在以派姆单抗为基础的晚期非小细胞肺癌治疗期间同时暴露于苯二氮卓类药物:监测机构数据的倾向评分匹配分析

Q3 Medicine
Exploration of targeted anti-tumor therapy Pub Date : 2025-01-20 eCollection Date: 2025-01-01 DOI:10.37349/etat.2025.1002287
Fabrizio Nelli, Enzo Maria Ruggeri, Antonella Virtuoso, Diana Giannarelli, Armando Raso, Federica Natoni, Gloria Pessina, Daniele Remotti, Mario Giovanni Chilelli, Carlo Signorelli, Agnese Fabbri
{"title":"在以派姆单抗为基础的晚期非小细胞肺癌治疗期间同时暴露于苯二氮卓类药物:监测机构数据的倾向评分匹配分析","authors":"Fabrizio Nelli, Enzo Maria Ruggeri, Antonella Virtuoso, Diana Giannarelli, Armando Raso, Federica Natoni, Gloria Pessina, Daniele Remotti, Mario Giovanni Chilelli, Carlo Signorelli, Agnese Fabbri","doi":"10.37349/etat.2025.1002287","DOIUrl":null,"url":null,"abstract":"<p><strong>Aim: </strong>The interaction of concomitant benzodiazepine (BZD) exposure during immune checkpoint blockade has not been comprehensively investigated to date. This research aimed to determine the influence of BZD intake on the survival outcomes of patients with metastatic non-small-cell lung cancer (NSCLC) receiving pembrolizumab-based therapies.</p><p><strong>Methods: </strong>We included consecutive patients with advanced NSCLC who were given frontline pembrolizumab, whether as exclusive therapy or combined with platinum-based chemotherapy. The classification of BZD relied on the molecular composition, distinguishing between <i>N</i>-substituted and <i>N</i>-unsubstituted compounds.</p><p><strong>Results: </strong>During the time frame from April 2018 to May 2023, we enrolled 258 patients, 156 (60.5%) and 102 (39.5%) of whom received pembrolizumab alone or the combination regimen, respectively. We identified 108 (41.8%) exposed patients (BZD cohort) in comparison to all others (no-BZD cohort). After applying propensity-score matching, 108 cases were relevant for each cohort. After a median follow-up of 16.3 [95% confidence interval (CI) 13.1-19.7] months, univariate analysis revealed no significant differences in terms of progression-free survival (PFS) or overall survival (OS) between BZD cohorts. However, patients exposed to <i>N</i>-substituted compounds had significantly longer PFS and OS than those who did not take BZD. Conversely, patients exposed to <i>N</i>-unsubstituted compounds experienced significantly shortened OS. Multivariate testing showed that taking unspecified BZD had no impact on PFS or OS, while <i>N</i>-substituted BZD exposure correlated independently with longer PFS [hazard ratio (HR) 0.52 (95% CI 0.34-0.79); <i>P</i> = 0.002] and OS [HR 0.58 (95% CI 0.38-0.88); <i>P</i> < 0.001]. In contrast, <i>N</i>-unsubstituted BZD intake had worsening effects on OS [HR 1.92 (95% CI 1.20-3.06); <i>P</i> = 0.006].</p><p><strong>Conclusions: </strong>BZD exposure may impact the efficacy of immune checkpoint inhibitors in patients with advanced NSCLC. The specific composition may influence the choice among different compounds.</p>","PeriodicalId":73002,"journal":{"name":"Exploration of targeted anti-tumor therapy","volume":"6 ","pages":"1002287"},"PeriodicalIF":0.0000,"publicationDate":"2025-01-20","publicationTypes":"Journal Article","fieldsOfStudy":null,"isOpenAccess":false,"openAccessPdf":"https://www.ncbi.nlm.nih.gov/pmc/articles/PMC11886376/pdf/","citationCount":"0","resultStr":"{\"title\":\"Concomitant exposure to benzodiazepines during pembrolizumab-based therapy for advanced non-small-cell lung cancer: a propensity-score matched analysis of monitoring agency data.\",\"authors\":\"Fabrizio Nelli, Enzo Maria Ruggeri, Antonella Virtuoso, Diana Giannarelli, Armando Raso, Federica Natoni, Gloria Pessina, Daniele Remotti, Mario Giovanni Chilelli, Carlo Signorelli, Agnese Fabbri\",\"doi\":\"10.37349/etat.2025.1002287\",\"DOIUrl\":null,\"url\":null,\"abstract\":\"<p><strong>Aim: </strong>The interaction of concomitant benzodiazepine (BZD) exposure during immune checkpoint blockade has not been comprehensively investigated to date. This research aimed to determine the influence of BZD intake on the survival outcomes of patients with metastatic non-small-cell lung cancer (NSCLC) receiving pembrolizumab-based therapies.</p><p><strong>Methods: </strong>We included consecutive patients with advanced NSCLC who were given frontline pembrolizumab, whether as exclusive therapy or combined with platinum-based chemotherapy. The classification of BZD relied on the molecular composition, distinguishing between <i>N</i>-substituted and <i>N</i>-unsubstituted compounds.</p><p><strong>Results: </strong>During the time frame from April 2018 to May 2023, we enrolled 258 patients, 156 (60.5%) and 102 (39.5%) of whom received pembrolizumab alone or the combination regimen, respectively. We identified 108 (41.8%) exposed patients (BZD cohort) in comparison to all others (no-BZD cohort). After applying propensity-score matching, 108 cases were relevant for each cohort. After a median follow-up of 16.3 [95% confidence interval (CI) 13.1-19.7] months, univariate analysis revealed no significant differences in terms of progression-free survival (PFS) or overall survival (OS) between BZD cohorts. However, patients exposed to <i>N</i>-substituted compounds had significantly longer PFS and OS than those who did not take BZD. Conversely, patients exposed to <i>N</i>-unsubstituted compounds experienced significantly shortened OS. Multivariate testing showed that taking unspecified BZD had no impact on PFS or OS, while <i>N</i>-substituted BZD exposure correlated independently with longer PFS [hazard ratio (HR) 0.52 (95% CI 0.34-0.79); <i>P</i> = 0.002] and OS [HR 0.58 (95% CI 0.38-0.88); <i>P</i> < 0.001]. In contrast, <i>N</i>-unsubstituted BZD intake had worsening effects on OS [HR 1.92 (95% CI 1.20-3.06); <i>P</i> = 0.006].</p><p><strong>Conclusions: </strong>BZD exposure may impact the efficacy of immune checkpoint inhibitors in patients with advanced NSCLC. The specific composition may influence the choice among different compounds.</p>\",\"PeriodicalId\":73002,\"journal\":{\"name\":\"Exploration of targeted anti-tumor therapy\",\"volume\":\"6 \",\"pages\":\"1002287\"},\"PeriodicalIF\":0.0000,\"publicationDate\":\"2025-01-20\",\"publicationTypes\":\"Journal Article\",\"fieldsOfStudy\":null,\"isOpenAccess\":false,\"openAccessPdf\":\"https://www.ncbi.nlm.nih.gov/pmc/articles/PMC11886376/pdf/\",\"citationCount\":\"0\",\"resultStr\":null,\"platform\":\"Semanticscholar\",\"paperid\":null,\"PeriodicalName\":\"Exploration of targeted anti-tumor therapy\",\"FirstCategoryId\":\"1085\",\"ListUrlMain\":\"https://doi.org/10.37349/etat.2025.1002287\",\"RegionNum\":0,\"RegionCategory\":null,\"ArticlePicture\":[],\"TitleCN\":null,\"AbstractTextCN\":null,\"PMCID\":null,\"EPubDate\":\"2025/1/1 0:00:00\",\"PubModel\":\"eCollection\",\"JCR\":\"Q3\",\"JCRName\":\"Medicine\",\"Score\":null,\"Total\":0}","platform":"Semanticscholar","paperid":null,"PeriodicalName":"Exploration of targeted anti-tumor therapy","FirstCategoryId":"1085","ListUrlMain":"https://doi.org/10.37349/etat.2025.1002287","RegionNum":0,"RegionCategory":null,"ArticlePicture":[],"TitleCN":null,"AbstractTextCN":null,"PMCID":null,"EPubDate":"2025/1/1 0:00:00","PubModel":"eCollection","JCR":"Q3","JCRName":"Medicine","Score":null,"Total":0}
引用次数: 0

摘要

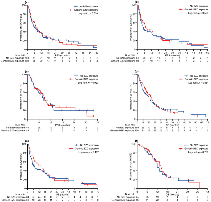
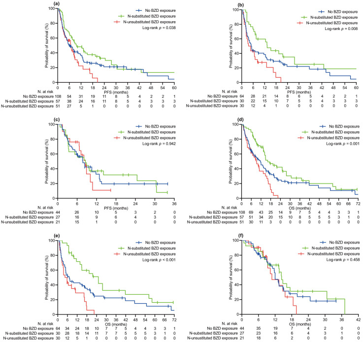
目的:在免疫检查点阻断期间,伴随苯二氮卓类药物(BZD)暴露的相互作用尚未得到全面的研究。本研究旨在确定BZD摄入量对接受基于派姆单抗治疗的转移性非小细胞肺癌(NSCLC)患者生存结果的影响。方法:我们纳入了连续接受一线派姆单抗治疗的晚期NSCLC患者,无论是单独治疗还是与铂基化疗联合治疗。BZD的分类依赖于分子组成,区分n取代和n非取代化合物。结果:在2018年4月至2023年5月期间,我们招募了258名患者,其中156名(60.5%)和102名(39.5%)分别接受了派姆单抗或联合方案。我们确定了108例(41.8%)暴露患者(BZD队列)与所有其他(无BZD队列)进行比较。应用倾向评分匹配后,每个队列有108例相关病例。在中位随访16.3个月[95%置信区间(CI) 13.1-19.7]个月后,单因素分析显示BZD队列在无进展生存期(PFS)或总生存期(OS)方面没有显著差异。然而,暴露于n取代化合物的患者的PFS和OS明显长于未服用BZD的患者。相反,暴露于n -非取代化合物的患者的OS明显缩短。多变量检验显示,服用未指定的BZD对PFS或OS没有影响,而n -取代BZD暴露与更长的PFS独立相关[风险比(HR) 0.52 (95% CI 0.34-0.79);P = 0.002]和OS [HR 0.58 (95% CI 0.38-0.88);P < 0.001]。相反,n -未替代BZD摄入对OS的影响恶化[HR 1.92 (95% CI 1.20-3.06);P = 0.006]。结论:BZD暴露可能影响晚期NSCLC患者免疫检查点抑制剂的疗效。具体的组成可能影响不同化合物之间的选择。
本文章由计算机程序翻译,如有差异,请以英文原文为准。

Concomitant exposure to benzodiazepines during pembrolizumab-based therapy for advanced non-small-cell lung cancer: a propensity-score matched analysis of monitoring agency data.

Concomitant exposure to benzodiazepines during pembrolizumab-based therapy for advanced non-small-cell lung cancer: a propensity-score matched analysis of monitoring agency data.

Concomitant exposure to benzodiazepines during pembrolizumab-based therapy for advanced non-small-cell lung cancer: a propensity-score matched analysis of monitoring agency data.

Aim: The interaction of concomitant benzodiazepine (BZD) exposure during immune checkpoint blockade has not been comprehensively investigated to date. This research aimed to determine the influence of BZD intake on the survival outcomes of patients with metastatic non-small-cell lung cancer (NSCLC) receiving pembrolizumab-based therapies.

Methods: We included consecutive patients with advanced NSCLC who were given frontline pembrolizumab, whether as exclusive therapy or combined with platinum-based chemotherapy. The classification of BZD relied on the molecular composition, distinguishing between N-substituted and N-unsubstituted compounds.

Results: During the time frame from April 2018 to May 2023, we enrolled 258 patients, 156 (60.5%) and 102 (39.5%) of whom received pembrolizumab alone or the combination regimen, respectively. We identified 108 (41.8%) exposed patients (BZD cohort) in comparison to all others (no-BZD cohort). After applying propensity-score matching, 108 cases were relevant for each cohort. After a median follow-up of 16.3 [95% confidence interval (CI) 13.1-19.7] months, univariate analysis revealed no significant differences in terms of progression-free survival (PFS) or overall survival (OS) between BZD cohorts. However, patients exposed to N-substituted compounds had significantly longer PFS and OS than those who did not take BZD. Conversely, patients exposed to N-unsubstituted compounds experienced significantly shortened OS. Multivariate testing showed that taking unspecified BZD had no impact on PFS or OS, while N-substituted BZD exposure correlated independently with longer PFS [hazard ratio (HR) 0.52 (95% CI 0.34-0.79); P = 0.002] and OS [HR 0.58 (95% CI 0.38-0.88); P < 0.001]. In contrast, N-unsubstituted BZD intake had worsening effects on OS [HR 1.92 (95% CI 1.20-3.06); P = 0.006].

Conclusions: BZD exposure may impact the efficacy of immune checkpoint inhibitors in patients with advanced NSCLC. The specific composition may influence the choice among different compounds.

求助全文
通过发布文献求助,成功后即可免费获取论文全文。 去求助
来源期刊
CiteScore
2.80
自引率
0.00%
发文量
0
审稿时长
13 weeks
×
引用
GB/T 7714-2015
复制
MLA
复制
APA
复制
导出至
BibTeX EndNote RefMan NoteFirst NoteExpress
×
提示
您的信息不完整,为了账户安全,请先补充。
现在去补充
×
提示
您因"违规操作"
具体请查看互助需知
我知道了
×
提示
确定
请完成安全验证×
copy
已复制链接
快去分享给好友吧!
我知道了
右上角分享
点击右上角分享
0
联系我们:info@booksci.cn Book学术提供免费学术资源搜索服务,方便国内外学者检索中英文文献。致力于提供最便捷和优质的服务体验。 Copyright © 2023 布克学术 All rights reserved.
京ICP备2023020795号-1
ghs 京公网安备 11010802042870号
Book学术文献互助
Book学术文献互助群
群 号:604180095
Book学术官方微信