屠体饲料对动物园非洲野狗摄食行为和社会互动的影响

IF 1.4 4区 生物学 Q3 VETERINARY SCIENCES
Zoo Biology Pub Date : 2025-07-01 Epub Date: 2025-03-12 DOI:10.1002/zoo.21895
Neil R Jordan, Emily Therese Boyd, Jennifer Conaghan, Jordan Michelmore, Michelle E Shaw, Benjamin J Pitcher
{"title":"屠体饲料对动物园非洲野狗摄食行为和社会互动的影响","authors":"Neil R Jordan, Emily Therese Boyd, Jennifer Conaghan, Jordan Michelmore, Michelle E Shaw, Benjamin J Pitcher","doi":"10.1002/zoo.21895","DOIUrl":null,"url":null,"abstract":"<p><p>Management of African wild dogs (Lycaon pictus) in zoos involves several challenges, including the difficulty of providing appropriate stimulation and enrichment for naturally wide-ranging, energetic, cursorial hunters. Perhaps consequently, zoo packs can exhibit bouts of extreme intra-pack aggression rarely seen in the wild. As with other species, considerable efforts are required to balance the retention and exhibition of wild-type behaviors, against ensuring that the nutritional and welfare needs of individual group-living animals are met. While some behaviors, such as hunting and wide-ranging movements are impossible to mimic in zoos, the provision of food may be refined to allow natural feeding behavior to be displayed. We conducted a feeding experiment on a breeding pack of nine African wild dogs at Taronga Western Plains Zoo in Australia, presenting food in three treatments (individual pieces, butchered carcasses, and whole carcasses) to determine whether: (1) natural age-related patterns of feeding behavior were observed; (2) food type or presentation affected feeding behavior, duration, and interactions. Free-ranging African wild dogs exhibit an age-based feeding structure at kill sites that is rare in other species. We found that carcass and butchered carcass feeds more closely exhibited the age-based feeding observed in the wild. The pack spent twenty times as long consuming carcasses than food presented as individual pieces, with consumption times matching those in the wild. Carcass and butchered carcass feeds also increased the number and rate of interactions over food compared to individual pieces, with a high proportion of interactions resulting in sharing outcomes. This suggests that carcass feeds allow the exhibition of natural patterns of behavior without increasing the risk of negative social interactions. Our results highlight the importance and possibility of managing socially complex carnivores through husbandry that balances the display of natural behavior with positive animal welfare.</p>","PeriodicalId":24035,"journal":{"name":"Zoo Biology","volume":" ","pages":"313-323"},"PeriodicalIF":1.4000,"publicationDate":"2025-07-01","publicationTypes":"Journal Article","fieldsOfStudy":null,"isOpenAccess":false,"openAccessPdf":"https://www.ncbi.nlm.nih.gov/pmc/articles/PMC12335230/pdf/","citationCount":"0","resultStr":"{\"title\":\"Effect of Carcass Feeds on Feeding Behavior and Social Interactions in Zoo-Based African Wild Dogs (Lycaon pictus).\",\"authors\":\"Neil R Jordan, Emily Therese Boyd, Jennifer Conaghan, Jordan Michelmore, Michelle E Shaw, Benjamin J Pitcher\",\"doi\":\"10.1002/zoo.21895\",\"DOIUrl\":null,\"url\":null,\"abstract\":\"<p><p>Management of African wild dogs (Lycaon pictus) in zoos involves several challenges, including the difficulty of providing appropriate stimulation and enrichment for naturally wide-ranging, energetic, cursorial hunters. Perhaps consequently, zoo packs can exhibit bouts of extreme intra-pack aggression rarely seen in the wild. As with other species, considerable efforts are required to balance the retention and exhibition of wild-type behaviors, against ensuring that the nutritional and welfare needs of individual group-living animals are met. While some behaviors, such as hunting and wide-ranging movements are impossible to mimic in zoos, the provision of food may be refined to allow natural feeding behavior to be displayed. We conducted a feeding experiment on a breeding pack of nine African wild dogs at Taronga Western Plains Zoo in Australia, presenting food in three treatments (individual pieces, butchered carcasses, and whole carcasses) to determine whether: (1) natural age-related patterns of feeding behavior were observed; (2) food type or presentation affected feeding behavior, duration, and interactions. Free-ranging African wild dogs exhibit an age-based feeding structure at kill sites that is rare in other species. We found that carcass and butchered carcass feeds more closely exhibited the age-based feeding observed in the wild. The pack spent twenty times as long consuming carcasses than food presented as individual pieces, with consumption times matching those in the wild. Carcass and butchered carcass feeds also increased the number and rate of interactions over food compared to individual pieces, with a high proportion of interactions resulting in sharing outcomes. This suggests that carcass feeds allow the exhibition of natural patterns of behavior without increasing the risk of negative social interactions. Our results highlight the importance and possibility of managing socially complex carnivores through husbandry that balances the display of natural behavior with positive animal welfare.</p>\",\"PeriodicalId\":24035,\"journal\":{\"name\":\"Zoo Biology\",\"volume\":\" \",\"pages\":\"313-323\"},\"PeriodicalIF\":1.4000,\"publicationDate\":\"2025-07-01\",\"publicationTypes\":\"Journal Article\",\"fieldsOfStudy\":null,\"isOpenAccess\":false,\"openAccessPdf\":\"https://www.ncbi.nlm.nih.gov/pmc/articles/PMC12335230/pdf/\",\"citationCount\":\"0\",\"resultStr\":null,\"platform\":\"Semanticscholar\",\"paperid\":null,\"PeriodicalName\":\"Zoo Biology\",\"FirstCategoryId\":\"99\",\"ListUrlMain\":\"https://doi.org/10.1002/zoo.21895\",\"RegionNum\":4,\"RegionCategory\":\"生物学\",\"ArticlePicture\":[],\"TitleCN\":null,\"AbstractTextCN\":null,\"PMCID\":null,\"EPubDate\":\"2025/3/12 0:00:00\",\"PubModel\":\"Epub\",\"JCR\":\"Q3\",\"JCRName\":\"VETERINARY SCIENCES\",\"Score\":null,\"Total\":0}","platform":"Semanticscholar","paperid":null,"PeriodicalName":"Zoo Biology","FirstCategoryId":"99","ListUrlMain":"https://doi.org/10.1002/zoo.21895","RegionNum":4,"RegionCategory":"生物学","ArticlePicture":[],"TitleCN":null,"AbstractTextCN":null,"PMCID":null,"EPubDate":"2025/3/12 0:00:00","PubModel":"Epub","JCR":"Q3","JCRName":"VETERINARY SCIENCES","Score":null,"Total":0}
引用次数: 0

摘要

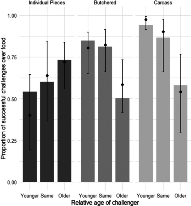
在动物园中管理非洲野狗(Lycaon pictus)涉及到几个挑战,包括为天生广泛、精力充沛、游猎的猎人提供适当的刺激和丰富的困难。也许因此,动物园的狼群会表现出在野外很少见到的极端的群体内攻击。与其他物种一样,需要付出相当大的努力来平衡野生型行为的保留和表现,以确保满足群居动物个体的营养和福利需求。虽然有些行为,如狩猎和广泛的运动是不可能在动物园里模仿的,但食物的供应可能会得到改进,以允许自然的喂养行为得到展示。我们在澳大利亚Taronga西部平原动物园对9只繁殖的非洲野狗进行了饲养实验,以三种处理方式(个体、屠宰的尸体和整个尸体)提供食物,以确定:(1)是否观察到与年龄相关的自然摄食行为模式;(2)食物类型或呈现影响摄食行为、持续时间和相互作用。自由放养的非洲野狗在杀戮地点表现出一种基于年龄的进食结构,这在其他物种中是罕见的。我们发现屠体和屠宰后的屠体摄食更接近于野外观察到的年龄摄食。这群狼消耗尸体的时间是个体食物的20倍,消耗时间与野外相当。与个体饲料相比,胴体饲料和屠宰后的胴体饲料也增加了食物相互作用的数量和比率,导致共享结果的相互作用比例很高。这表明,胴体饲料可以在不增加负面社会互动风险的情况下展示自然行为模式。我们的研究结果强调了通过畜牧业来管理社会复杂的食肉动物的重要性和可能性,从而平衡了自然行为和积极的动物福利。
本文章由计算机程序翻译,如有差异,请以英文原文为准。

Effect of Carcass Feeds on Feeding Behavior and Social Interactions in Zoo-Based African Wild Dogs (Lycaon pictus).

Effect of Carcass Feeds on Feeding Behavior and Social Interactions in Zoo-Based African Wild Dogs (Lycaon pictus).

Effect of Carcass Feeds on Feeding Behavior and Social Interactions in Zoo-Based African Wild Dogs (Lycaon pictus).

Effect of Carcass Feeds on Feeding Behavior and Social Interactions in Zoo-Based African Wild Dogs (Lycaon pictus).

Management of African wild dogs (Lycaon pictus) in zoos involves several challenges, including the difficulty of providing appropriate stimulation and enrichment for naturally wide-ranging, energetic, cursorial hunters. Perhaps consequently, zoo packs can exhibit bouts of extreme intra-pack aggression rarely seen in the wild. As with other species, considerable efforts are required to balance the retention and exhibition of wild-type behaviors, against ensuring that the nutritional and welfare needs of individual group-living animals are met. While some behaviors, such as hunting and wide-ranging movements are impossible to mimic in zoos, the provision of food may be refined to allow natural feeding behavior to be displayed. We conducted a feeding experiment on a breeding pack of nine African wild dogs at Taronga Western Plains Zoo in Australia, presenting food in three treatments (individual pieces, butchered carcasses, and whole carcasses) to determine whether: (1) natural age-related patterns of feeding behavior were observed; (2) food type or presentation affected feeding behavior, duration, and interactions. Free-ranging African wild dogs exhibit an age-based feeding structure at kill sites that is rare in other species. We found that carcass and butchered carcass feeds more closely exhibited the age-based feeding observed in the wild. The pack spent twenty times as long consuming carcasses than food presented as individual pieces, with consumption times matching those in the wild. Carcass and butchered carcass feeds also increased the number and rate of interactions over food compared to individual pieces, with a high proportion of interactions resulting in sharing outcomes. This suggests that carcass feeds allow the exhibition of natural patterns of behavior without increasing the risk of negative social interactions. Our results highlight the importance and possibility of managing socially complex carnivores through husbandry that balances the display of natural behavior with positive animal welfare.

求助全文
通过发布文献求助,成功后即可免费获取论文全文。 去求助
来源期刊
Zoo Biology
Zoo Biology 生物-动物学
CiteScore
2.50
自引率
15.40%
发文量
85
审稿时长
6-12 weeks
期刊介绍: Zoo Biology is concerned with reproduction, demographics, genetics, behavior, medicine, husbandry, nutrition, conservation and all empirical aspects of the exhibition and maintenance of wild animals in wildlife parks, zoos, and aquariums. This diverse journal offers a forum for effectively communicating scientific findings, original ideas, and critical thinking related to the role of wildlife collections and their unique contribution to conservation.
×
引用
GB/T 7714-2015
复制
MLA
复制
APA
复制
导出至
BibTeX EndNote RefMan NoteFirst NoteExpress
×
提示
您的信息不完整,为了账户安全,请先补充。
现在去补充
×
提示
您因"违规操作"
具体请查看互助需知
我知道了
×
提示
确定
请完成安全验证×
copy
已复制链接
快去分享给好友吧!
我知道了
右上角分享
点击右上角分享
0
联系我们:info@booksci.cn Book学术提供免费学术资源搜索服务,方便国内外学者检索中英文文献。致力于提供最便捷和优质的服务体验。 Copyright © 2023 布克学术 All rights reserved.
京ICP备2023020795号-1
ghs 京公网安备 11010802042870号
Book学术文献互助
Book学术文献互助群
群 号:604180095
Book学术官方微信