端粒长度与癌症风险之间的因果关系:两样本孟德尔随机化。

IF 3.4 3区 医学 Q2 ONCOLOGY
Su Hyun Lee, Dae Sub Song, Un Chong Kim, Sun Ha Jee, Kyoungho Lee
{"title":"端粒长度与癌症风险之间的因果关系:两样本孟德尔随机化。","authors":"Su Hyun Lee, Dae Sub Song, Un Chong Kim, Sun Ha Jee, Kyoungho Lee","doi":"10.1158/1055-9965.EPI-24-1168","DOIUrl":null,"url":null,"abstract":"<p><strong>Background: </strong>Telomere length (TL) shortens with age and is associated with an increased risk of numerous chronic diseases. However, the causal direction of the association between TL and cancer risk remains uncertain. This study aimed to assess the causal impact of TL on cancer risk using Mendelian randomization (MR) analysis.</p><p><strong>Methods: </strong>Genome-wide association studies from Singapore and China data, the Korean Cancer Prevention Study II (KCPS-II), the Korean Genome Epidemiologic Study, and the Biobank of Japan were utilized. A two-sample MR study was performed using summary-level genome-wide association study data from individuals of East Asian ancestry. SNPs associated with TL were used as instrumental variables.</p><p><strong>Results: </strong>Longer TL per 1-SD increase due to germline genetic variants was associated with a higher risk of site-specific cancer. In the KCPS-II and Korean Genome Epidemiologic Study, the strongest association was observed with thyroid cancer {OR, 2.49 [95% confidence interval (CI), 1.79-3.47] and 2.27 (1.49-3.46)}, followed by lung cancer [OR, 2.19 (95% CI, 1.60-3.08) and 1.45 (1.12-1.87)]. Similar results were observed in the Biobank of Japan, with OR, 2.92 (95% CI, 1.75-4.88) for thyroid cancer and 2.04 (1.41-2.94) for lung cancer. In histologic subgroup analysis of KCPS-II, a significant relationship was found with lung adenocarcinoma [OR, 2.26 (95% CI, 1.55-3.31)] but not with lung squamous cell carcinoma (1.21, 0.47-3.06). After removing outlier SNPs in the radial MR analysis, significant associations were identified for both lung adenocarcinoma [OR, 1.88 (95% CI, 1.25-2.82)] and lung squamous cell carcinoma (2.29, 1.05-4.98).</p><p><strong>Conclusions: </strong>Our findings suggest that longer TL increases the risk of various cancers in East Asian populations.</p><p><strong>Impact: </strong>Genetically determined longer TL may contribute to a risk of certain cancers.</p>","PeriodicalId":9458,"journal":{"name":"Cancer Epidemiology Biomarkers & Prevention","volume":" ","pages":"737-743"},"PeriodicalIF":3.4000,"publicationDate":"2025-05-02","publicationTypes":"Journal Article","fieldsOfStudy":null,"isOpenAccess":false,"openAccessPdf":"https://www.ncbi.nlm.nih.gov/pmc/articles/PMC12046325/pdf/","citationCount":"0","resultStr":"{\"title\":\"The Causal Relationship between Telomere Length and Cancer Risk: A Two-Sample Mendelian Randomization.\",\"authors\":\"Su Hyun Lee, Dae Sub Song, Un Chong Kim, Sun Ha Jee, Kyoungho Lee\",\"doi\":\"10.1158/1055-9965.EPI-24-1168\",\"DOIUrl\":null,\"url\":null,\"abstract\":\"<p><strong>Background: </strong>Telomere length (TL) shortens with age and is associated with an increased risk of numerous chronic diseases. However, the causal direction of the association between TL and cancer risk remains uncertain. This study aimed to assess the causal impact of TL on cancer risk using Mendelian randomization (MR) analysis.</p><p><strong>Methods: </strong>Genome-wide association studies from Singapore and China data, the Korean Cancer Prevention Study II (KCPS-II), the Korean Genome Epidemiologic Study, and the Biobank of Japan were utilized. A two-sample MR study was performed using summary-level genome-wide association study data from individuals of East Asian ancestry. SNPs associated with TL were used as instrumental variables.</p><p><strong>Results: </strong>Longer TL per 1-SD increase due to germline genetic variants was associated with a higher risk of site-specific cancer. In the KCPS-II and Korean Genome Epidemiologic Study, the strongest association was observed with thyroid cancer {OR, 2.49 [95% confidence interval (CI), 1.79-3.47] and 2.27 (1.49-3.46)}, followed by lung cancer [OR, 2.19 (95% CI, 1.60-3.08) and 1.45 (1.12-1.87)]. Similar results were observed in the Biobank of Japan, with OR, 2.92 (95% CI, 1.75-4.88) for thyroid cancer and 2.04 (1.41-2.94) for lung cancer. In histologic subgroup analysis of KCPS-II, a significant relationship was found with lung adenocarcinoma [OR, 2.26 (95% CI, 1.55-3.31)] but not with lung squamous cell carcinoma (1.21, 0.47-3.06). After removing outlier SNPs in the radial MR analysis, significant associations were identified for both lung adenocarcinoma [OR, 1.88 (95% CI, 1.25-2.82)] and lung squamous cell carcinoma (2.29, 1.05-4.98).</p><p><strong>Conclusions: </strong>Our findings suggest that longer TL increases the risk of various cancers in East Asian populations.</p><p><strong>Impact: </strong>Genetically determined longer TL may contribute to a risk of certain cancers.</p>\",\"PeriodicalId\":9458,\"journal\":{\"name\":\"Cancer Epidemiology Biomarkers & Prevention\",\"volume\":\" \",\"pages\":\"737-743\"},\"PeriodicalIF\":3.4000,\"publicationDate\":\"2025-05-02\",\"publicationTypes\":\"Journal Article\",\"fieldsOfStudy\":null,\"isOpenAccess\":false,\"openAccessPdf\":\"https://www.ncbi.nlm.nih.gov/pmc/articles/PMC12046325/pdf/\",\"citationCount\":\"0\",\"resultStr\":null,\"platform\":\"Semanticscholar\",\"paperid\":null,\"PeriodicalName\":\"Cancer Epidemiology Biomarkers & Prevention\",\"FirstCategoryId\":\"3\",\"ListUrlMain\":\"https://doi.org/10.1158/1055-9965.EPI-24-1168\",\"RegionNum\":3,\"RegionCategory\":\"医学\",\"ArticlePicture\":[],\"TitleCN\":null,\"AbstractTextCN\":null,\"PMCID\":null,\"EPubDate\":\"\",\"PubModel\":\"\",\"JCR\":\"Q2\",\"JCRName\":\"ONCOLOGY\",\"Score\":null,\"Total\":0}","platform":"Semanticscholar","paperid":null,"PeriodicalName":"Cancer Epidemiology Biomarkers & Prevention","FirstCategoryId":"3","ListUrlMain":"https://doi.org/10.1158/1055-9965.EPI-24-1168","RegionNum":3,"RegionCategory":"医学","ArticlePicture":[],"TitleCN":null,"AbstractTextCN":null,"PMCID":null,"EPubDate":"","PubModel":"","JCR":"Q2","JCRName":"ONCOLOGY","Score":null,"Total":0}
引用次数: 0

摘要

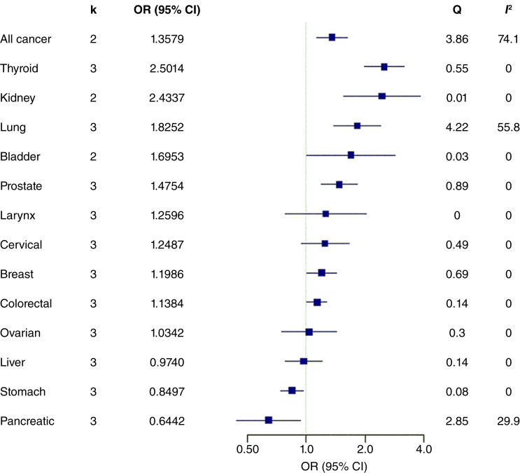
背景:端粒长度随着年龄的增长而缩短,并与许多慢性疾病的风险增加有关。然而,端粒长度与癌症风险之间的因果关系仍不确定。本研究旨在利用孟德尔随机化(MR)分析评估端粒长度对癌症风险的因果影响。方法:利用来自新加坡和中国数据的全基因组关联研究(GWAS)、韩国癌症预防研究(KCPS)-II、韩国基因组流行病学研究(KoGES)和日本生物银行(BBJ)。使用东亚血统个体的汇总水平GWAS数据进行了两样本MR研究。与端粒长度相关的单核苷酸多态性(snp)被用作工具变量。结果:生殖系基因变异导致的每增加1SD的端粒长度变长与位点特异性癌症的高风险相关。在KCPS-II和KOGES中,与甲状腺癌的相关性最强[OR为2.49(95%CI, 1.79 ~ 3.47), 2.27(1.49 ~ 3.46)],其次是肺癌[OR为2.19(95%CI, 1.60 ~ 3.08), 1.45(1.12 ~ 1.87)]。在BBJ中观察到类似的结果,甲状腺癌的OR为2.92(95%CI, 1.75-4.88),肺癌的OR为2.04(1.41-2.94)。在组织学亚组分析中,KCPS-II与肺腺癌(OR 2.26(95%CI, 1.55-3.31))有显著相关性,但与肺鳞状细胞癌无显著相关性(1.21,0.47-3.06)。在放射状磁共振分析中去除异常snp后,发现肺腺癌[OR 1.88(95%CI, 1.25-2.82)]和肺鳞状细胞癌(2.29,1.05-4.98)之间存在显著相关性。结论:我们的研究结果表明,较长的端粒长度增加了东亚人群患各种癌症的风险。影响:基因决定的较长的端粒长度可能会增加某些癌症的风险。
本文章由计算机程序翻译,如有差异,请以英文原文为准。

The Causal Relationship between Telomere Length and Cancer Risk: A Two-Sample Mendelian Randomization.

The Causal Relationship between Telomere Length and Cancer Risk: A Two-Sample Mendelian Randomization.

The Causal Relationship between Telomere Length and Cancer Risk: A Two-Sample Mendelian Randomization.

Background: Telomere length (TL) shortens with age and is associated with an increased risk of numerous chronic diseases. However, the causal direction of the association between TL and cancer risk remains uncertain. This study aimed to assess the causal impact of TL on cancer risk using Mendelian randomization (MR) analysis.

Methods: Genome-wide association studies from Singapore and China data, the Korean Cancer Prevention Study II (KCPS-II), the Korean Genome Epidemiologic Study, and the Biobank of Japan were utilized. A two-sample MR study was performed using summary-level genome-wide association study data from individuals of East Asian ancestry. SNPs associated with TL were used as instrumental variables.

Results: Longer TL per 1-SD increase due to germline genetic variants was associated with a higher risk of site-specific cancer. In the KCPS-II and Korean Genome Epidemiologic Study, the strongest association was observed with thyroid cancer {OR, 2.49 [95% confidence interval (CI), 1.79-3.47] and 2.27 (1.49-3.46)}, followed by lung cancer [OR, 2.19 (95% CI, 1.60-3.08) and 1.45 (1.12-1.87)]. Similar results were observed in the Biobank of Japan, with OR, 2.92 (95% CI, 1.75-4.88) for thyroid cancer and 2.04 (1.41-2.94) for lung cancer. In histologic subgroup analysis of KCPS-II, a significant relationship was found with lung adenocarcinoma [OR, 2.26 (95% CI, 1.55-3.31)] but not with lung squamous cell carcinoma (1.21, 0.47-3.06). After removing outlier SNPs in the radial MR analysis, significant associations were identified for both lung adenocarcinoma [OR, 1.88 (95% CI, 1.25-2.82)] and lung squamous cell carcinoma (2.29, 1.05-4.98).

Conclusions: Our findings suggest that longer TL increases the risk of various cancers in East Asian populations.

Impact: Genetically determined longer TL may contribute to a risk of certain cancers.

求助全文
通过发布文献求助,成功后即可免费获取论文全文。 去求助
来源期刊
Cancer Epidemiology Biomarkers & Prevention
Cancer Epidemiology Biomarkers & Prevention 医学-公共卫生、环境卫生与职业卫生
CiteScore
6.50
自引率
2.60%
发文量
538
审稿时长
1.6 months
期刊介绍: Cancer Epidemiology, Biomarkers & Prevention publishes original peer-reviewed, population-based research on cancer etiology, prevention, surveillance, and survivorship. The following topics are of special interest: descriptive, analytical, and molecular epidemiology; biomarkers including assay development, validation, and application; chemoprevention and other types of prevention research in the context of descriptive and observational studies; the role of behavioral factors in cancer etiology and prevention; survivorship studies; risk factors; implementation science and cancer care delivery; and the science of cancer health disparities. Besides welcoming manuscripts that address individual subjects in any of the relevant disciplines, CEBP editors encourage the submission of manuscripts with a transdisciplinary approach.
×
引用
GB/T 7714-2015
复制
MLA
复制
APA
复制
导出至
BibTeX EndNote RefMan NoteFirst NoteExpress
×
提示
您的信息不完整,为了账户安全,请先补充。
现在去补充
×
提示
您因"违规操作"
具体请查看互助需知
我知道了
×
提示
确定
请完成安全验证×
copy
已复制链接
快去分享给好友吧!
我知道了
右上角分享
点击右上角分享
0
联系我们:info@booksci.cn Book学术提供免费学术资源搜索服务,方便国内外学者检索中英文文献。致力于提供最便捷和优质的服务体验。 Copyright © 2023 布克学术 All rights reserved.
京ICP备2023020795号-1
ghs 京公网安备 11010802042870号
Book学术文献互助
Book学术文献互助群
群 号:604180095
Book学术官方微信
小红书