成人发酵乳制品摄入和腹部肥胖的影响:队列研究的系统回顾和剂量反应荟萃分析。

IF 2.8 3区 医学 Q2 PSYCHIATRY
Fatemeh Sadat Hashemi Javaheri, Milad Nasiri Jounaghani, Amirhossein Sahebkar, Mostafa Norouzzadeh, Pedram Delgarm, Hossein Shahinfar, Artemiss Mirdar Harijani
{"title":"成人发酵乳制品摄入和腹部肥胖的影响:队列研究的系统回顾和剂量反应荟萃分析。","authors":"Fatemeh Sadat Hashemi Javaheri, Milad Nasiri Jounaghani, Amirhossein Sahebkar, Mostafa Norouzzadeh, Pedram Delgarm, Hossein Shahinfar, Artemiss Mirdar Harijani","doi":"10.1007/s40519-025-01733-4","DOIUrl":null,"url":null,"abstract":"<p><strong>Objectives: </strong>Diverse analysis has analyzed the potential efficacy of consuming foods created through the fermentation of dairy in mitigating abdominal obesity. The current meta-analysis aims to determine the impacts of consuming fermented dairy foods and the occurrence of abdominal obesity.</p><p><strong>Methods: </strong>Web of Science, PubMed, and Scopus databases were queried for records published before January 13, 2023, to investigate proportionate cohort studies. We employed a random-effects model to appraise the relative risk (RR); effect size was assessed through the 95% confidence interval (CI). Additionally, a one-stage dose-response analysis was executed, quality assessment was conducted through the ROBINS-E tool.</p><p><strong>Results: </strong>Consequently, five publications, comprising 41,430 cases, were included as selected studies. The pooled effect shows an effect on the abdominal obesity risk; however, the effect was not significant. Subgroup analyses revealed a potential risk reduction effect in high- and low-fat and fermented dairy productions, although the findings were not statistically significant. Furthermore, the dose-response analysis indicated a linear decrease in risk with increasing consumption of high-fat fermented yogurt, with an HR of 0.84 (95% CI 0.71, 0.99) by 8 servings/week and an HR of 0.37 (95% CI 0.19, 0.71) by 21 servings/week.</p><p><strong>Conclusion: </strong>These findings imply the potential effectiveness of fermented dairy products, particularly high-fat yogurt, in diminishing the obesity risk. However, further research addressing the limitations of previous studies is essential to confirm these results. Evidence-based medicine level: No level of evidence: Level of evidence III. PROSPERO registration number: CRD42023387538 ( http://www.crd.york.ac.uk/PROSPERO ).</p>","PeriodicalId":11391,"journal":{"name":"Eating and Weight Disorders - Studies on Anorexia, Bulimia and Obesity","volume":"30 1","pages":"23"},"PeriodicalIF":2.8000,"publicationDate":"2025-03-07","publicationTypes":"Journal Article","fieldsOfStudy":null,"isOpenAccess":false,"openAccessPdf":"https://www.ncbi.nlm.nih.gov/pmc/articles/PMC11889060/pdf/","citationCount":"0","resultStr":"{\"title\":\"The effect of fermented dairy intake and abdominal obesity in adults: a systematic review and dose-response meta-analysis of cohort studies.\",\"authors\":\"Fatemeh Sadat Hashemi Javaheri, Milad Nasiri Jounaghani, Amirhossein Sahebkar, Mostafa Norouzzadeh, Pedram Delgarm, Hossein Shahinfar, Artemiss Mirdar Harijani\",\"doi\":\"10.1007/s40519-025-01733-4\",\"DOIUrl\":null,\"url\":null,\"abstract\":\"<p><strong>Objectives: </strong>Diverse analysis has analyzed the potential efficacy of consuming foods created through the fermentation of dairy in mitigating abdominal obesity. The current meta-analysis aims to determine the impacts of consuming fermented dairy foods and the occurrence of abdominal obesity.</p><p><strong>Methods: </strong>Web of Science, PubMed, and Scopus databases were queried for records published before January 13, 2023, to investigate proportionate cohort studies. We employed a random-effects model to appraise the relative risk (RR); effect size was assessed through the 95% confidence interval (CI). Additionally, a one-stage dose-response analysis was executed, quality assessment was conducted through the ROBINS-E tool.</p><p><strong>Results: </strong>Consequently, five publications, comprising 41,430 cases, were included as selected studies. The pooled effect shows an effect on the abdominal obesity risk; however, the effect was not significant. Subgroup analyses revealed a potential risk reduction effect in high- and low-fat and fermented dairy productions, although the findings were not statistically significant. Furthermore, the dose-response analysis indicated a linear decrease in risk with increasing consumption of high-fat fermented yogurt, with an HR of 0.84 (95% CI 0.71, 0.99) by 8 servings/week and an HR of 0.37 (95% CI 0.19, 0.71) by 21 servings/week.</p><p><strong>Conclusion: </strong>These findings imply the potential effectiveness of fermented dairy products, particularly high-fat yogurt, in diminishing the obesity risk. However, further research addressing the limitations of previous studies is essential to confirm these results. Evidence-based medicine level: No level of evidence: Level of evidence III. PROSPERO registration number: CRD42023387538 ( http://www.crd.york.ac.uk/PROSPERO ).</p>\",\"PeriodicalId\":11391,\"journal\":{\"name\":\"Eating and Weight Disorders - Studies on Anorexia, Bulimia and Obesity\",\"volume\":\"30 1\",\"pages\":\"23\"},\"PeriodicalIF\":2.8000,\"publicationDate\":\"2025-03-07\",\"publicationTypes\":\"Journal Article\",\"fieldsOfStudy\":null,\"isOpenAccess\":false,\"openAccessPdf\":\"https://www.ncbi.nlm.nih.gov/pmc/articles/PMC11889060/pdf/\",\"citationCount\":\"0\",\"resultStr\":null,\"platform\":\"Semanticscholar\",\"paperid\":null,\"PeriodicalName\":\"Eating and Weight Disorders - Studies on Anorexia, Bulimia and Obesity\",\"FirstCategoryId\":\"3\",\"ListUrlMain\":\"https://doi.org/10.1007/s40519-025-01733-4\",\"RegionNum\":3,\"RegionCategory\":\"医学\",\"ArticlePicture\":[],\"TitleCN\":null,\"AbstractTextCN\":null,\"PMCID\":null,\"EPubDate\":\"\",\"PubModel\":\"\",\"JCR\":\"Q2\",\"JCRName\":\"PSYCHIATRY\",\"Score\":null,\"Total\":0}","platform":"Semanticscholar","paperid":null,"PeriodicalName":"Eating and Weight Disorders - Studies on Anorexia, Bulimia and Obesity","FirstCategoryId":"3","ListUrlMain":"https://doi.org/10.1007/s40519-025-01733-4","RegionNum":3,"RegionCategory":"医学","ArticlePicture":[],"TitleCN":null,"AbstractTextCN":null,"PMCID":null,"EPubDate":"","PubModel":"","JCR":"Q2","JCRName":"PSYCHIATRY","Score":null,"Total":0}
引用次数: 0

摘要

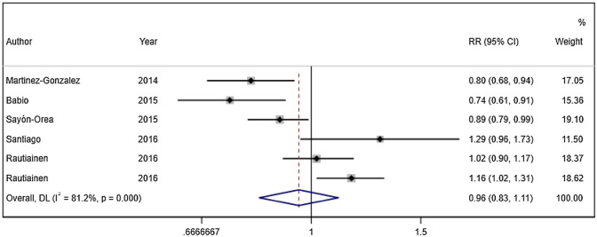
目的:多种分析分析了食用乳制品发酵食品在减轻腹部肥胖方面的潜在功效。当前的荟萃分析旨在确定食用发酵乳制品和腹部肥胖发生的影响。方法:查询Web of Science、PubMed和Scopus数据库中2023年1月13日之前发表的记录,调查比例队列研究。我们采用随机效应模型评估相对风险(RR);通过95%置信区间(CI)评估效应量。此外,进行一期剂量-反应分析,通过ROBINS-E工具进行质量评价。结果:因此,包括41,430例病例的5份出版物被纳入精选研究。综合效应显示了对腹部肥胖风险的影响;然而,效果并不显著。亚组分析显示,高脂、低脂和发酵乳制品具有潜在的降低风险作用,尽管研究结果在统计上并不显著。此外,剂量-反应分析表明,随着高脂肪发酵酸奶消费量的增加,风险呈线性下降,8份/周时风险比为0.84 (95% CI 0.71, 0.99), 21份/周时风险比为0.37 (95% CI 0.19, 0.71)。结论:这些发现表明,发酵乳制品,特别是高脂肪酸奶,在降低肥胖风险方面具有潜在的有效性。然而,为了证实这些结果,进一步研究解决先前研究的局限性是必不可少的。循证医学等级:无证据等级:证据等级III。普洛斯彼罗注册号:CRD42023387538 (http://www.crd.york.ac.uk/PROSPERO)。
本文章由计算机程序翻译,如有差异,请以英文原文为准。

The effect of fermented dairy intake and abdominal obesity in adults: a systematic review and dose-response meta-analysis of cohort studies.

The effect of fermented dairy intake and abdominal obesity in adults: a systematic review and dose-response meta-analysis of cohort studies.

The effect of fermented dairy intake and abdominal obesity in adults: a systematic review and dose-response meta-analysis of cohort studies.

The effect of fermented dairy intake and abdominal obesity in adults: a systematic review and dose-response meta-analysis of cohort studies.

Objectives: Diverse analysis has analyzed the potential efficacy of consuming foods created through the fermentation of dairy in mitigating abdominal obesity. The current meta-analysis aims to determine the impacts of consuming fermented dairy foods and the occurrence of abdominal obesity.

Methods: Web of Science, PubMed, and Scopus databases were queried for records published before January 13, 2023, to investigate proportionate cohort studies. We employed a random-effects model to appraise the relative risk (RR); effect size was assessed through the 95% confidence interval (CI). Additionally, a one-stage dose-response analysis was executed, quality assessment was conducted through the ROBINS-E tool.

Results: Consequently, five publications, comprising 41,430 cases, were included as selected studies. The pooled effect shows an effect on the abdominal obesity risk; however, the effect was not significant. Subgroup analyses revealed a potential risk reduction effect in high- and low-fat and fermented dairy productions, although the findings were not statistically significant. Furthermore, the dose-response analysis indicated a linear decrease in risk with increasing consumption of high-fat fermented yogurt, with an HR of 0.84 (95% CI 0.71, 0.99) by 8 servings/week and an HR of 0.37 (95% CI 0.19, 0.71) by 21 servings/week.

Conclusion: These findings imply the potential effectiveness of fermented dairy products, particularly high-fat yogurt, in diminishing the obesity risk. However, further research addressing the limitations of previous studies is essential to confirm these results. Evidence-based medicine level: No level of evidence: Level of evidence III. PROSPERO registration number: CRD42023387538 ( http://www.crd.york.ac.uk/PROSPERO ).

求助全文
通过发布文献求助,成功后即可免费获取论文全文。 去求助
来源期刊
CiteScore
6.50
自引率
10.30%
发文量
170
审稿时长
>12 weeks
期刊介绍: Eating and Weight Disorders - Studies on Anorexia, Bulimia and Obesity is a scientific journal whose main purpose is to create an international forum devoted to the several sectors of eating disorders and obesity and the significant relations between them. The journal publishes basic research, clinical and theoretical articles on eating disorders and weight-related problems: anorexia nervosa, bulimia nervosa, subthreshold eating disorders, obesity, atypical patterns of eating behaviour and body weight regulation in clinical and non-clinical populations.
×
引用
GB/T 7714-2015
复制
MLA
复制
APA
复制
导出至
BibTeX EndNote RefMan NoteFirst NoteExpress
×
提示
您的信息不完整,为了账户安全,请先补充。
现在去补充
×
提示
您因"违规操作"
具体请查看互助需知
我知道了
×
提示
确定
请完成安全验证×
copy
已复制链接
快去分享给好友吧!
我知道了
右上角分享
点击右上角分享
0
联系我们:info@booksci.cn Book学术提供免费学术资源搜索服务,方便国内外学者检索中英文文献。致力于提供最便捷和优质的服务体验。 Copyright © 2023 布克学术 All rights reserved.
京ICP备2023020795号-1
ghs 京公网安备 11010802042870号
Book学术文献互助
Book学术文献互助群
群 号:604180095
Book学术官方微信