评估电针与物理治疗在减轻髌骨软骨软化症士兵疼痛和残疾方面的疗效:一项随机临床试验。

Q2 Medicine
Anesthesiology and Pain Medicine Pub Date : 2024-09-03 eCollection Date: 2024-08-01 DOI:10.5812/aapm-143688
Reza Kazempour Mofrad, Afsaneh Dadarkhah, Zahra Rezasoltani, Sharif Najafi
{"title":"评估电针与物理治疗在减轻髌骨软骨软化症士兵疼痛和残疾方面的疗效:一项随机临床试验。","authors":"Reza Kazempour Mofrad, Afsaneh Dadarkhah, Zahra Rezasoltani, Sharif Najafi","doi":"10.5812/aapm-143688","DOIUrl":null,"url":null,"abstract":"<p><strong>Background: </strong>One of the most prevalent causes of anterior knee pain is chondromalacia patella (CMP), particularly among young populations, including soldiers. Although various treatments have been suggested to relieve the symptoms and improve the functioning of patients with CMP, none have proven to be adequately effective.</p><p><strong>Objectives: </strong>This study assessed the effectiveness of electroacupuncture as a complementary treatment for CMP, noting its minimal complications.</p><p><strong>Methods: </strong>In this randomized clinical trial, soldiers diagnosed with CMP who met the inclusion criteria and referred to Imam Reza Hospital in Tehran in 2023 were assigned to one of two treatment groups. The electroacupuncture group received treatment at specific acupuncture points combined with an electrical current. The physical therapy group underwent treatment consisting of 10 sessions of routine physical therapy modalities. The Visual Analog Scale (VAS) for pain and disability and the knee injury and osteoarthritis outcome score (KOOS) questionnaire were used to assess the outcomes before the intervention and three months after the intervention.</p><p><strong>Results: </strong>Twenty participants were analyzed in each group. The VAS for pain and disability reduced in both groups during the study; however, the difference between the two groups was not significant (P = 0.999 for pain and P = 0.873 for disability). No significant difference was observed in the KOOS symptom score either during the study or between the two groups (P = 0.423). The changes in the \"pain\" scores of the KOOS questionnaire were significant both in the electroacupuncture group (P = 0.003) and in the physical therapy group (P = 0.038); however, the difference was not significant between the two groups. The \"activities of daily living\" scores of the patients were significant both during the study and between the two groups (P = 0.042), with a steeper improvement in the electroacupuncture group. The patients' \"sports and recreational activities\" scores were significant in the electroacupuncture group (P = 0.001) and between the two groups (P = 0.023). The \"knee-related quality-of-life\" scores were significant in both groups, and the comparison of the two groups indicated that the slope of the changes was higher in the electroacupuncture group than in the physical therapy group (P = 0.001).</p><p><strong>Conclusions: </strong>According to the results of the current research, electroacupuncture can improve the symptoms and function of patients with CMP, and its efficacy is equivalent to that of physical therapy.</p>","PeriodicalId":7841,"journal":{"name":"Anesthesiology and Pain Medicine","volume":"14 4","pages":"e143688"},"PeriodicalIF":0.0000,"publicationDate":"2024-09-03","publicationTypes":"Journal Article","fieldsOfStudy":null,"isOpenAccess":false,"openAccessPdf":"https://www.ncbi.nlm.nih.gov/pmc/articles/PMC11895788/pdf/","citationCount":"0","resultStr":"{\"title\":\"Evaluating the Efficacy of Electroacupuncture Compared to Physiotherapy in Reducing Pain and Disability in Soldiers Diagnosed with Chondromalacia Patella: A Randomized Clinical Trial.\",\"authors\":\"Reza Kazempour Mofrad, Afsaneh Dadarkhah, Zahra Rezasoltani, Sharif Najafi\",\"doi\":\"10.5812/aapm-143688\",\"DOIUrl\":null,\"url\":null,\"abstract\":\"<p><strong>Background: </strong>One of the most prevalent causes of anterior knee pain is chondromalacia patella (CMP), particularly among young populations, including soldiers. Although various treatments have been suggested to relieve the symptoms and improve the functioning of patients with CMP, none have proven to be adequately effective.</p><p><strong>Objectives: </strong>This study assessed the effectiveness of electroacupuncture as a complementary treatment for CMP, noting its minimal complications.</p><p><strong>Methods: </strong>In this randomized clinical trial, soldiers diagnosed with CMP who met the inclusion criteria and referred to Imam Reza Hospital in Tehran in 2023 were assigned to one of two treatment groups. The electroacupuncture group received treatment at specific acupuncture points combined with an electrical current. The physical therapy group underwent treatment consisting of 10 sessions of routine physical therapy modalities. The Visual Analog Scale (VAS) for pain and disability and the knee injury and osteoarthritis outcome score (KOOS) questionnaire were used to assess the outcomes before the intervention and three months after the intervention.</p><p><strong>Results: </strong>Twenty participants were analyzed in each group. The VAS for pain and disability reduced in both groups during the study; however, the difference between the two groups was not significant (P = 0.999 for pain and P = 0.873 for disability). No significant difference was observed in the KOOS symptom score either during the study or between the two groups (P = 0.423). The changes in the \\\"pain\\\" scores of the KOOS questionnaire were significant both in the electroacupuncture group (P = 0.003) and in the physical therapy group (P = 0.038); however, the difference was not significant between the two groups. The \\\"activities of daily living\\\" scores of the patients were significant both during the study and between the two groups (P = 0.042), with a steeper improvement in the electroacupuncture group. The patients' \\\"sports and recreational activities\\\" scores were significant in the electroacupuncture group (P = 0.001) and between the two groups (P = 0.023). The \\\"knee-related quality-of-life\\\" scores were significant in both groups, and the comparison of the two groups indicated that the slope of the changes was higher in the electroacupuncture group than in the physical therapy group (P = 0.001).</p><p><strong>Conclusions: </strong>According to the results of the current research, electroacupuncture can improve the symptoms and function of patients with CMP, and its efficacy is equivalent to that of physical therapy.</p>\",\"PeriodicalId\":7841,\"journal\":{\"name\":\"Anesthesiology and Pain Medicine\",\"volume\":\"14 4\",\"pages\":\"e143688\"},\"PeriodicalIF\":0.0000,\"publicationDate\":\"2024-09-03\",\"publicationTypes\":\"Journal Article\",\"fieldsOfStudy\":null,\"isOpenAccess\":false,\"openAccessPdf\":\"https://www.ncbi.nlm.nih.gov/pmc/articles/PMC11895788/pdf/\",\"citationCount\":\"0\",\"resultStr\":null,\"platform\":\"Semanticscholar\",\"paperid\":null,\"PeriodicalName\":\"Anesthesiology and Pain Medicine\",\"FirstCategoryId\":\"1085\",\"ListUrlMain\":\"https://doi.org/10.5812/aapm-143688\",\"RegionNum\":0,\"RegionCategory\":null,\"ArticlePicture\":[],\"TitleCN\":null,\"AbstractTextCN\":null,\"PMCID\":null,\"EPubDate\":\"2024/8/1 0:00:00\",\"PubModel\":\"eCollection\",\"JCR\":\"Q2\",\"JCRName\":\"Medicine\",\"Score\":null,\"Total\":0}","platform":"Semanticscholar","paperid":null,"PeriodicalName":"Anesthesiology and Pain Medicine","FirstCategoryId":"1085","ListUrlMain":"https://doi.org/10.5812/aapm-143688","RegionNum":0,"RegionCategory":null,"ArticlePicture":[],"TitleCN":null,"AbstractTextCN":null,"PMCID":null,"EPubDate":"2024/8/1 0:00:00","PubModel":"eCollection","JCR":"Q2","JCRName":"Medicine","Score":null,"Total":0}
引用次数: 0

摘要

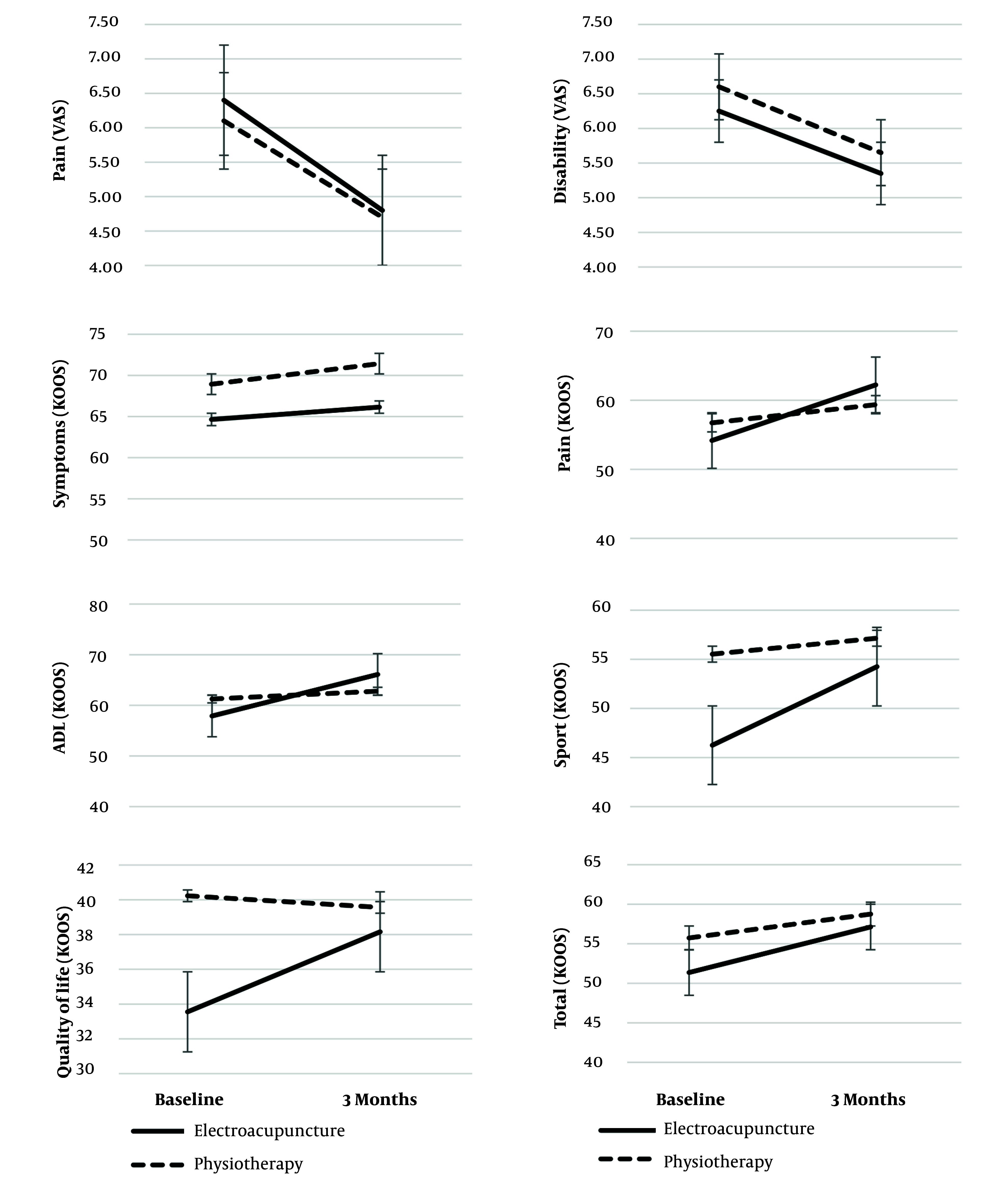
背景:膝关节前部疼痛最常见的原因之一是髌骨软骨软化症(CMP),尤其是在包括士兵在内的年轻人中。虽然各种治疗方法被建议缓解症状和改善CMP患者的功能,但没有一种被证明是足够有效的。目的:本研究评估了电针作为CMP补充治疗的有效性,注意到其并发症最小。方法:在这项随机临床试验中,诊断为CMP并于2023年转诊至德黑兰伊玛目礼萨医院的士兵被分配到两个治疗组中的一个。电针组在特定穴位结合电流进行治疗。物理治疗组接受10次常规物理治疗。采用疼痛和残疾视觉模拟量表(VAS)、膝关节损伤和骨关节炎结局评分问卷(oos)评估干预前和干预后3个月的结局。结果:每组分析20例。研究期间,两组患者疼痛和残疾的VAS评分均有所下降;但两组间差异无统计学意义(疼痛P = 0.999,残疾P = 0.873)。研究期间及两组间KOOS症状评分差异无统计学意义(P = 0.423)。电针组和物理治疗组的KOOS问卷“疼痛”评分差异均有统计学意义(P = 0.003);然而,两组之间的差异并不显著。患者的“日常生活活动”评分在研究期间和两组之间均有显著性差异(P = 0.042),其中电针组改善更明显。电针组患者“运动和娱乐活动”评分差异有统计学意义(P = 0.001),两组间差异有统计学意义(P = 0.023)。两组患者的“膝关节相关生活质量”评分均有显著性差异,两组比较显示电针组的变化斜率高于物理治疗组(P = 0.001)。结论:根据目前的研究结果,电针可以改善CMP患者的症状和功能,其疗效与物理治疗相当。
本文章由计算机程序翻译,如有差异,请以英文原文为准。

Evaluating the Efficacy of Electroacupuncture Compared to Physiotherapy in Reducing Pain and Disability in Soldiers Diagnosed with Chondromalacia Patella: A Randomized Clinical Trial.

Evaluating the Efficacy of Electroacupuncture Compared to Physiotherapy in Reducing Pain and Disability in Soldiers Diagnosed with Chondromalacia Patella: A Randomized Clinical Trial.

Evaluating the Efficacy of Electroacupuncture Compared to Physiotherapy in Reducing Pain and Disability in Soldiers Diagnosed with Chondromalacia Patella: A Randomized Clinical Trial.

Background: One of the most prevalent causes of anterior knee pain is chondromalacia patella (CMP), particularly among young populations, including soldiers. Although various treatments have been suggested to relieve the symptoms and improve the functioning of patients with CMP, none have proven to be adequately effective.

Objectives: This study assessed the effectiveness of electroacupuncture as a complementary treatment for CMP, noting its minimal complications.

Methods: In this randomized clinical trial, soldiers diagnosed with CMP who met the inclusion criteria and referred to Imam Reza Hospital in Tehran in 2023 were assigned to one of two treatment groups. The electroacupuncture group received treatment at specific acupuncture points combined with an electrical current. The physical therapy group underwent treatment consisting of 10 sessions of routine physical therapy modalities. The Visual Analog Scale (VAS) for pain and disability and the knee injury and osteoarthritis outcome score (KOOS) questionnaire were used to assess the outcomes before the intervention and three months after the intervention.

Results: Twenty participants were analyzed in each group. The VAS for pain and disability reduced in both groups during the study; however, the difference between the two groups was not significant (P = 0.999 for pain and P = 0.873 for disability). No significant difference was observed in the KOOS symptom score either during the study or between the two groups (P = 0.423). The changes in the "pain" scores of the KOOS questionnaire were significant both in the electroacupuncture group (P = 0.003) and in the physical therapy group (P = 0.038); however, the difference was not significant between the two groups. The "activities of daily living" scores of the patients were significant both during the study and between the two groups (P = 0.042), with a steeper improvement in the electroacupuncture group. The patients' "sports and recreational activities" scores were significant in the electroacupuncture group (P = 0.001) and between the two groups (P = 0.023). The "knee-related quality-of-life" scores were significant in both groups, and the comparison of the two groups indicated that the slope of the changes was higher in the electroacupuncture group than in the physical therapy group (P = 0.001).

Conclusions: According to the results of the current research, electroacupuncture can improve the symptoms and function of patients with CMP, and its efficacy is equivalent to that of physical therapy.

求助全文
通过发布文献求助,成功后即可免费获取论文全文。 去求助
来源期刊
Anesthesiology and Pain Medicine
Anesthesiology and Pain Medicine Medicine-Anesthesiology and Pain Medicine
CiteScore
4.60
自引率
0.00%
发文量
49
×
引用
GB/T 7714-2015
复制
MLA
复制
APA
复制
导出至
BibTeX EndNote RefMan NoteFirst NoteExpress
×
提示
您的信息不完整,为了账户安全,请先补充。
现在去补充
×
提示
您因"违规操作"
具体请查看互助需知
我知道了
×
提示
确定
请完成安全验证×
copy
已复制链接
快去分享给好友吧!
我知道了
右上角分享
点击右上角分享
0
联系我们:info@booksci.cn Book学术提供免费学术资源搜索服务,方便国内外学者检索中英文文献。致力于提供最便捷和优质的服务体验。 Copyright © 2023 布克学术 All rights reserved.
京ICP备2023020795号-1
ghs 京公网安备 11010802042870号
Book学术文献互助
Book学术文献互助群
群 号:604180095
Book学术官方微信