异卡布他烯-马拉鲁塞尔和亚卡布他烯-吉拉鲁塞尔治疗大b细胞淋巴瘤的实际比较:3年随访的治疗加权逆概率分析

IF 7.9 1区 医学 Q1 HEMATOLOGY
Haematologica Pub Date : 2025-09-01 Epub Date: 2025-03-13 DOI:10.3324/haematol.2024.287010
Andrew J Portuguese, Jennifer J Huang, Yein Jeon, Mahnoosh Taheri, Aya Albittar, Emily C Liang, Alexandre V Hirayama, Erik L Kimble, Lorenzo Iovino, Christina Poh, Ajay K Gopal, Mazyar Shadman, Brian G Till, Filippo Milano, Aude G Chapuis, Folashade Otegbeye, Ryan D Cassaday, Ryan S Basom, Qian Vicky Wu, David G Maloney, Jordan Gauthier
{"title":"异卡布他烯-马拉鲁塞尔和亚卡布他烯-吉拉鲁塞尔治疗大b细胞淋巴瘤的实际比较:3年随访的治疗加权逆概率分析","authors":"Andrew J Portuguese, Jennifer J Huang, Yein Jeon, Mahnoosh Taheri, Aya Albittar, Emily C Liang, Alexandre V Hirayama, Erik L Kimble, Lorenzo Iovino, Christina Poh, Ajay K Gopal, Mazyar Shadman, Brian G Till, Filippo Milano, Aude G Chapuis, Folashade Otegbeye, Ryan D Cassaday, Ryan S Basom, Qian Vicky Wu, David G Maloney, Jordan Gauthier","doi":"10.3324/haematol.2024.287010","DOIUrl":null,"url":null,"abstract":"<p><p>Lisocabtagene maraleucel (liso-cel) and axicabtagene ciloleucel (axi-cel) are Food and Drug Administration- and European Medicines Agency-approved chimeric antigen receptor (CAR) T-cell therapies for relapsed/refractory large B-cell lymphoma (LBCL). However, comparative real-world analyses of their efficacy and toxicity with extended follow-up are lacking. We conducted a retrospective study of 160 LBCL patients treated at the Fred Hutchinson Cancer Center with commercial liso- cel or axi-cel per standard of care. Using inverse probability of treatment weighting (IPTW) to mitigate treatment allocation bias and multivariable adjustments to minimize other sources of confounding, we assessed the impact of CAR T-cell product type on outcomes. Axi-cel was associated with significantly higher rates of cytokine release syndrome (CRS; grade [G]1+: adjusted odds ratio [aOR] =4.27; P=0.004; G2+: aOR=2.88; P=0.006), immune effector cell-associated neurotoxicity syndrome (ICANS; G1+: aOR=2.10; P=0.048), and immune effector cell-associated hematotoxicity (ICAHT; G1+: aOR=8.09; P<0.001; G2+: aOR=3.86; P=0.001). Axi-cel was also associated with more frequent use of supportive care measures, such as tocilizumab (aOR=2.50; P=0.017), dexamethasone (aOR=2.77; P=0.007), and cefepime (aOR=3.37; P=0.001). We could not confirm statistically significant differences in the response rates and survival outcomes after liso-cel versus axi-cel (complete response: aOR=1.12; P=0.8; overall survival: adjusted hazard ratio [aHR] =1.34; P=0.3; progression-free survival: aHR=0.97; P=0.9; duration of response: aHR=0.89; P=0.7; cumulative incidence of relapse: aHR=0.92; P=0.8). In summary, although axicel was associated with greater toxicity requiring more intensive management, the response rates and survival outcomes were comparable between axi-cel and liso-cel.</p>","PeriodicalId":12964,"journal":{"name":"Haematologica","volume":" ","pages":"2040-2054"},"PeriodicalIF":7.9000,"publicationDate":"2025-09-01","publicationTypes":"Journal Article","fieldsOfStudy":null,"isOpenAccess":false,"openAccessPdf":"https://www.ncbi.nlm.nih.gov/pmc/articles/PMC12399936/pdf/","citationCount":"0","resultStr":"{\"title\":\"Real-world comparison of lisocabtagene maraleucel and axicabtagene ciloleucel in large B-cell lymphoma: an inverse probability of treatment weighting analysis with 3-year follow-up.\",\"authors\":\"Andrew J Portuguese, Jennifer J Huang, Yein Jeon, Mahnoosh Taheri, Aya Albittar, Emily C Liang, Alexandre V Hirayama, Erik L Kimble, Lorenzo Iovino, Christina Poh, Ajay K Gopal, Mazyar Shadman, Brian G Till, Filippo Milano, Aude G Chapuis, Folashade Otegbeye, Ryan D Cassaday, Ryan S Basom, Qian Vicky Wu, David G Maloney, Jordan Gauthier\",\"doi\":\"10.3324/haematol.2024.287010\",\"DOIUrl\":null,\"url\":null,\"abstract\":\"<p><p>Lisocabtagene maraleucel (liso-cel) and axicabtagene ciloleucel (axi-cel) are Food and Drug Administration- and European Medicines Agency-approved chimeric antigen receptor (CAR) T-cell therapies for relapsed/refractory large B-cell lymphoma (LBCL). However, comparative real-world analyses of their efficacy and toxicity with extended follow-up are lacking. We conducted a retrospective study of 160 LBCL patients treated at the Fred Hutchinson Cancer Center with commercial liso- cel or axi-cel per standard of care. Using inverse probability of treatment weighting (IPTW) to mitigate treatment allocation bias and multivariable adjustments to minimize other sources of confounding, we assessed the impact of CAR T-cell product type on outcomes. Axi-cel was associated with significantly higher rates of cytokine release syndrome (CRS; grade [G]1+: adjusted odds ratio [aOR] =4.27; P=0.004; G2+: aOR=2.88; P=0.006), immune effector cell-associated neurotoxicity syndrome (ICANS; G1+: aOR=2.10; P=0.048), and immune effector cell-associated hematotoxicity (ICAHT; G1+: aOR=8.09; P<0.001; G2+: aOR=3.86; P=0.001). Axi-cel was also associated with more frequent use of supportive care measures, such as tocilizumab (aOR=2.50; P=0.017), dexamethasone (aOR=2.77; P=0.007), and cefepime (aOR=3.37; P=0.001). We could not confirm statistically significant differences in the response rates and survival outcomes after liso-cel versus axi-cel (complete response: aOR=1.12; P=0.8; overall survival: adjusted hazard ratio [aHR] =1.34; P=0.3; progression-free survival: aHR=0.97; P=0.9; duration of response: aHR=0.89; P=0.7; cumulative incidence of relapse: aHR=0.92; P=0.8). In summary, although axicel was associated with greater toxicity requiring more intensive management, the response rates and survival outcomes were comparable between axi-cel and liso-cel.</p>\",\"PeriodicalId\":12964,\"journal\":{\"name\":\"Haematologica\",\"volume\":\" \",\"pages\":\"2040-2054\"},\"PeriodicalIF\":7.9000,\"publicationDate\":\"2025-09-01\",\"publicationTypes\":\"Journal Article\",\"fieldsOfStudy\":null,\"isOpenAccess\":false,\"openAccessPdf\":\"https://www.ncbi.nlm.nih.gov/pmc/articles/PMC12399936/pdf/\",\"citationCount\":\"0\",\"resultStr\":null,\"platform\":\"Semanticscholar\",\"paperid\":null,\"PeriodicalName\":\"Haematologica\",\"FirstCategoryId\":\"3\",\"ListUrlMain\":\"https://doi.org/10.3324/haematol.2024.287010\",\"RegionNum\":1,\"RegionCategory\":\"医学\",\"ArticlePicture\":[],\"TitleCN\":null,\"AbstractTextCN\":null,\"PMCID\":null,\"EPubDate\":\"2025/3/13 0:00:00\",\"PubModel\":\"Epub\",\"JCR\":\"Q1\",\"JCRName\":\"HEMATOLOGY\",\"Score\":null,\"Total\":0}","platform":"Semanticscholar","paperid":null,"PeriodicalName":"Haematologica","FirstCategoryId":"3","ListUrlMain":"https://doi.org/10.3324/haematol.2024.287010","RegionNum":1,"RegionCategory":"医学","ArticlePicture":[],"TitleCN":null,"AbstractTextCN":null,"PMCID":null,"EPubDate":"2025/3/13 0:00:00","PubModel":"Epub","JCR":"Q1","JCRName":"HEMATOLOGY","Score":null,"Total":0}
引用次数: 0

摘要

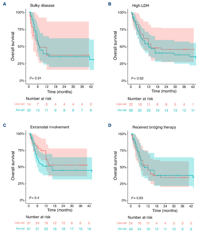
Lisocabtagene maraleucel (liso- cell)和axicabtagene ciloleucel(轴细胞)是FDA和ema批准的用于复发/难治大b细胞淋巴瘤(LBCL)的嵌合抗原受体(CAR) t细胞疗法。然而,缺乏对其疗效和毒性进行长期随访的比较分析。我们对160名在Fred Hutchinson癌症中心接受商用liso- cell或axis - cell治疗的LBCL患者进行了回顾性研究。使用治疗加权逆概率(IPTW)来减轻治疗分配偏倚和多变量调整以最小化其他混杂源,我们评估了CAR - t细胞产品类型对结果的影响。轴细胞与细胞因子释放综合征(CRS;G1+:调整后OR [aOR] 4.27, p=0.004;G2+: aOR 2.88, p=0.006),免疫效应细胞相关神经毒性综合征(ICANS;G1+: aOR 2.10, p=0.048),免疫效应细胞相关血液毒性(ICAHT;G1+: aOR 8.09, p。
本文章由计算机程序翻译,如有差异,请以英文原文为准。

Real-world comparison of lisocabtagene maraleucel and axicabtagene ciloleucel in large B-cell lymphoma: an inverse probability of treatment weighting analysis with 3-year follow-up.

Real-world comparison of lisocabtagene maraleucel and axicabtagene ciloleucel in large B-cell lymphoma: an inverse probability of treatment weighting analysis with 3-year follow-up.

Real-world comparison of lisocabtagene maraleucel and axicabtagene ciloleucel in large B-cell lymphoma: an inverse probability of treatment weighting analysis with 3-year follow-up.

Real-world comparison of lisocabtagene maraleucel and axicabtagene ciloleucel in large B-cell lymphoma: an inverse probability of treatment weighting analysis with 3-year follow-up.

Lisocabtagene maraleucel (liso-cel) and axicabtagene ciloleucel (axi-cel) are Food and Drug Administration- and European Medicines Agency-approved chimeric antigen receptor (CAR) T-cell therapies for relapsed/refractory large B-cell lymphoma (LBCL). However, comparative real-world analyses of their efficacy and toxicity with extended follow-up are lacking. We conducted a retrospective study of 160 LBCL patients treated at the Fred Hutchinson Cancer Center with commercial liso- cel or axi-cel per standard of care. Using inverse probability of treatment weighting (IPTW) to mitigate treatment allocation bias and multivariable adjustments to minimize other sources of confounding, we assessed the impact of CAR T-cell product type on outcomes. Axi-cel was associated with significantly higher rates of cytokine release syndrome (CRS; grade [G]1+: adjusted odds ratio [aOR] =4.27; P=0.004; G2+: aOR=2.88; P=0.006), immune effector cell-associated neurotoxicity syndrome (ICANS; G1+: aOR=2.10; P=0.048), and immune effector cell-associated hematotoxicity (ICAHT; G1+: aOR=8.09; P<0.001; G2+: aOR=3.86; P=0.001). Axi-cel was also associated with more frequent use of supportive care measures, such as tocilizumab (aOR=2.50; P=0.017), dexamethasone (aOR=2.77; P=0.007), and cefepime (aOR=3.37; P=0.001). We could not confirm statistically significant differences in the response rates and survival outcomes after liso-cel versus axi-cel (complete response: aOR=1.12; P=0.8; overall survival: adjusted hazard ratio [aHR] =1.34; P=0.3; progression-free survival: aHR=0.97; P=0.9; duration of response: aHR=0.89; P=0.7; cumulative incidence of relapse: aHR=0.92; P=0.8). In summary, although axicel was associated with greater toxicity requiring more intensive management, the response rates and survival outcomes were comparable between axi-cel and liso-cel.

求助全文
通过发布文献求助,成功后即可免费获取论文全文。 去求助
来源期刊
Haematologica
Haematologica 医学-血液学
CiteScore
14.10
自引率
2.00%
发文量
349
审稿时长
3-6 weeks
期刊介绍: Haematologica is a journal that publishes articles within the broad field of hematology. It reports on novel findings in basic, clinical, and translational research. Scope: The scope of the journal includes reporting novel research results that: Have a significant impact on understanding normal hematology or the development of hematological diseases. Are likely to bring important changes to the diagnosis or treatment of hematological diseases.
×
引用
GB/T 7714-2015
复制
MLA
复制
APA
复制
导出至
BibTeX EndNote RefMan NoteFirst NoteExpress
×
提示
您的信息不完整,为了账户安全,请先补充。
现在去补充
×
提示
您因"违规操作"
具体请查看互助需知
我知道了
×
提示
确定
请完成安全验证×
copy
已复制链接
快去分享给好友吧!
我知道了
右上角分享
点击右上角分享
0
联系我们:info@booksci.cn Book学术提供免费学术资源搜索服务,方便国内外学者检索中英文文献。致力于提供最便捷和优质的服务体验。 Copyright © 2023 布克学术 All rights reserved.
京ICP备2023020795号-1
ghs 京公网安备 11010802042870号
Book学术文献互助
Book学术文献互助群
群 号:604180095
Book学术官方微信