经椎间孔硫酸镁与类固醇注射治疗神经根性背痛的比较:一项随机双盲临床试验研究

Q2 Medicine
Anesthesiology and Pain Medicine Pub Date : 2024-09-08 eCollection Date: 2024-08-01 DOI:10.5812/aapm-148739
Farnad Imani, Kambiz Sadegi, Poupak Rahimzadeh, Mania Kaveh, Mahnaz Narimani, Seyed-Hossein Khademi
{"title":"经椎间孔硫酸镁与类固醇注射治疗神经根性背痛的比较:一项随机双盲临床试验研究","authors":"Farnad Imani, Kambiz Sadegi, Poupak Rahimzadeh, Mania Kaveh, Mahnaz Narimani, Seyed-Hossein Khademi","doi":"10.5812/aapm-148739","DOIUrl":null,"url":null,"abstract":"<p><strong>Background: </strong>This study compares the effects of transforaminal magnesium sulfate injection versus other methods for managing radicular back pain, highlighting its potential for improved pain relief and functional outcomes.</p><p><strong>Methods: </strong>This randomized, double-blind clinical trial involved 30 patients with radicular back pain who were randomly assigned to receive either transforaminal magnesium sulfate or triamcinolone injection. Primary outcomes were pain intensity and functional disability, assessed using the Visual Analogue Scale (VAS) and Oswestry Disability Index (ODI), respectively. These were evaluated at five time points: Before the injection, 2 weeks, 1 month, 3 months, and 6 months after the injection. Secondary outcomes included drug-related adverse events within the six-month follow-up period.</p><p><strong>Results: </strong>Baseline characteristics were not significantly different between the two study groups. Compared to pre-injection measures, post-injection pain intensity and functional disability were significantly reduced in both groups at all time points (P < 0.001). At all postoperative evaluations, pain intensity and functional disability were lower in the magnesium sulfate group compared to the steroid group (P < 0.001). No drug-related side effects were recorded in either group.</p><p><strong>Conclusions: </strong>For patients with radicular back pain, transforaminal magnesium sulfate injection appears to be an effective and safe alternative to transforaminal steroid injection.</p>","PeriodicalId":7841,"journal":{"name":"Anesthesiology and Pain Medicine","volume":"14 4","pages":"e148739"},"PeriodicalIF":0.0000,"publicationDate":"2024-09-08","publicationTypes":"Journal Article","fieldsOfStudy":null,"isOpenAccess":false,"openAccessPdf":"https://www.ncbi.nlm.nih.gov/pmc/articles/PMC11895787/pdf/","citationCount":"0","resultStr":"{\"title\":\"Comparison of Transforaminal Magnesium Sulfate with Steroid Injection in the Management of ‎Radicular Back Pain: A Randomized Double-Blinded Clinical Trial Study.\",\"authors\":\"Farnad Imani, Kambiz Sadegi, Poupak Rahimzadeh, Mania Kaveh, Mahnaz Narimani, Seyed-Hossein Khademi\",\"doi\":\"10.5812/aapm-148739\",\"DOIUrl\":null,\"url\":null,\"abstract\":\"<p><strong>Background: </strong>This study compares the effects of transforaminal magnesium sulfate injection versus other methods for managing radicular back pain, highlighting its potential for improved pain relief and functional outcomes.</p><p><strong>Methods: </strong>This randomized, double-blind clinical trial involved 30 patients with radicular back pain who were randomly assigned to receive either transforaminal magnesium sulfate or triamcinolone injection. Primary outcomes were pain intensity and functional disability, assessed using the Visual Analogue Scale (VAS) and Oswestry Disability Index (ODI), respectively. These were evaluated at five time points: Before the injection, 2 weeks, 1 month, 3 months, and 6 months after the injection. Secondary outcomes included drug-related adverse events within the six-month follow-up period.</p><p><strong>Results: </strong>Baseline characteristics were not significantly different between the two study groups. Compared to pre-injection measures, post-injection pain intensity and functional disability were significantly reduced in both groups at all time points (P < 0.001). At all postoperative evaluations, pain intensity and functional disability were lower in the magnesium sulfate group compared to the steroid group (P < 0.001). No drug-related side effects were recorded in either group.</p><p><strong>Conclusions: </strong>For patients with radicular back pain, transforaminal magnesium sulfate injection appears to be an effective and safe alternative to transforaminal steroid injection.</p>\",\"PeriodicalId\":7841,\"journal\":{\"name\":\"Anesthesiology and Pain Medicine\",\"volume\":\"14 4\",\"pages\":\"e148739\"},\"PeriodicalIF\":0.0000,\"publicationDate\":\"2024-09-08\",\"publicationTypes\":\"Journal Article\",\"fieldsOfStudy\":null,\"isOpenAccess\":false,\"openAccessPdf\":\"https://www.ncbi.nlm.nih.gov/pmc/articles/PMC11895787/pdf/\",\"citationCount\":\"0\",\"resultStr\":null,\"platform\":\"Semanticscholar\",\"paperid\":null,\"PeriodicalName\":\"Anesthesiology and Pain Medicine\",\"FirstCategoryId\":\"1085\",\"ListUrlMain\":\"https://doi.org/10.5812/aapm-148739\",\"RegionNum\":0,\"RegionCategory\":null,\"ArticlePicture\":[],\"TitleCN\":null,\"AbstractTextCN\":null,\"PMCID\":null,\"EPubDate\":\"2024/8/1 0:00:00\",\"PubModel\":\"eCollection\",\"JCR\":\"Q2\",\"JCRName\":\"Medicine\",\"Score\":null,\"Total\":0}","platform":"Semanticscholar","paperid":null,"PeriodicalName":"Anesthesiology and Pain Medicine","FirstCategoryId":"1085","ListUrlMain":"https://doi.org/10.5812/aapm-148739","RegionNum":0,"RegionCategory":null,"ArticlePicture":[],"TitleCN":null,"AbstractTextCN":null,"PMCID":null,"EPubDate":"2024/8/1 0:00:00","PubModel":"eCollection","JCR":"Q2","JCRName":"Medicine","Score":null,"Total":0}
引用次数: 0

摘要

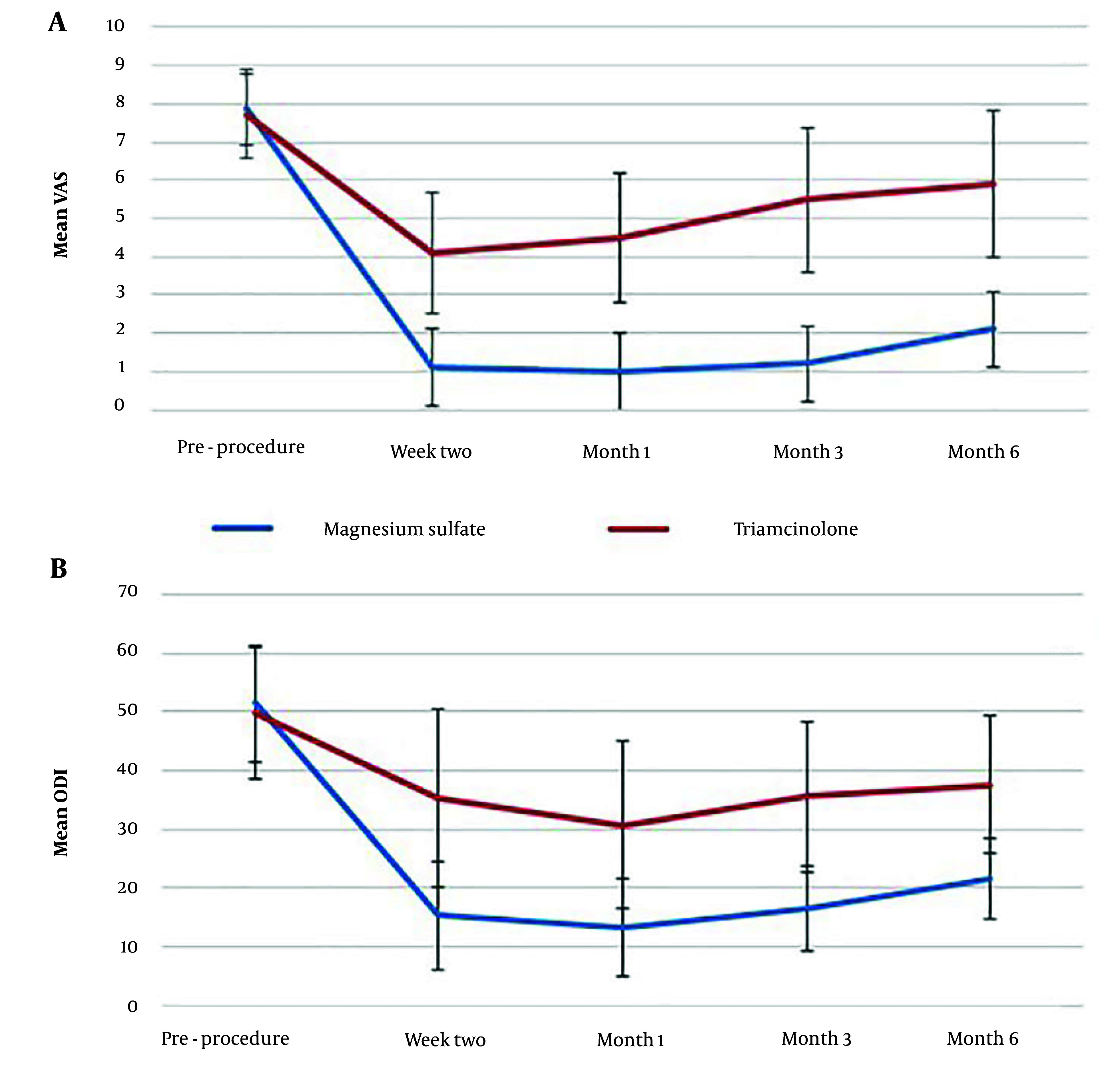
背景:本研究比较了经椎间孔硫酸镁注射与其他方法治疗神经根性背痛的效果,强调了其改善疼痛缓解和功能结局的潜力。方法:该随机双盲临床试验纳入30例神经根性背痛患者,随机分配接受经椎间孔硫酸镁或曲安奈德注射。主要结局是疼痛强度和功能残疾,分别用视觉模拟量表(VAS)和Oswestry残疾指数(ODI)进行评估。在五个时间点进行评估:注射前、注射后2周、1个月、3个月和6个月。次要结局包括六个月随访期间的药物相关不良事件。结果:两个研究组的基线特征无显著差异。与注射前相比,两组注射后疼痛强度和功能障碍在所有时间点均显著降低(P < 0.001)。在所有的术后评估中,与类固醇组相比,硫酸镁组的疼痛强度和功能障碍较低(P < 0.001)。两组均无药物相关副作用记录。结论:对于神经根性背痛患者,经椎间孔硫酸镁注射是一种有效且安全的替代经椎间孔类固醇注射。
本文章由计算机程序翻译,如有差异,请以英文原文为准。

Comparison of Transforaminal Magnesium Sulfate with Steroid Injection in the Management of ‎Radicular Back Pain: A Randomized Double-Blinded Clinical Trial Study.

Comparison of Transforaminal Magnesium Sulfate with Steroid Injection in the Management of ‎Radicular Back Pain: A Randomized Double-Blinded Clinical Trial Study.

Comparison of Transforaminal Magnesium Sulfate with Steroid Injection in the Management of ‎Radicular Back Pain: A Randomized Double-Blinded Clinical Trial Study.

Background: This study compares the effects of transforaminal magnesium sulfate injection versus other methods for managing radicular back pain, highlighting its potential for improved pain relief and functional outcomes.

Methods: This randomized, double-blind clinical trial involved 30 patients with radicular back pain who were randomly assigned to receive either transforaminal magnesium sulfate or triamcinolone injection. Primary outcomes were pain intensity and functional disability, assessed using the Visual Analogue Scale (VAS) and Oswestry Disability Index (ODI), respectively. These were evaluated at five time points: Before the injection, 2 weeks, 1 month, 3 months, and 6 months after the injection. Secondary outcomes included drug-related adverse events within the six-month follow-up period.

Results: Baseline characteristics were not significantly different between the two study groups. Compared to pre-injection measures, post-injection pain intensity and functional disability were significantly reduced in both groups at all time points (P < 0.001). At all postoperative evaluations, pain intensity and functional disability were lower in the magnesium sulfate group compared to the steroid group (P < 0.001). No drug-related side effects were recorded in either group.

Conclusions: For patients with radicular back pain, transforaminal magnesium sulfate injection appears to be an effective and safe alternative to transforaminal steroid injection.

求助全文
通过发布文献求助,成功后即可免费获取论文全文。 去求助
来源期刊
Anesthesiology and Pain Medicine
Anesthesiology and Pain Medicine Medicine-Anesthesiology and Pain Medicine
CiteScore
4.60
自引率
0.00%
发文量
49
×
引用
GB/T 7714-2015
复制
MLA
复制
APA
复制
导出至
BibTeX EndNote RefMan NoteFirst NoteExpress
×
提示
您的信息不完整,为了账户安全,请先补充。
现在去补充
×
提示
您因"违规操作"
具体请查看互助需知
我知道了
×
提示
确定
请完成安全验证×
copy
已复制链接
快去分享给好友吧!
我知道了
右上角分享
点击右上角分享
0
联系我们:info@booksci.cn Book学术提供免费学术资源搜索服务,方便国内外学者检索中英文文献。致力于提供最便捷和优质的服务体验。 Copyright © 2023 布克学术 All rights reserved.
京ICP备2023020795号-1
ghs 京公网安备 11010802042870号
Book学术文献互助
Book学术文献互助群
群 号:604180095
Book学术官方微信