澳大利亚小儿麻痹症后住院10年:按月、地点和可比条件的观察性研究和趋势分析

IF 3.1
Timothy J H Lathlean, Nigel Quadros, Akhilesh K Ramachandran, Michael J Jackson
{"title":"澳大利亚小儿麻痹症后住院10年:按月、地点和可比条件的观察性研究和趋势分析","authors":"Timothy J H Lathlean, Nigel Quadros, Akhilesh K Ramachandran, Michael J Jackson","doi":"10.1093/pubmed/fdaf029","DOIUrl":null,"url":null,"abstract":"<p><strong>Background: </strong>There is currently no precise estimate of post-polio conditions in Australia. This observational study aimed to provide a summary of hospitalisations over a 10-year period in Australia, with a specific focus on annual, monthly, and regional trends, as well as a comparison with four similar neurological conditions.</p><p><strong>Methods: </strong>A retrospective cohort study of late effects of polio and post-polio syndrome from 2011 to 2021. Primary data were obtained via a data-on-request process through the Australian Institute of Health and Welfare in 2022. Analysis was carried out according to Welch Analyses of Variance with Games-Howell post-Hoc tests using GraphPad PRISM and Stata Version 17.0.</p><p><strong>Results: </strong>There was a statistically significant decrease in the monthly hospitalisations over the 10-year period and months according to seasonal trends, and significant differences across geographical regions and regionality. Significant differences existed between the number of hospitalisations per 100 000 population across diagnostic codes (p < 0.01).</p><p><strong>Conclusions: </strong>Annual trends were identified from 2010 to 2021 for post-polio hospitalisations in Australia. This research improves the precision of estimates for post-polio conditions in Australia, and provides helpful information on where people are hospitalized in Australia. These estimates are internationally comparable and can inform clinicians and health service managers worldwide.</p>","PeriodicalId":94107,"journal":{"name":"Journal of public health (Oxford, England)","volume":" ","pages":"e262-e273"},"PeriodicalIF":3.1000,"publicationDate":"2025-08-29","publicationTypes":"Journal Article","fieldsOfStudy":null,"isOpenAccess":false,"openAccessPdf":"https://www.ncbi.nlm.nih.gov/pmc/articles/PMC12395958/pdf/","citationCount":"0","resultStr":"{\"title\":\"Post-polio hospital admissions in Australia over a 10-year period: An observational study and analysis of trends by month, location, and comparable conditions.\",\"authors\":\"Timothy J H Lathlean, Nigel Quadros, Akhilesh K Ramachandran, Michael J Jackson\",\"doi\":\"10.1093/pubmed/fdaf029\",\"DOIUrl\":null,\"url\":null,\"abstract\":\"<p><strong>Background: </strong>There is currently no precise estimate of post-polio conditions in Australia. This observational study aimed to provide a summary of hospitalisations over a 10-year period in Australia, with a specific focus on annual, monthly, and regional trends, as well as a comparison with four similar neurological conditions.</p><p><strong>Methods: </strong>A retrospective cohort study of late effects of polio and post-polio syndrome from 2011 to 2021. Primary data were obtained via a data-on-request process through the Australian Institute of Health and Welfare in 2022. Analysis was carried out according to Welch Analyses of Variance with Games-Howell post-Hoc tests using GraphPad PRISM and Stata Version 17.0.</p><p><strong>Results: </strong>There was a statistically significant decrease in the monthly hospitalisations over the 10-year period and months according to seasonal trends, and significant differences across geographical regions and regionality. Significant differences existed between the number of hospitalisations per 100 000 population across diagnostic codes (p < 0.01).</p><p><strong>Conclusions: </strong>Annual trends were identified from 2010 to 2021 for post-polio hospitalisations in Australia. This research improves the precision of estimates for post-polio conditions in Australia, and provides helpful information on where people are hospitalized in Australia. These estimates are internationally comparable and can inform clinicians and health service managers worldwide.</p>\",\"PeriodicalId\":94107,\"journal\":{\"name\":\"Journal of public health (Oxford, England)\",\"volume\":\" \",\"pages\":\"e262-e273\"},\"PeriodicalIF\":3.1000,\"publicationDate\":\"2025-08-29\",\"publicationTypes\":\"Journal Article\",\"fieldsOfStudy\":null,\"isOpenAccess\":false,\"openAccessPdf\":\"https://www.ncbi.nlm.nih.gov/pmc/articles/PMC12395958/pdf/\",\"citationCount\":\"0\",\"resultStr\":null,\"platform\":\"Semanticscholar\",\"paperid\":null,\"PeriodicalName\":\"Journal of public health (Oxford, England)\",\"FirstCategoryId\":\"1085\",\"ListUrlMain\":\"https://doi.org/10.1093/pubmed/fdaf029\",\"RegionNum\":0,\"RegionCategory\":null,\"ArticlePicture\":[],\"TitleCN\":null,\"AbstractTextCN\":null,\"PMCID\":null,\"EPubDate\":\"\",\"PubModel\":\"\",\"JCR\":\"\",\"JCRName\":\"\",\"Score\":null,\"Total\":0}","platform":"Semanticscholar","paperid":null,"PeriodicalName":"Journal of public health (Oxford, England)","FirstCategoryId":"1085","ListUrlMain":"https://doi.org/10.1093/pubmed/fdaf029","RegionNum":0,"RegionCategory":null,"ArticlePicture":[],"TitleCN":null,"AbstractTextCN":null,"PMCID":null,"EPubDate":"","PubModel":"","JCR":"","JCRName":"","Score":null,"Total":0}
引用次数: 0

摘要

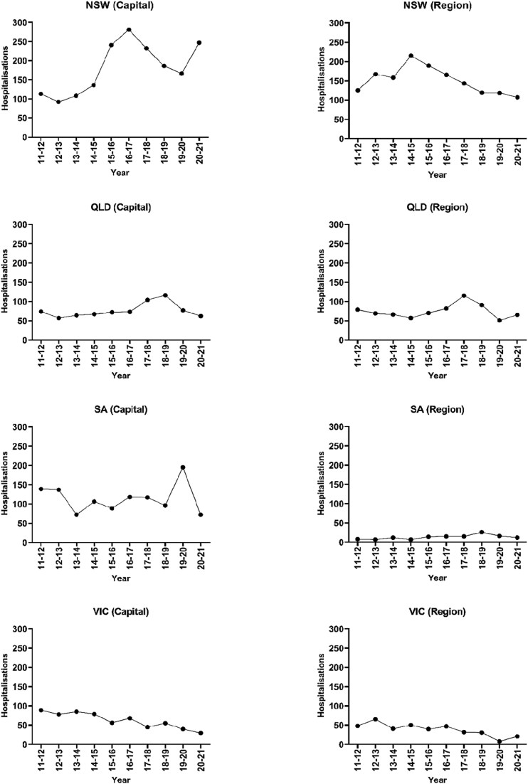
背景:目前没有对澳大利亚脊髓灰质炎后情况的精确估计。这项观察性研究旨在总结澳大利亚10年来的住院情况,特别关注年度、月度和区域趋势,并与四种类似的神经系统疾病进行比较。方法:对2011 - 2021年脊髓灰质炎和脊髓灰质炎后综合征的晚期效应进行回顾性队列研究。主要数据是在2022年通过澳大利亚健康和福利研究所通过按需数据程序获得的。采用GraphPad PRISM和Stata Version 17.0,采用Welch Variance Analysis with Games-Howell post-Hoc test进行分析。结果:各月住院人数在10年期间和月份间有显著的季节性下降趋势,且在地理区域和地区间存在显著差异。不同诊断代码中每10万人口的住院人数存在显著差异(p结论:确定了2010年至2021年澳大利亚脊髓灰质炎后住院人数的年度趋势。这项研究提高了对澳大利亚脊髓灰质炎后情况估计的准确性,并提供了有关澳大利亚患者住院地点的有用信息。这些估计具有国际可比性,可以为全世界的临床医生和卫生服务管理人员提供信息。
本文章由计算机程序翻译,如有差异,请以英文原文为准。

Post-polio hospital admissions in Australia over a 10-year period: An observational study and analysis of trends by month, location, and comparable conditions.

Post-polio hospital admissions in Australia over a 10-year period: An observational study and analysis of trends by month, location, and comparable conditions.

Post-polio hospital admissions in Australia over a 10-year period: An observational study and analysis of trends by month, location, and comparable conditions.

Post-polio hospital admissions in Australia over a 10-year period: An observational study and analysis of trends by month, location, and comparable conditions.

Background: There is currently no precise estimate of post-polio conditions in Australia. This observational study aimed to provide a summary of hospitalisations over a 10-year period in Australia, with a specific focus on annual, monthly, and regional trends, as well as a comparison with four similar neurological conditions.

Methods: A retrospective cohort study of late effects of polio and post-polio syndrome from 2011 to 2021. Primary data were obtained via a data-on-request process through the Australian Institute of Health and Welfare in 2022. Analysis was carried out according to Welch Analyses of Variance with Games-Howell post-Hoc tests using GraphPad PRISM and Stata Version 17.0.

Results: There was a statistically significant decrease in the monthly hospitalisations over the 10-year period and months according to seasonal trends, and significant differences across geographical regions and regionality. Significant differences existed between the number of hospitalisations per 100 000 population across diagnostic codes (p < 0.01).

Conclusions: Annual trends were identified from 2010 to 2021 for post-polio hospitalisations in Australia. This research improves the precision of estimates for post-polio conditions in Australia, and provides helpful information on where people are hospitalized in Australia. These estimates are internationally comparable and can inform clinicians and health service managers worldwide.

求助全文
通过发布文献求助,成功后即可免费获取论文全文。 去求助
来源期刊
自引率
0.00%
发文量
0
×
引用
GB/T 7714-2015
复制
MLA
复制
APA
复制
导出至
BibTeX EndNote RefMan NoteFirst NoteExpress
×
提示
您的信息不完整,为了账户安全,请先补充。
现在去补充
×
提示
您因"违规操作"
具体请查看互助需知
我知道了
×
提示
确定
请完成安全验证×
copy
已复制链接
快去分享给好友吧!
我知道了
右上角分享
点击右上角分享
0
联系我们:info@booksci.cn Book学术提供免费学术资源搜索服务,方便国内外学者检索中英文文献。致力于提供最便捷和优质的服务体验。 Copyright © 2023 布克学术 All rights reserved.
京ICP备2023020795号-1
ghs 京公网安备 11010802042870号
Book学术文献互助
Book学术文献互助群
群 号:604180095
Book学术官方微信