全髋关节置换术后疼痛突变对主观功能和疼痛的影响:一项531例患者2年随访的前瞻性比较研究。

IF 1.1 4区 医学 Q3 ORTHOPEDICS
HIP International Pub Date : 2025-05-01 Epub Date: 2025-03-13 DOI:10.1177/11207000251325230
Margot B Aalders, Jelle P van der List, Lucien C M Keijser, Olivier P P Temmerman, Joyce L Benner
{"title":"全髋关节置换术后疼痛突变对主观功能和疼痛的影响:一项531例患者2年随访的前瞻性比较研究。","authors":"Margot B Aalders, Jelle P van der List, Lucien C M Keijser, Olivier P P Temmerman, Joyce L Benner","doi":"10.1177/11207000251325230","DOIUrl":null,"url":null,"abstract":"<p><strong>Background and purpose: </strong>Considering dissatisfaction rates of around 10% after total hip arthroplasty (THA), this study aimed to investigate the role of pain catastrophising (PC) on functional outcomes, pain, and quality of life following THA in a large prospective study. PC is the tendency to focus on and exaggerate painful stimuli combined with a decreased ability to deal with pain.</p><p><strong>Patients and methods: </strong>A prospective comparative study was performed with 531 patients undergoing primary unilateral THA between 2019 and 2020. Patients were considered PC with a preoperative score ⩾30 on the PC Scale, resulting in 57 (11%) PC-patients. Patient-reported outcome measures (PROMs) were collected preoperatively, at 3 months, 1 year, and 2 years postoperatively and consisted of Hip disability and Osteoarthritis Outcome Score-Physical Function (HOOS-PS), Oxford Hip Score (OHS), pain (NRS), and quality of life (EQ-5D), including minimal clinical important differences (MCIDs) and patient acceptable symptom state (PASS), as well as length of stay and aseptic revisions.</p><p><strong>Results: </strong>PC-patients reported inferior preoperative scores on all PROMs and had longer hospital stay (<i>p</i> = 0.02). Although PC-patients had more improvement in all scores and a higher proportion generally reached MCID, they still reported lower OHS, more pain, and lower EQ-5D at 2-year follow-up (all <i>p</i> < 0.03), and fewer PC-patients reached PASS for OHS and EQ-5D at final follow-up. No difference in aseptic revisions was seen (<i>p</i> = 0.95).</p><p><strong>Conclusions: </strong>PC-patients had worse preoperative subjective function and more pain. Although they showed more improvement than non-PC patients at all outcomes, less patients reached PASS for OHS and EQ-5D at 2-year follow-up.</p>","PeriodicalId":12911,"journal":{"name":"HIP International","volume":" ","pages":"290-300"},"PeriodicalIF":1.1000,"publicationDate":"2025-05-01","publicationTypes":"Journal Article","fieldsOfStudy":null,"isOpenAccess":false,"openAccessPdf":"https://www.ncbi.nlm.nih.gov/pmc/articles/PMC12069825/pdf/","citationCount":"0","resultStr":"{\"title\":\"The role of pain catastrophising on subjective function and pain following total hip arthroplasty: a prospective comparative study of 531 patients with 2-year follow-up.\",\"authors\":\"Margot B Aalders, Jelle P van der List, Lucien C M Keijser, Olivier P P Temmerman, Joyce L Benner\",\"doi\":\"10.1177/11207000251325230\",\"DOIUrl\":null,\"url\":null,\"abstract\":\"<p><strong>Background and purpose: </strong>Considering dissatisfaction rates of around 10% after total hip arthroplasty (THA), this study aimed to investigate the role of pain catastrophising (PC) on functional outcomes, pain, and quality of life following THA in a large prospective study. PC is the tendency to focus on and exaggerate painful stimuli combined with a decreased ability to deal with pain.</p><p><strong>Patients and methods: </strong>A prospective comparative study was performed with 531 patients undergoing primary unilateral THA between 2019 and 2020. Patients were considered PC with a preoperative score ⩾30 on the PC Scale, resulting in 57 (11%) PC-patients. Patient-reported outcome measures (PROMs) were collected preoperatively, at 3 months, 1 year, and 2 years postoperatively and consisted of Hip disability and Osteoarthritis Outcome Score-Physical Function (HOOS-PS), Oxford Hip Score (OHS), pain (NRS), and quality of life (EQ-5D), including minimal clinical important differences (MCIDs) and patient acceptable symptom state (PASS), as well as length of stay and aseptic revisions.</p><p><strong>Results: </strong>PC-patients reported inferior preoperative scores on all PROMs and had longer hospital stay (<i>p</i> = 0.02). Although PC-patients had more improvement in all scores and a higher proportion generally reached MCID, they still reported lower OHS, more pain, and lower EQ-5D at 2-year follow-up (all <i>p</i> < 0.03), and fewer PC-patients reached PASS for OHS and EQ-5D at final follow-up. No difference in aseptic revisions was seen (<i>p</i> = 0.95).</p><p><strong>Conclusions: </strong>PC-patients had worse preoperative subjective function and more pain. Although they showed more improvement than non-PC patients at all outcomes, less patients reached PASS for OHS and EQ-5D at 2-year follow-up.</p>\",\"PeriodicalId\":12911,\"journal\":{\"name\":\"HIP International\",\"volume\":\" \",\"pages\":\"290-300\"},\"PeriodicalIF\":1.1000,\"publicationDate\":\"2025-05-01\",\"publicationTypes\":\"Journal Article\",\"fieldsOfStudy\":null,\"isOpenAccess\":false,\"openAccessPdf\":\"https://www.ncbi.nlm.nih.gov/pmc/articles/PMC12069825/pdf/\",\"citationCount\":\"0\",\"resultStr\":null,\"platform\":\"Semanticscholar\",\"paperid\":null,\"PeriodicalName\":\"HIP International\",\"FirstCategoryId\":\"3\",\"ListUrlMain\":\"https://doi.org/10.1177/11207000251325230\",\"RegionNum\":4,\"RegionCategory\":\"医学\",\"ArticlePicture\":[],\"TitleCN\":null,\"AbstractTextCN\":null,\"PMCID\":null,\"EPubDate\":\"2025/3/13 0:00:00\",\"PubModel\":\"Epub\",\"JCR\":\"Q3\",\"JCRName\":\"ORTHOPEDICS\",\"Score\":null,\"Total\":0}","platform":"Semanticscholar","paperid":null,"PeriodicalName":"HIP International","FirstCategoryId":"3","ListUrlMain":"https://doi.org/10.1177/11207000251325230","RegionNum":4,"RegionCategory":"医学","ArticlePicture":[],"TitleCN":null,"AbstractTextCN":null,"PMCID":null,"EPubDate":"2025/3/13 0:00:00","PubModel":"Epub","JCR":"Q3","JCRName":"ORTHOPEDICS","Score":null,"Total":0}
引用次数: 0

摘要

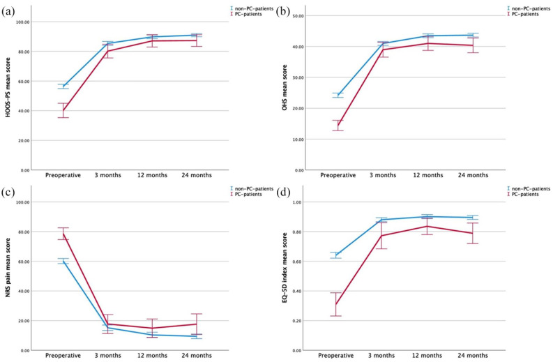
背景和目的:考虑到全髋关节置换术(THA)术后满意率约为10%,本研究旨在通过一项大型前瞻性研究,探讨疼痛灾难(PC)对THA术后功能结局、疼痛和生活质量的影响。PC是一种专注于并夸大疼痛刺激的倾向,同时伴有处理疼痛能力的下降。患者和方法:在2019年至2020年期间,对531例接受原发性单侧THA的患者进行了前瞻性比较研究。患者被认为是PC,在PC量表上的术前评分大于或等于30,导致57名(11%)PC患者。术前、术后3个月、1年和2年收集患者报告的结果测量(PROMs),包括髋关节残疾和骨关节炎结局评分-身体功能(HOOS-PS)、牛津髋关节评分(OHS)、疼痛(NRS)和生活质量(iq - 5d),包括最小临床重要差异(MCIDs)和患者可接受症状状态(PASS),以及住院时间和无菌修复。结果:pc患者术前所有PROMs评分较低,住院时间较长(p = 0.02)。尽管pc患者在所有评分上都有更大的改善,达到MCID的比例也更高,但在2年随访中,他们仍然报告了更低的OHS、更多的疼痛和更低的EQ-5D(均p p = 0.95)。结论:pc患者术前主观功能差,疼痛加重。尽管他们在所有结果上都比非pc患者表现出更多的改善,但在2年随访中,OHS和EQ-5D达到PASS的患者较少。
本文章由计算机程序翻译,如有差异,请以英文原文为准。

The role of pain catastrophising on subjective function and pain following total hip arthroplasty: a prospective comparative study of 531 patients with 2-year follow-up.

The role of pain catastrophising on subjective function and pain following total hip arthroplasty: a prospective comparative study of 531 patients with 2-year follow-up.

The role of pain catastrophising on subjective function and pain following total hip arthroplasty: a prospective comparative study of 531 patients with 2-year follow-up.

The role of pain catastrophising on subjective function and pain following total hip arthroplasty: a prospective comparative study of 531 patients with 2-year follow-up.

Background and purpose: Considering dissatisfaction rates of around 10% after total hip arthroplasty (THA), this study aimed to investigate the role of pain catastrophising (PC) on functional outcomes, pain, and quality of life following THA in a large prospective study. PC is the tendency to focus on and exaggerate painful stimuli combined with a decreased ability to deal with pain.

Patients and methods: A prospective comparative study was performed with 531 patients undergoing primary unilateral THA between 2019 and 2020. Patients were considered PC with a preoperative score ⩾30 on the PC Scale, resulting in 57 (11%) PC-patients. Patient-reported outcome measures (PROMs) were collected preoperatively, at 3 months, 1 year, and 2 years postoperatively and consisted of Hip disability and Osteoarthritis Outcome Score-Physical Function (HOOS-PS), Oxford Hip Score (OHS), pain (NRS), and quality of life (EQ-5D), including minimal clinical important differences (MCIDs) and patient acceptable symptom state (PASS), as well as length of stay and aseptic revisions.

Results: PC-patients reported inferior preoperative scores on all PROMs and had longer hospital stay (p = 0.02). Although PC-patients had more improvement in all scores and a higher proportion generally reached MCID, they still reported lower OHS, more pain, and lower EQ-5D at 2-year follow-up (all p < 0.03), and fewer PC-patients reached PASS for OHS and EQ-5D at final follow-up. No difference in aseptic revisions was seen (p = 0.95).

Conclusions: PC-patients had worse preoperative subjective function and more pain. Although they showed more improvement than non-PC patients at all outcomes, less patients reached PASS for OHS and EQ-5D at 2-year follow-up.

求助全文
通过发布文献求助,成功后即可免费获取论文全文。 去求助
来源期刊
HIP International
HIP International 医学-整形外科
CiteScore
4.20
自引率
0.00%
发文量
70
审稿时长
2 months
期刊介绍: HIP International is the official journal of the European Hip Society. It is the only international, peer-reviewed, bi-monthly journal dedicated to diseases of the hip. HIP International considers contributions relating to hip surgery, traumatology of the hip, prosthetic surgery, biomechanics, and basic sciences relating to the hip. HIP International invites reviews from leading specialists with the aim of informing its readers of current evidence-based best practice. The journal also publishes supplements containing proceedings of symposia, special meetings or articles of special educational merit. HIP International is divided into six independent sections led by editors of the highest scientific merit. These sections are: • Biomaterials • Biomechanics • Conservative Hip Surgery • Paediatrics • Primary and Revision Hip Arthroplasty • Traumatology
×
引用
GB/T 7714-2015
复制
MLA
复制
APA
复制
导出至
BibTeX EndNote RefMan NoteFirst NoteExpress
×
提示
您的信息不完整,为了账户安全,请先补充。
现在去补充
×
提示
您因"违规操作"
具体请查看互助需知
我知道了
×
提示
确定
请完成安全验证×
copy
已复制链接
快去分享给好友吧!
我知道了
右上角分享
点击右上角分享
0
联系我们:info@booksci.cn Book学术提供免费学术资源搜索服务,方便国内外学者检索中英文文献。致力于提供最便捷和优质的服务体验。 Copyright © 2023 布克学术 All rights reserved.
京ICP备2023020795号-1
ghs 京公网安备 11010802042870号
Book学术文献互助
Book学术文献互助群
群 号:604180095
Book学术官方微信