利古里亚妇女血清TSH特异性参考范围:单中心横断面研究中年龄和采集年份的影响

IF 1.8 Q3 ENDOCRINOLOGY & METABOLISM
Massimo Giusti, Marilena Sidoti
{"title":"利古里亚妇女血清TSH特异性参考范围:单中心横断面研究中年龄和采集年份的影响","authors":"Massimo Giusti, Marilena Sidoti","doi":"10.1186/s13044-025-00225-y","DOIUrl":null,"url":null,"abstract":"<p><strong>Background: </strong>TSH is the first-line test of thyroid function, and the normal TSH references provided by manufacturers are generally used in diagnoses. In the age of gender medicine, however, there is a need to refine normal TSH ranges.</p><p><strong>Aim: </strong>The aim of this study was to construct a normal TSH range in women living in our district. The data were collected in a secondary-level centre located in Savona (Liguria, Italy).</p><p><strong>Methods: </strong>From 2003 to 2022, 6227 medical records from women undergoing their first endocrinological examination were anonymously evaluated. After the application of exclusion criteria, statistical analysis was anonymously performed on a sample of 2597 medical records.</p><p><strong>Results: </strong>The pooled median 2.5th and 97.5th percentiles of TSH provided by manufacturers were 0.20 mIU/l and 5.64 mIU/l, respectively. In the study population, median (2.5th - 97.5th percentiles) TSH was 1.70 mIU/l (0.37-6.95 mIU/l). TSH and patient age did not vary significantly over the years (2003-2022). A slight negative correlation was found between TSH and age (P = 0.05). On stratifying the sample into three age-groups (18-44 years, N = 1200; 45-64 years N = 934; ≥65 years, N = 463), TSH was 1.75 mIU/l (0.49-5.94 mIU/l), 1.70 mIU/l (0.30-6.89 mIU/l) and 1.64 mIU/l (0.30-7.69 mIU/l), respectively. When TSH was evaluated according to the age-related range instead of the pooled range reported by manufacturers, the number of women aged 18-44 years considered to have sub-clinical hyperthyroidism increased slightly (P = 0.02) and the number of women in the 45-64-year and ≥ 65-year age-groups considered to have sub-clinical hypothyroidism decreased significantly (P = 0.05 and P < 0.001).</p><p><strong>Conclusions: </strong>This is the first study in Liguria aimed at establishing new age-specific reference values for TSH in women. Based on a large number of data, this new age-related range could be more extensively employed in order to improve diagnosis. The main result of implementing age-related normal TSH levels between the 2.5th and 97.5th percentiles seems to be both a slight increase in 18-44-year-old women and a significant reduction in > 45-year-old women in whom sub-clinical hyperthyroidism or hypothyroidism, respectively, should be promptly treated.</p>","PeriodicalId":39048,"journal":{"name":"Thyroid Research","volume":"18 1","pages":"8"},"PeriodicalIF":1.8000,"publicationDate":"2025-03-11","publicationTypes":"Journal Article","fieldsOfStudy":null,"isOpenAccess":false,"openAccessPdf":"https://www.ncbi.nlm.nih.gov/pmc/articles/PMC11895335/pdf/","citationCount":"0","resultStr":"{\"title\":\"Women-specific reference ranges for serum TSH in Liguria: the impact of age and year of collection in a single-center cross-sectional study.\",\"authors\":\"Massimo Giusti, Marilena Sidoti\",\"doi\":\"10.1186/s13044-025-00225-y\",\"DOIUrl\":null,\"url\":null,\"abstract\":\"<p><strong>Background: </strong>TSH is the first-line test of thyroid function, and the normal TSH references provided by manufacturers are generally used in diagnoses. In the age of gender medicine, however, there is a need to refine normal TSH ranges.</p><p><strong>Aim: </strong>The aim of this study was to construct a normal TSH range in women living in our district. The data were collected in a secondary-level centre located in Savona (Liguria, Italy).</p><p><strong>Methods: </strong>From 2003 to 2022, 6227 medical records from women undergoing their first endocrinological examination were anonymously evaluated. After the application of exclusion criteria, statistical analysis was anonymously performed on a sample of 2597 medical records.</p><p><strong>Results: </strong>The pooled median 2.5th and 97.5th percentiles of TSH provided by manufacturers were 0.20 mIU/l and 5.64 mIU/l, respectively. In the study population, median (2.5th - 97.5th percentiles) TSH was 1.70 mIU/l (0.37-6.95 mIU/l). TSH and patient age did not vary significantly over the years (2003-2022). A slight negative correlation was found between TSH and age (P = 0.05). On stratifying the sample into three age-groups (18-44 years, N = 1200; 45-64 years N = 934; ≥65 years, N = 463), TSH was 1.75 mIU/l (0.49-5.94 mIU/l), 1.70 mIU/l (0.30-6.89 mIU/l) and 1.64 mIU/l (0.30-7.69 mIU/l), respectively. When TSH was evaluated according to the age-related range instead of the pooled range reported by manufacturers, the number of women aged 18-44 years considered to have sub-clinical hyperthyroidism increased slightly (P = 0.02) and the number of women in the 45-64-year and ≥ 65-year age-groups considered to have sub-clinical hypothyroidism decreased significantly (P = 0.05 and P < 0.001).</p><p><strong>Conclusions: </strong>This is the first study in Liguria aimed at establishing new age-specific reference values for TSH in women. Based on a large number of data, this new age-related range could be more extensively employed in order to improve diagnosis. The main result of implementing age-related normal TSH levels between the 2.5th and 97.5th percentiles seems to be both a slight increase in 18-44-year-old women and a significant reduction in > 45-year-old women in whom sub-clinical hyperthyroidism or hypothyroidism, respectively, should be promptly treated.</p>\",\"PeriodicalId\":39048,\"journal\":{\"name\":\"Thyroid Research\",\"volume\":\"18 1\",\"pages\":\"8\"},\"PeriodicalIF\":1.8000,\"publicationDate\":\"2025-03-11\",\"publicationTypes\":\"Journal Article\",\"fieldsOfStudy\":null,\"isOpenAccess\":false,\"openAccessPdf\":\"https://www.ncbi.nlm.nih.gov/pmc/articles/PMC11895335/pdf/\",\"citationCount\":\"0\",\"resultStr\":null,\"platform\":\"Semanticscholar\",\"paperid\":null,\"PeriodicalName\":\"Thyroid Research\",\"FirstCategoryId\":\"1085\",\"ListUrlMain\":\"https://doi.org/10.1186/s13044-025-00225-y\",\"RegionNum\":0,\"RegionCategory\":null,\"ArticlePicture\":[],\"TitleCN\":null,\"AbstractTextCN\":null,\"PMCID\":null,\"EPubDate\":\"\",\"PubModel\":\"\",\"JCR\":\"Q3\",\"JCRName\":\"ENDOCRINOLOGY & METABOLISM\",\"Score\":null,\"Total\":0}","platform":"Semanticscholar","paperid":null,"PeriodicalName":"Thyroid Research","FirstCategoryId":"1085","ListUrlMain":"https://doi.org/10.1186/s13044-025-00225-y","RegionNum":0,"RegionCategory":null,"ArticlePicture":[],"TitleCN":null,"AbstractTextCN":null,"PMCID":null,"EPubDate":"","PubModel":"","JCR":"Q3","JCRName":"ENDOCRINOLOGY & METABOLISM","Score":null,"Total":0}
引用次数: 0

摘要

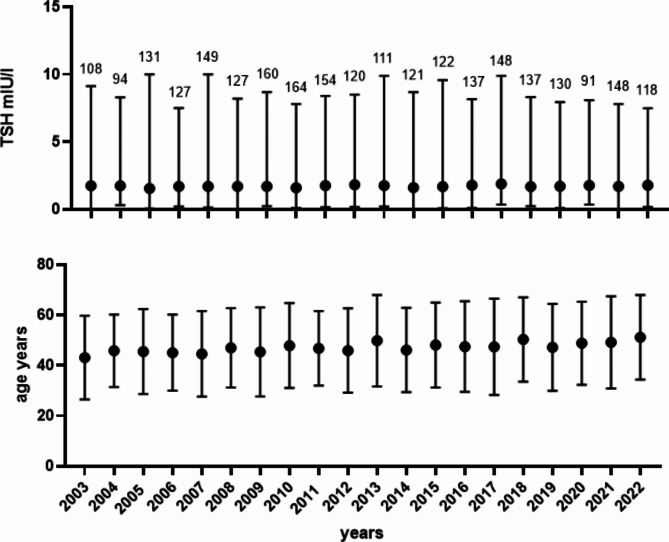
背景:促甲状腺激素是甲状腺功能的一线检测指标,制造商提供的促甲状腺激素正常值参考值通常用于诊断。然而,在性别医学时代,有必要完善 TSH 的正常范围。数据在萨沃纳(意大利利古里亚)的一家二级中心收集:方法:对2003年至2022年期间接受首次内分泌检查的6227名妇女的病历进行了匿名评估。采用排除标准后,对2597份病历样本进行了匿名统计分析:制造商提供的 TSH 2.5 百分位数和 97.5 百分位数的中位数分别为 0.20 mIU/l 和 5.64 mIU/l。在研究人群中,TSH 的中位数(2.5-97.5 百分位数)为 1.70 mIU/l(0.37-6.95 mIU/l)。2003-2022年期间,促甲状腺激素和患者年龄的变化不大。TSH 与年龄之间存在轻微的负相关(P = 0.05)。将样本分为三个年龄组(18-44 岁,N = 1200;45-64 岁,N = 934;≥65 岁,N = 463)时,TSH 分别为 1.75 mIU/l(0.49-5.94 mIU/l)、1.70 mIU/l(0.30-6.89 mIU/l)和 1.64 mIU/l(0.30-7.69 mIU/l)。当根据年龄相关范围而非制造商报告的集合范围对 TSH 进行评估时,被认为患有亚临床甲状腺功能亢进症的 18-44 岁女性人数略有增加(P = 0.02),而被认为患有亚临床甲状腺功能减退症的 45-64 岁和≥ 65 岁年龄组女性人数则显著减少(P = 0.05 和 P 结论):这是利古里亚地区旨在为女性 TSH 建立新的特定年龄参考值的首次研究。基于大量数据,这一新的年龄相关范围可得到更广泛的应用,以改善诊断。在2.5和97.5百分位数之间实施与年龄相关的正常促甲状腺激素水平的主要结果似乎是,18-44岁女性的促甲状腺激素水平略有上升,而大于45岁女性的促甲状腺激素水平则显著下降,应分别及时治疗亚临床甲状腺功能亢进症或甲状腺功能减退症。
本文章由计算机程序翻译,如有差异,请以英文原文为准。

Women-specific reference ranges for serum TSH in Liguria: the impact of age and year of collection in a single-center cross-sectional study.

Women-specific reference ranges for serum TSH in Liguria: the impact of age and year of collection in a single-center cross-sectional study.

Women-specific reference ranges for serum TSH in Liguria: the impact of age and year of collection in a single-center cross-sectional study.

Women-specific reference ranges for serum TSH in Liguria: the impact of age and year of collection in a single-center cross-sectional study.

Background: TSH is the first-line test of thyroid function, and the normal TSH references provided by manufacturers are generally used in diagnoses. In the age of gender medicine, however, there is a need to refine normal TSH ranges.

Aim: The aim of this study was to construct a normal TSH range in women living in our district. The data were collected in a secondary-level centre located in Savona (Liguria, Italy).

Methods: From 2003 to 2022, 6227 medical records from women undergoing their first endocrinological examination were anonymously evaluated. After the application of exclusion criteria, statistical analysis was anonymously performed on a sample of 2597 medical records.

Results: The pooled median 2.5th and 97.5th percentiles of TSH provided by manufacturers were 0.20 mIU/l and 5.64 mIU/l, respectively. In the study population, median (2.5th - 97.5th percentiles) TSH was 1.70 mIU/l (0.37-6.95 mIU/l). TSH and patient age did not vary significantly over the years (2003-2022). A slight negative correlation was found between TSH and age (P = 0.05). On stratifying the sample into three age-groups (18-44 years, N = 1200; 45-64 years N = 934; ≥65 years, N = 463), TSH was 1.75 mIU/l (0.49-5.94 mIU/l), 1.70 mIU/l (0.30-6.89 mIU/l) and 1.64 mIU/l (0.30-7.69 mIU/l), respectively. When TSH was evaluated according to the age-related range instead of the pooled range reported by manufacturers, the number of women aged 18-44 years considered to have sub-clinical hyperthyroidism increased slightly (P = 0.02) and the number of women in the 45-64-year and ≥ 65-year age-groups considered to have sub-clinical hypothyroidism decreased significantly (P = 0.05 and P < 0.001).

Conclusions: This is the first study in Liguria aimed at establishing new age-specific reference values for TSH in women. Based on a large number of data, this new age-related range could be more extensively employed in order to improve diagnosis. The main result of implementing age-related normal TSH levels between the 2.5th and 97.5th percentiles seems to be both a slight increase in 18-44-year-old women and a significant reduction in > 45-year-old women in whom sub-clinical hyperthyroidism or hypothyroidism, respectively, should be promptly treated.

求助全文
通过发布文献求助,成功后即可免费获取论文全文。 去求助
来源期刊
Thyroid Research
Thyroid Research Medicine-Endocrinology, Diabetes and Metabolism
CiteScore
3.10
自引率
4.50%
发文量
21
审稿时长
8 weeks
×
引用
GB/T 7714-2015
复制
MLA
复制
APA
复制
导出至
BibTeX EndNote RefMan NoteFirst NoteExpress
×
提示
您的信息不完整,为了账户安全,请先补充。
现在去补充
×
提示
您因"违规操作"
具体请查看互助需知
我知道了
×
提示
确定
请完成安全验证×
copy
已复制链接
快去分享给好友吧!
我知道了
右上角分享
点击右上角分享
0
联系我们:info@booksci.cn Book学术提供免费学术资源搜索服务,方便国内外学者检索中英文文献。致力于提供最便捷和优质的服务体验。 Copyright © 2023 布克学术 All rights reserved.
京ICP备2023020795号-1
ghs 京公网安备 11010802042870号
Book学术文献互助
Book学术文献互助群
群 号:604180095
Book学术官方微信