预测创伤后呼吸衰竭患者生存的Nomogram:一项使用MIMIC-IV数据库的回顾性研究。

IF 3.4 Q2 HEALTH CARE SCIENCES & SERVICES
Drug, Healthcare and Patient Safety Pub Date : 2025-03-05 eCollection Date: 2025-01-01 DOI:10.2147/DHPS.S497413
Peihan Li, Xuejuan Wang, Li Li
{"title":"预测创伤后呼吸衰竭患者生存的Nomogram:一项使用MIMIC-IV数据库的回顾性研究。","authors":"Peihan Li, Xuejuan Wang, Li Li","doi":"10.2147/DHPS.S497413","DOIUrl":null,"url":null,"abstract":"<p><strong>Background: </strong>Respiratory failure (RF) after trauma is one of the major causes of patients being admitted to the ICU and leads to a high mortality rate. However, we cannot predict mortality rates based on patients' various indicators. The aim of this study is to develop and validate a nomogram for predicting mortality in patients in the intensive care unit (ICU).</p><p><strong>Methods: </strong>A total of 377 patients from the Medical Information Mart for Intensive Care (MIMIC)-IV database were included in the study. All participants were systematically divided into a development cohort for modelling and a validation cohort for internal validation at a ratio of 7:3. Following patient admission, a comprehensive collection of 30 clinical indicators was performed. The least absolute shrinkage and selection operator (LASSO) regression technique was employed to discern pivotal risk factors. A multivariate Cox regression model was established, and a receiver operating curve (ROC) was plotted, and the area under the curve (AUC) was calculated. Furthermore, the decision curve analysis (DCA) was performed, and the nomogram was compared with the acute physiology score III (APSIII) and Oxford acute severity of illness score (OASIS) scoring systems to assess the net clinical benefit.</p><p><strong>Results: </strong>The indicators included in our model were age, OASIS score, SAPS III score, respiratory rate (RR), blood urea nitrogen (BUN) and hematocrit. The results demonstrated that our model yielded satisfied performance on the development cohort and on internal validation. The calibration curve underscored a robust concordance between predicted and actual outcomes. The DCA showed a superior clinical utility of our model in contrast to previously reported scoring systems.</p><p><strong>Conclusion: </strong>In summary, we devised a nomogram for predicting mortality during the ICU stay of RF patients following trauma and established a prediction model that facilitates clinical decision making. However, external validation is needed in the future.</p>","PeriodicalId":11377,"journal":{"name":"Drug, Healthcare and Patient Safety","volume":"17 ","pages":"63-74"},"PeriodicalIF":3.4000,"publicationDate":"2025-03-05","publicationTypes":"Journal Article","fieldsOfStudy":null,"isOpenAccess":false,"openAccessPdf":"https://www.ncbi.nlm.nih.gov/pmc/articles/PMC11890444/pdf/","citationCount":"0","resultStr":"{\"title\":\"A Nomogram for Predicting Survival in Patients with Respiratory Failure Following Trauma: A Retrospective Study Using the MIMIC-IV Database.\",\"authors\":\"Peihan Li, Xuejuan Wang, Li Li\",\"doi\":\"10.2147/DHPS.S497413\",\"DOIUrl\":null,\"url\":null,\"abstract\":\"<p><strong>Background: </strong>Respiratory failure (RF) after trauma is one of the major causes of patients being admitted to the ICU and leads to a high mortality rate. However, we cannot predict mortality rates based on patients' various indicators. The aim of this study is to develop and validate a nomogram for predicting mortality in patients in the intensive care unit (ICU).</p><p><strong>Methods: </strong>A total of 377 patients from the Medical Information Mart for Intensive Care (MIMIC)-IV database were included in the study. All participants were systematically divided into a development cohort for modelling and a validation cohort for internal validation at a ratio of 7:3. Following patient admission, a comprehensive collection of 30 clinical indicators was performed. The least absolute shrinkage and selection operator (LASSO) regression technique was employed to discern pivotal risk factors. A multivariate Cox regression model was established, and a receiver operating curve (ROC) was plotted, and the area under the curve (AUC) was calculated. Furthermore, the decision curve analysis (DCA) was performed, and the nomogram was compared with the acute physiology score III (APSIII) and Oxford acute severity of illness score (OASIS) scoring systems to assess the net clinical benefit.</p><p><strong>Results: </strong>The indicators included in our model were age, OASIS score, SAPS III score, respiratory rate (RR), blood urea nitrogen (BUN) and hematocrit. The results demonstrated that our model yielded satisfied performance on the development cohort and on internal validation. The calibration curve underscored a robust concordance between predicted and actual outcomes. The DCA showed a superior clinical utility of our model in contrast to previously reported scoring systems.</p><p><strong>Conclusion: </strong>In summary, we devised a nomogram for predicting mortality during the ICU stay of RF patients following trauma and established a prediction model that facilitates clinical decision making. However, external validation is needed in the future.</p>\",\"PeriodicalId\":11377,\"journal\":{\"name\":\"Drug, Healthcare and Patient Safety\",\"volume\":\"17 \",\"pages\":\"63-74\"},\"PeriodicalIF\":3.4000,\"publicationDate\":\"2025-03-05\",\"publicationTypes\":\"Journal Article\",\"fieldsOfStudy\":null,\"isOpenAccess\":false,\"openAccessPdf\":\"https://www.ncbi.nlm.nih.gov/pmc/articles/PMC11890444/pdf/\",\"citationCount\":\"0\",\"resultStr\":null,\"platform\":\"Semanticscholar\",\"paperid\":null,\"PeriodicalName\":\"Drug, Healthcare and Patient Safety\",\"FirstCategoryId\":\"1085\",\"ListUrlMain\":\"https://doi.org/10.2147/DHPS.S497413\",\"RegionNum\":0,\"RegionCategory\":null,\"ArticlePicture\":[],\"TitleCN\":null,\"AbstractTextCN\":null,\"PMCID\":null,\"EPubDate\":\"2025/1/1 0:00:00\",\"PubModel\":\"eCollection\",\"JCR\":\"Q2\",\"JCRName\":\"HEALTH CARE SCIENCES & SERVICES\",\"Score\":null,\"Total\":0}","platform":"Semanticscholar","paperid":null,"PeriodicalName":"Drug, Healthcare and Patient Safety","FirstCategoryId":"1085","ListUrlMain":"https://doi.org/10.2147/DHPS.S497413","RegionNum":0,"RegionCategory":null,"ArticlePicture":[],"TitleCN":null,"AbstractTextCN":null,"PMCID":null,"EPubDate":"2025/1/1 0:00:00","PubModel":"eCollection","JCR":"Q2","JCRName":"HEALTH CARE SCIENCES & SERVICES","Score":null,"Total":0}
引用次数: 0

摘要

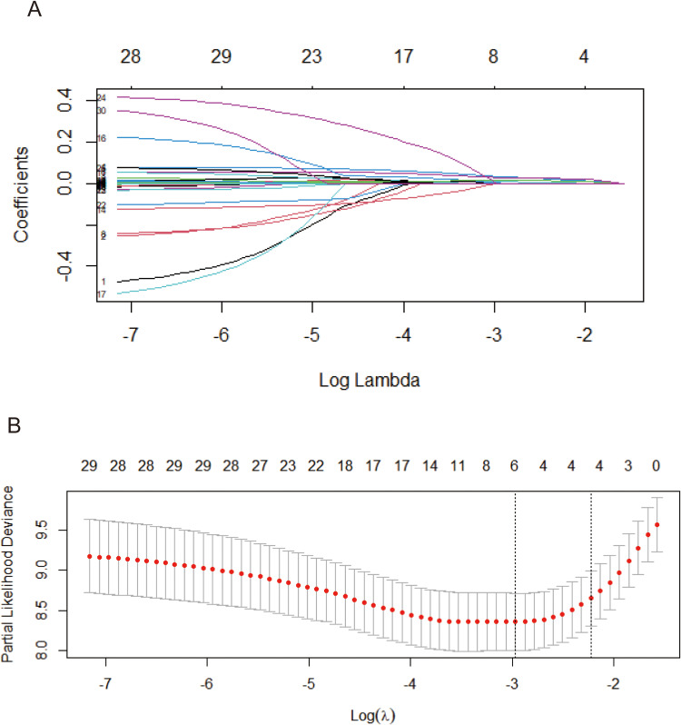
背景:创伤后呼吸衰竭(RF)是患者入住ICU的主要原因之一,并导致高死亡率。然而,我们不能根据患者的各种指标来预测死亡率。本研究的目的是开发和验证一种预测重症监护病房(ICU)患者死亡率的nomogram。方法:从重症监护医学信息市场(MIMIC)-IV数据库中共纳入377例患者。所有参与者按7:3的比例被系统地分为用于建模的开发队列和用于内部验证的验证队列。患者入院后,进行了30项临床指标的综合收集。采用最小绝对收缩和选择算子(LASSO)回归技术识别关键危险因素。建立多变量Cox回归模型,绘制受试者工作曲线(ROC),计算曲线下面积(AUC)。此外,进行决策曲线分析(DCA),并将nomogram与急性生理评分III (APSIII)和牛津急性疾病严重程度评分(OASIS)评分系统进行比较,以评估净临床获益。结果:模型纳入的指标为年龄、OASIS评分、SAPS评分、呼吸频率(RR)、血尿素氮(BUN)、红细胞压积(hematocrit)。结果表明,我们的模型在开发队列和内部验证中产生了令人满意的性能。校准曲线强调了预测结果与实际结果之间的一致性。与先前报道的评分系统相比,DCA显示了我们模型的优越临床效用。结论:综上所述,我们设计了一个预测创伤后RF患者ICU住院期间死亡率的nomogram,并建立了一个预测模型,便于临床决策。但是,将来需要外部验证。
本文章由计算机程序翻译,如有差异,请以英文原文为准。

A Nomogram for Predicting Survival in Patients with Respiratory Failure Following Trauma: A Retrospective Study Using the MIMIC-IV Database.

A Nomogram for Predicting Survival in Patients with Respiratory Failure Following Trauma: A Retrospective Study Using the MIMIC-IV Database.

A Nomogram for Predicting Survival in Patients with Respiratory Failure Following Trauma: A Retrospective Study Using the MIMIC-IV Database.

A Nomogram for Predicting Survival in Patients with Respiratory Failure Following Trauma: A Retrospective Study Using the MIMIC-IV Database.

Background: Respiratory failure (RF) after trauma is one of the major causes of patients being admitted to the ICU and leads to a high mortality rate. However, we cannot predict mortality rates based on patients' various indicators. The aim of this study is to develop and validate a nomogram for predicting mortality in patients in the intensive care unit (ICU).

Methods: A total of 377 patients from the Medical Information Mart for Intensive Care (MIMIC)-IV database were included in the study. All participants were systematically divided into a development cohort for modelling and a validation cohort for internal validation at a ratio of 7:3. Following patient admission, a comprehensive collection of 30 clinical indicators was performed. The least absolute shrinkage and selection operator (LASSO) regression technique was employed to discern pivotal risk factors. A multivariate Cox regression model was established, and a receiver operating curve (ROC) was plotted, and the area under the curve (AUC) was calculated. Furthermore, the decision curve analysis (DCA) was performed, and the nomogram was compared with the acute physiology score III (APSIII) and Oxford acute severity of illness score (OASIS) scoring systems to assess the net clinical benefit.

Results: The indicators included in our model were age, OASIS score, SAPS III score, respiratory rate (RR), blood urea nitrogen (BUN) and hematocrit. The results demonstrated that our model yielded satisfied performance on the development cohort and on internal validation. The calibration curve underscored a robust concordance between predicted and actual outcomes. The DCA showed a superior clinical utility of our model in contrast to previously reported scoring systems.

Conclusion: In summary, we devised a nomogram for predicting mortality during the ICU stay of RF patients following trauma and established a prediction model that facilitates clinical decision making. However, external validation is needed in the future.

求助全文
通过发布文献求助,成功后即可免费获取论文全文。 去求助
来源期刊
Drug, Healthcare and Patient Safety
Drug, Healthcare and Patient Safety HEALTH CARE SCIENCES & SERVICES-
CiteScore
4.10
自引率
0.00%
发文量
24
审稿时长
16 weeks
×
引用
GB/T 7714-2015
复制
MLA
复制
APA
复制
导出至
BibTeX EndNote RefMan NoteFirst NoteExpress
×
提示
您的信息不完整,为了账户安全,请先补充。
现在去补充
×
提示
您因"违规操作"
具体请查看互助需知
我知道了
×
提示
确定
请完成安全验证×
copy
已复制链接
快去分享给好友吧!
我知道了
右上角分享
点击右上角分享
0
联系我们:info@booksci.cn Book学术提供免费学术资源搜索服务,方便国内外学者检索中英文文献。致力于提供最便捷和优质的服务体验。 Copyright © 2023 布克学术 All rights reserved.
京ICP备2023020795号-1
ghs 京公网安备 11010802042870号
Book学术文献互助
Book学术文献互助群
群 号:604180095
Book学术官方微信