的特性而成为理想的选择。直接和间接吸收抛物面太阳能集热器被广泛用于利用太阳能为实验室和工业应用中的水加热。本研究对吸收管进行了改造,以提高直接吸收抛物槽式集热器(DAPTC)的效率。吸收管中心的铜表面采用光纤激光加工。光谱技术用于分析激光的主要参数,包括频率、速度和功率。结果表明,使用频率为 20 kHz、速度为 20 mm/s、功率为 30 W 激光机 80% 的激光可显著减少表面反射。在表面雕刻了各种图案,包括水平线、垂直线和圆形图案,以评估它们对热传导和热效率提高的影响。研究结果以实验方法为基础,其中构建了一个系统来研究这些影响,并讨论了相关的注意事项。结果表明,使用未经加工的铜表面可使集热器的热效率提高 32.83%。当使用不同图案的激光加工表面时,热效率最高可提高 38.99%。据报告,这些表面上的最大压降为 247 Pa,性能指数介于 0.84 和 1.06 之间,表明使用这些表面的集热器能有效运行。
本文章由计算机程序翻译,如有差异,请以英文原文为准。

An experimental analysis of the performance of direct absorption parabolic trough collectors with laser-processed copper surfaces.

An experimental analysis of the performance of direct absorption parabolic trough collectors with laser-processed copper surfaces.

An experimental analysis of the performance of direct absorption parabolic trough collectors with laser-processed copper surfaces.

An experimental analysis of the performance of direct absorption parabolic trough collectors with laser-processed copper surfaces.

The growing demand for renewable energy sources has made solar energy an ideal choice due to its unlimited and readily available nature. Direct and indirect absorption parabolic solar collectors are widely used to harness solar energy for water heating in laboratory and industrial applications. In this research, modifications were made to the absorber tube to enhance the efficiency of a Direct Absorption Parabolic Trough Collector (DAPTC). Fiber laser processing is applied to copper surfaces placed at the center of the absorber tube. The spectroscopy technique was used to analyze the main laser parameters, including frequency, speed, and power. It was determined that applying a laser with a frequency of 20 kHz, a speed of 20 mm/s, and 80% of the power of a 30 W laser machine significantly reduces surface reflection. Various patterns, including horizontal lines, vertical lines, and circle patterns, were engraved on the surfaces to evaluate their impact on heat transfer and thermal efficiency improvement. The findings are presented based on an experimental approach, wherein a system was constructed to investigate these effects, and the relevant considerations are discussed. The results indicate that using an unprocessed copper surface increases the thermal efficiency of the collector by up to 32.83%. When laser-processed surfaces with different patterns are used, this increase reaches up to 38.99%. The maximum pressure drop across these surfaces is reported to be 247 Pa, and the performance index ranges between 0.84 and 1.06, indicating the effective operation of the collector using these surfaces.

求助全文
通过发布文献求助,成功后即可免费获取论文全文。 去求助
来源期刊
Scientific Reports
Scientific Reports Natural Science Disciplines-
CiteScore
7.50
自引率
4.30%
发文量
19567
审稿时长
3.9 months
期刊介绍: We publish original research from all areas of the natural sciences, psychology, medicine and engineering. You can learn more about what we publish by browsing our specific scientific subject areas below or explore Scientific Reports by browsing all articles and collections. Scientific Reports has a 2-year impact factor: 4.380 (2021), and is the 6th most-cited journal in the world, with more than 540,000 citations in 2020 (Clarivate Analytics, 2021). •Engineering Engineering covers all aspects of engineering, technology, and applied science. It plays a crucial role in the development of technologies to address some of the world''s biggest challenges, helping to save lives and improve the way we live. •Physical sciences Physical sciences are those academic disciplines that aim to uncover the underlying laws of nature — often written in the language of mathematics. It is a collective term for areas of study including astronomy, chemistry, materials science and physics. •Earth and environmental sciences Earth and environmental sciences cover all aspects of Earth and planetary science and broadly encompass solid Earth processes, surface and atmospheric dynamics, Earth system history, climate and climate change, marine and freshwater systems, and ecology. It also considers the interactions between humans and these systems. •Biological sciences Biological sciences encompass all the divisions of natural sciences examining various aspects of vital processes. The concept includes anatomy, physiology, cell biology, biochemistry and biophysics, and covers all organisms from microorganisms, animals to plants. •Health sciences The health sciences study health, disease and healthcare. This field of study aims to develop knowledge, interventions and technology for use in healthcare to improve the treatment of patients.
×
引用
GB/T 7714-2015
复制
MLA
复制
APA
复制
导出至
BibTeX EndNote RefMan NoteFirst NoteExpress
×
提示
您的信息不完整,为了账户安全,请先补充。
现在去补充
×
提示
您因"违规操作"
具体请查看互助需知
我知道了
×
提示
确定
请完成安全验证×
copy
已复制链接
快去分享给好友吧!
我知道了
右上角分享
点击右上角分享
0
联系我们:info@booksci.cn Book学术提供免费学术资源搜索服务,方便国内外学者检索中英文文献。致力于提供最便捷和优质的服务体验。 Copyright © 2023 布克学术 All rights reserved.
京ICP备2023020795号-1
ghs 京公网安备 11010802042870号
Book学术文献互助
Book学术文献互助群
群 号:604180095
Book学术官方微信