女性尿失禁应使用哪一种尿失禁调查表?

IF 1.3 Q4 OBSTETRICS & GYNECOLOGY
Önder Tosun, Çetin Kılıççı, Pınar Kumru, Sultan Seren Karakuş, Reyyan Gökçen İşcan, Zeynep Tosun, Ali Aras, Çağla Yıldırım Varol, Andrea Tinelli
{"title":"女性尿失禁应使用哪一种尿失禁调查表?","authors":"Önder Tosun, Çetin Kılıççı, Pınar Kumru, Sultan Seren Karakuş, Reyyan Gökçen İşcan, Zeynep Tosun, Ali Aras, Çağla Yıldırım Varol, Andrea Tinelli","doi":"10.4274/tjod.galenos.2024.08566","DOIUrl":null,"url":null,"abstract":"<p><strong>Objective: </strong>To determine urinary incontinence (UI) inquiry forms to be used in the follow-up of incontinence according to UI type.</p><p><strong>Materials and methods: </strong>This prospective cohort study was conducted at the University of Health Science Hospital between 2020 and 2022. A total of 449 patients referred for urodynamic evaluation for UI were included herein, and clinical results regarding UI types were collected and reviewed. The validated urogenital distress inventory 6 (UDI-6), incontinence impact questionnaire (IIQ-7), and incontinence quality of life (I-QOL) questionnaires were completed by all patients. The demographic data of the patients, total questionnaire scores, and urodynamic results were compared between the groups according to UI type.</p><p><strong>Results: </strong>Forty-nine percent of the participants were in the menopausal period, and 41% required regular ped use. A total of 52.1% of patients experienced 5 years of UI. Stress incontinence was reported in 4.2% of patients, urge incontinence in 10%, stress-predominant mixed UI in 59.2%, and urge-predominant mixed UI in 24.7%. The mean ± standard deviation values were 59.62±20.62 for the UDI-6, 54.72±24.84 for the IIQ-7, 62.41±23.52 for the total I-QOL, 21.85±8.55 for the I-QOL limitation of behaviors subscale, 27.99±10.86 for the I-QOL psychological influence subscale, and 12.64±5.72 for the I-QOL social isolation subscale. A statistically significant difference was assessed between the urodynamics results and the UDI-6, IIQ-7, total I-QOL, I-QOL limitation of behaviors subscale, I-QOL psychological influence subscale, and I-QOL social isolation subscale scores (p<0.001 for all variables).</p><p><strong>Conclusion: </strong>In patients diagnosed with UI, when each of the 3 questionnaires for UI diagnosis was compared, the best inquiry questionnaire for the prediction of mixed-type UI was the UDI-6.</p>","PeriodicalId":45340,"journal":{"name":"Turkish Journal of Obstetrics and Gynecology","volume":"22 1","pages":"65-74"},"PeriodicalIF":1.3000,"publicationDate":"2025-03-10","publicationTypes":"Journal Article","fieldsOfStudy":null,"isOpenAccess":false,"openAccessPdf":"https://www.ncbi.nlm.nih.gov/pmc/articles/PMC11894773/pdf/","citationCount":"0","resultStr":"{\"title\":\"Which urinary incontinence inquiry form should be used in women with urinary incontinence?\",\"authors\":\"Önder Tosun, Çetin Kılıççı, Pınar Kumru, Sultan Seren Karakuş, Reyyan Gökçen İşcan, Zeynep Tosun, Ali Aras, Çağla Yıldırım Varol, Andrea Tinelli\",\"doi\":\"10.4274/tjod.galenos.2024.08566\",\"DOIUrl\":null,\"url\":null,\"abstract\":\"<p><strong>Objective: </strong>To determine urinary incontinence (UI) inquiry forms to be used in the follow-up of incontinence according to UI type.</p><p><strong>Materials and methods: </strong>This prospective cohort study was conducted at the University of Health Science Hospital between 2020 and 2022. A total of 449 patients referred for urodynamic evaluation for UI were included herein, and clinical results regarding UI types were collected and reviewed. The validated urogenital distress inventory 6 (UDI-6), incontinence impact questionnaire (IIQ-7), and incontinence quality of life (I-QOL) questionnaires were completed by all patients. The demographic data of the patients, total questionnaire scores, and urodynamic results were compared between the groups according to UI type.</p><p><strong>Results: </strong>Forty-nine percent of the participants were in the menopausal period, and 41% required regular ped use. A total of 52.1% of patients experienced 5 years of UI. Stress incontinence was reported in 4.2% of patients, urge incontinence in 10%, stress-predominant mixed UI in 59.2%, and urge-predominant mixed UI in 24.7%. The mean ± standard deviation values were 59.62±20.62 for the UDI-6, 54.72±24.84 for the IIQ-7, 62.41±23.52 for the total I-QOL, 21.85±8.55 for the I-QOL limitation of behaviors subscale, 27.99±10.86 for the I-QOL psychological influence subscale, and 12.64±5.72 for the I-QOL social isolation subscale. A statistically significant difference was assessed between the urodynamics results and the UDI-6, IIQ-7, total I-QOL, I-QOL limitation of behaviors subscale, I-QOL psychological influence subscale, and I-QOL social isolation subscale scores (p<0.001 for all variables).</p><p><strong>Conclusion: </strong>In patients diagnosed with UI, when each of the 3 questionnaires for UI diagnosis was compared, the best inquiry questionnaire for the prediction of mixed-type UI was the UDI-6.</p>\",\"PeriodicalId\":45340,\"journal\":{\"name\":\"Turkish Journal of Obstetrics and Gynecology\",\"volume\":\"22 1\",\"pages\":\"65-74\"},\"PeriodicalIF\":1.3000,\"publicationDate\":\"2025-03-10\",\"publicationTypes\":\"Journal Article\",\"fieldsOfStudy\":null,\"isOpenAccess\":false,\"openAccessPdf\":\"https://www.ncbi.nlm.nih.gov/pmc/articles/PMC11894773/pdf/\",\"citationCount\":\"0\",\"resultStr\":null,\"platform\":\"Semanticscholar\",\"paperid\":null,\"PeriodicalName\":\"Turkish Journal of Obstetrics and Gynecology\",\"FirstCategoryId\":\"1085\",\"ListUrlMain\":\"https://doi.org/10.4274/tjod.galenos.2024.08566\",\"RegionNum\":0,\"RegionCategory\":null,\"ArticlePicture\":[],\"TitleCN\":null,\"AbstractTextCN\":null,\"PMCID\":null,\"EPubDate\":\"\",\"PubModel\":\"\",\"JCR\":\"Q4\",\"JCRName\":\"OBSTETRICS & GYNECOLOGY\",\"Score\":null,\"Total\":0}","platform":"Semanticscholar","paperid":null,"PeriodicalName":"Turkish Journal of Obstetrics and Gynecology","FirstCategoryId":"1085","ListUrlMain":"https://doi.org/10.4274/tjod.galenos.2024.08566","RegionNum":0,"RegionCategory":null,"ArticlePicture":[],"TitleCN":null,"AbstractTextCN":null,"PMCID":null,"EPubDate":"","PubModel":"","JCR":"Q4","JCRName":"OBSTETRICS & GYNECOLOGY","Score":null,"Total":0}
引用次数: 0

摘要

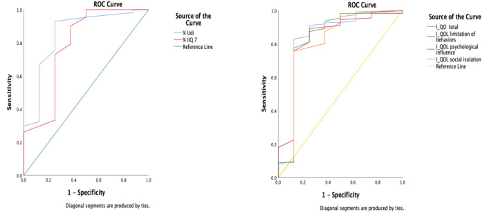
目的:根据尿失禁类型确定尿失禁(UI)问询表用于尿失禁随访。材料与方法:本前瞻性队列研究于2020 - 2022年在中国卫生科学大学附属医院进行。本研究共纳入449例转诊进行尿动力学评估的患者,收集并回顾尿失禁类型的临床结果。所有患者均完成经验证的泌尿生殖窘迫问卷6 (UDI-6)、尿失禁影响问卷(IIQ-7)和尿失禁生活质量问卷(I-QOL)。根据尿失禁类型比较两组患者人口学资料、问卷总得分及尿动力学结果。结果:49%的参与者处于绝经期,41%的参与者需要定期使用ped。共有52.1%的患者经历了5年的尿失禁。4.2%的患者出现应激性尿失禁,10%的患者出现急迫性尿失禁,59.2%的患者出现应激性混合性尿失禁,24.7%的患者出现急迫性尿失禁。平均±标准差值分别为:UDI-6 59.62±20.62、IIQ-7 54.72±24.84、总I-QOL 62.41±23.52、行为限制I-QOL 21.85±8.55、心理影响I-QOL 27.99±10.86、社会隔离I-QOL 12.64±5.72。尿动力学结果与UDI-6、IIQ-7、总I-QOL、行为子量表I-QOL限制、I-QOL心理影响子量表、I-QOL社会隔离子量表得分比较,差异有统计学意义(p)。结论:在诊断为尿失禁的患者中,在比较3份诊断尿失禁问卷时,预测混合型尿失禁的最佳询问问卷为UDI-6。
本文章由计算机程序翻译,如有差异,请以英文原文为准。

Which urinary incontinence inquiry form should be used in women with urinary incontinence?

Which urinary incontinence inquiry form should be used in women with urinary incontinence?

Which urinary incontinence inquiry form should be used in women with urinary incontinence?

Objective: To determine urinary incontinence (UI) inquiry forms to be used in the follow-up of incontinence according to UI type.

Materials and methods: This prospective cohort study was conducted at the University of Health Science Hospital between 2020 and 2022. A total of 449 patients referred for urodynamic evaluation for UI were included herein, and clinical results regarding UI types were collected and reviewed. The validated urogenital distress inventory 6 (UDI-6), incontinence impact questionnaire (IIQ-7), and incontinence quality of life (I-QOL) questionnaires were completed by all patients. The demographic data of the patients, total questionnaire scores, and urodynamic results were compared between the groups according to UI type.

Results: Forty-nine percent of the participants were in the menopausal period, and 41% required regular ped use. A total of 52.1% of patients experienced 5 years of UI. Stress incontinence was reported in 4.2% of patients, urge incontinence in 10%, stress-predominant mixed UI in 59.2%, and urge-predominant mixed UI in 24.7%. The mean ± standard deviation values were 59.62±20.62 for the UDI-6, 54.72±24.84 for the IIQ-7, 62.41±23.52 for the total I-QOL, 21.85±8.55 for the I-QOL limitation of behaviors subscale, 27.99±10.86 for the I-QOL psychological influence subscale, and 12.64±5.72 for the I-QOL social isolation subscale. A statistically significant difference was assessed between the urodynamics results and the UDI-6, IIQ-7, total I-QOL, I-QOL limitation of behaviors subscale, I-QOL psychological influence subscale, and I-QOL social isolation subscale scores (p<0.001 for all variables).

Conclusion: In patients diagnosed with UI, when each of the 3 questionnaires for UI diagnosis was compared, the best inquiry questionnaire for the prediction of mixed-type UI was the UDI-6.

求助全文
通过发布文献求助,成功后即可免费获取论文全文。 去求助
来源期刊
CiteScore
2.10
自引率
0.00%
发文量
1
×
引用
GB/T 7714-2015
复制
MLA
复制
APA
复制
导出至
BibTeX EndNote RefMan NoteFirst NoteExpress
×
提示
您的信息不完整,为了账户安全,请先补充。
现在去补充
×
提示
您因"违规操作"
具体请查看互助需知
我知道了
×
提示
确定
请完成安全验证×
copy
已复制链接
快去分享给好友吧!
我知道了
右上角分享
点击右上角分享
0
联系我们:info@booksci.cn Book学术提供免费学术资源搜索服务,方便国内外学者检索中英文文献。致力于提供最便捷和优质的服务体验。 Copyright © 2023 布克学术 All rights reserved.
京ICP备2023020795号-1
ghs 京公网安备 11010802042870号
Book学术文献互助
Book学术文献互助群
群 号:604180095
Book学术官方微信