PM2.5成分暴露与妊娠早期母体循环同型半胱氨酸的关系。

IF 5.3 2区 环境科学与生态学 Q1 ENVIRONMENTAL SCIENCES
Xuesong Li, Mingyue Ran, Mengyuan Wang, Ao Liu, Bin Qiao, Bin Han, Jianmei Wang, Zhipeng Bai, Yujuan Zhang
{"title":"PM2.5成分暴露与妊娠早期母体循环同型半胱氨酸的关系。","authors":"Xuesong Li, Mingyue Ran, Mengyuan Wang, Ao Liu, Bin Qiao, Bin Han, Jianmei Wang, Zhipeng Bai, Yujuan Zhang","doi":"10.1186/s12940-025-01160-z","DOIUrl":null,"url":null,"abstract":"<p><strong>Background: </strong>Elevated homocysteine (Hcy) is a pathogenic mechanism of adverse pregnancy outcomes and PM<sub>2.5</sub>-induced cardiovascular diseases. We investigated the associations of fine particulate matter (PM<sub>2.5</sub>) and chemical constituent exposures with maternal circulatory Hcy in early pregnancy.</p><p><strong>Methods: </strong>Serum Hcy and 5-methyltetrahydrofolate in 324 women with pregnancy (162 normal early pregnancy [NEP] and 162 early pregnancy loss [EPL]) were measured by ultra-performance liquid chromatography-tandem triple quadrupole mass spectrometry. Daily exposures to PM<sub>2.5</sub> and constituents (black carbon [BC], organic matter, nitrate, ammonium, and sulfate) were accessed using data of Tracking Air Pollution in China platform. Nonlinear and linear associations of average pollutant exposures during the post-conception period with serum Hcy were estimated using generalized additive models and multivariable linear regression models, respectively. Weekly cumulative and distributed lag associations between pollutant exposures within three months before serum collection and Hcy were analyzed by distributed lag nonlinear models combined with multivariable linear regression models. Sensitivity analyses were conducted using constituent residuals instead of constituent concentrations.</p><p><strong>Results: </strong>Three-month PM<sub>2.5</sub> and the five constituent exposures were associated with elevated serum Hcy in all participants, EPL group, and NEP group, with 3-12 weeks before serum collection being the susceptible exposure time windows. Pollutants-related Hcy were generally higher in EPL group than in NEP group. Higher post-conception PM<sub>2.5</sub>, BC, and sulfate exposures increased serum Hcy in lower but not in higher 5-methyltetrahydrofolate subgroup. Sulfate was the highest risk constituent with residual-related increased Hcy. BC residuals of both post-conception and three-month periods increased Hcy in EPL group but not in NEP group.</p><p><strong>Conclusions: </strong>Maternal circulatory Hcy in early pregnancy increased with PM<sub>2.5</sub> and constituent exposures, with sulfate being the highest risk constituent. BC-related increased Hcy may induce EPL.</p><p><strong>Trial registration: </strong>The study protocol was registered for clinical trials (ChiCTR1900028619) on December 29, 2019.</p>","PeriodicalId":11686,"journal":{"name":"Environmental Health","volume":"24 1","pages":"7"},"PeriodicalIF":5.3000,"publicationDate":"2025-03-07","publicationTypes":"Journal Article","fieldsOfStudy":null,"isOpenAccess":false,"openAccessPdf":"https://www.ncbi.nlm.nih.gov/pmc/articles/PMC11887181/pdf/","citationCount":"0","resultStr":"{\"title\":\"PM<sub>2.5</sub> constituent exposures and maternal circulatory homocysteine in early pregnancy.\",\"authors\":\"Xuesong Li, Mingyue Ran, Mengyuan Wang, Ao Liu, Bin Qiao, Bin Han, Jianmei Wang, Zhipeng Bai, Yujuan Zhang\",\"doi\":\"10.1186/s12940-025-01160-z\",\"DOIUrl\":null,\"url\":null,\"abstract\":\"<p><strong>Background: </strong>Elevated homocysteine (Hcy) is a pathogenic mechanism of adverse pregnancy outcomes and PM<sub>2.5</sub>-induced cardiovascular diseases. We investigated the associations of fine particulate matter (PM<sub>2.5</sub>) and chemical constituent exposures with maternal circulatory Hcy in early pregnancy.</p><p><strong>Methods: </strong>Serum Hcy and 5-methyltetrahydrofolate in 324 women with pregnancy (162 normal early pregnancy [NEP] and 162 early pregnancy loss [EPL]) were measured by ultra-performance liquid chromatography-tandem triple quadrupole mass spectrometry. Daily exposures to PM<sub>2.5</sub> and constituents (black carbon [BC], organic matter, nitrate, ammonium, and sulfate) were accessed using data of Tracking Air Pollution in China platform. Nonlinear and linear associations of average pollutant exposures during the post-conception period with serum Hcy were estimated using generalized additive models and multivariable linear regression models, respectively. Weekly cumulative and distributed lag associations between pollutant exposures within three months before serum collection and Hcy were analyzed by distributed lag nonlinear models combined with multivariable linear regression models. Sensitivity analyses were conducted using constituent residuals instead of constituent concentrations.</p><p><strong>Results: </strong>Three-month PM<sub>2.5</sub> and the five constituent exposures were associated with elevated serum Hcy in all participants, EPL group, and NEP group, with 3-12 weeks before serum collection being the susceptible exposure time windows. Pollutants-related Hcy were generally higher in EPL group than in NEP group. Higher post-conception PM<sub>2.5</sub>, BC, and sulfate exposures increased serum Hcy in lower but not in higher 5-methyltetrahydrofolate subgroup. Sulfate was the highest risk constituent with residual-related increased Hcy. BC residuals of both post-conception and three-month periods increased Hcy in EPL group but not in NEP group.</p><p><strong>Conclusions: </strong>Maternal circulatory Hcy in early pregnancy increased with PM<sub>2.5</sub> and constituent exposures, with sulfate being the highest risk constituent. BC-related increased Hcy may induce EPL.</p><p><strong>Trial registration: </strong>The study protocol was registered for clinical trials (ChiCTR1900028619) on December 29, 2019.</p>\",\"PeriodicalId\":11686,\"journal\":{\"name\":\"Environmental Health\",\"volume\":\"24 1\",\"pages\":\"7\"},\"PeriodicalIF\":5.3000,\"publicationDate\":\"2025-03-07\",\"publicationTypes\":\"Journal Article\",\"fieldsOfStudy\":null,\"isOpenAccess\":false,\"openAccessPdf\":\"https://www.ncbi.nlm.nih.gov/pmc/articles/PMC11887181/pdf/\",\"citationCount\":\"0\",\"resultStr\":null,\"platform\":\"Semanticscholar\",\"paperid\":null,\"PeriodicalName\":\"Environmental Health\",\"FirstCategoryId\":\"93\",\"ListUrlMain\":\"https://doi.org/10.1186/s12940-025-01160-z\",\"RegionNum\":2,\"RegionCategory\":\"环境科学与生态学\",\"ArticlePicture\":[],\"TitleCN\":null,\"AbstractTextCN\":null,\"PMCID\":null,\"EPubDate\":\"\",\"PubModel\":\"\",\"JCR\":\"Q1\",\"JCRName\":\"ENVIRONMENTAL SCIENCES\",\"Score\":null,\"Total\":0}","platform":"Semanticscholar","paperid":null,"PeriodicalName":"Environmental Health","FirstCategoryId":"93","ListUrlMain":"https://doi.org/10.1186/s12940-025-01160-z","RegionNum":2,"RegionCategory":"环境科学与生态学","ArticlePicture":[],"TitleCN":null,"AbstractTextCN":null,"PMCID":null,"EPubDate":"","PubModel":"","JCR":"Q1","JCRName":"ENVIRONMENTAL SCIENCES","Score":null,"Total":0}
引用次数: 0

摘要

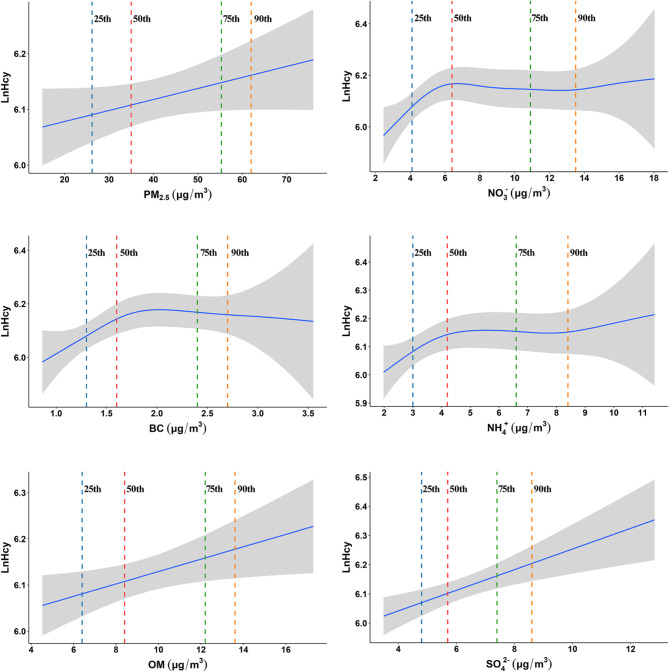
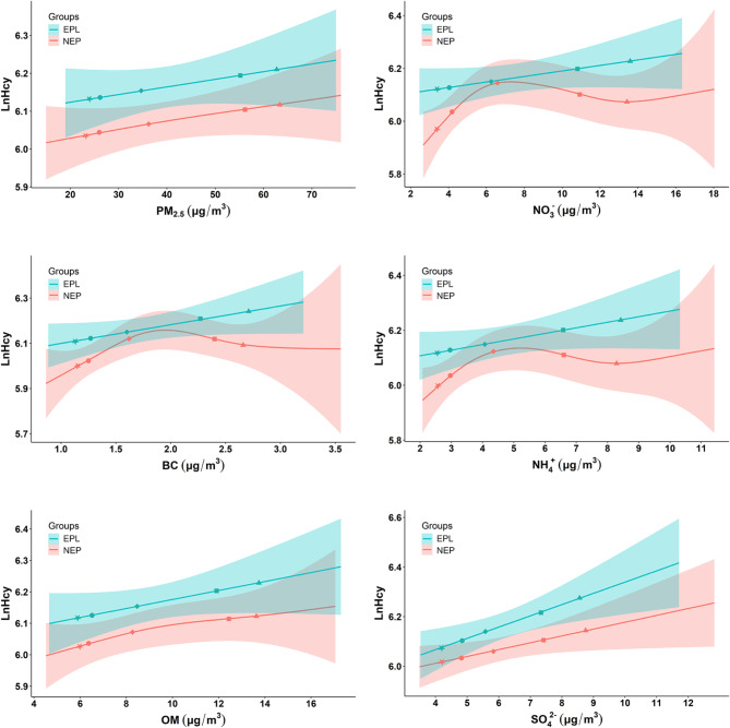
背景:高同型半胱氨酸(Hcy)升高是不良妊娠结局和pm2.5诱发心血管疾病的致病机制之一。我们研究了细颗粒物(PM2.5)和化学成分暴露与妊娠早期母体循环Hcy的关系。方法:采用超高效液相色谱-串联三重四极杆质谱法测定324例妊娠妇女(162例早期妊娠[NEP]和162例早期妊娠丢失[EPL])血清Hcy和5-甲基四氢叶酸。使用跟踪中国空气污染平台的数据获取PM2.5及其成分(黑碳[BC]、有机物、硝酸盐、铵和硫酸盐)的日暴露量。使用广义加性模型和多变量线性回归模型分别估计了怀孕后平均污染物暴露与血清Hcy的非线性和线性关系。采用分布滞后非线性模型结合多变量线性回归模型分析采集血清前3个月内污染物暴露与Hcy之间的周累积和分布滞后关系。敏感性分析采用成分残差代替成分浓度。结果:所有受试者、EPL组和NEP组3个月PM2.5及5种成分暴露均与血清Hcy升高相关,其中采集血清前3-12周为易感暴露时间窗。EPL组污染物相关Hcy总体高于NEP组。妊娠后较高的PM2.5、BC和硫酸盐暴露增加了5-甲基四氢叶酸低亚组的血清Hcy,但没有升高。硫酸盐是与残留相关的Hcy升高的最高危险成分。EPL组妊娠后和妊娠3个月的BC残留量增加了Hcy,而NEP组没有。结论:孕妇妊娠早期循环Hcy随PM2.5和各成分暴露量的增加而升高,其中硫酸盐是风险最高的成分。bc相关的Hcy升高可能诱发EPL。试验注册:研究方案已于2019年12月29日注册为临床试验(ChiCTR1900028619)。
本文章由计算机程序翻译,如有差异,请以英文原文为准。

PM<sub>2.5</sub> constituent exposures and maternal circulatory homocysteine in early pregnancy.

PM<sub>2.5</sub> constituent exposures and maternal circulatory homocysteine in early pregnancy.

PM<sub>2.5</sub> constituent exposures and maternal circulatory homocysteine in early pregnancy.

PM2.5 constituent exposures and maternal circulatory homocysteine in early pregnancy.

Background: Elevated homocysteine (Hcy) is a pathogenic mechanism of adverse pregnancy outcomes and PM2.5-induced cardiovascular diseases. We investigated the associations of fine particulate matter (PM2.5) and chemical constituent exposures with maternal circulatory Hcy in early pregnancy.

Methods: Serum Hcy and 5-methyltetrahydrofolate in 324 women with pregnancy (162 normal early pregnancy [NEP] and 162 early pregnancy loss [EPL]) were measured by ultra-performance liquid chromatography-tandem triple quadrupole mass spectrometry. Daily exposures to PM2.5 and constituents (black carbon [BC], organic matter, nitrate, ammonium, and sulfate) were accessed using data of Tracking Air Pollution in China platform. Nonlinear and linear associations of average pollutant exposures during the post-conception period with serum Hcy were estimated using generalized additive models and multivariable linear regression models, respectively. Weekly cumulative and distributed lag associations between pollutant exposures within three months before serum collection and Hcy were analyzed by distributed lag nonlinear models combined with multivariable linear regression models. Sensitivity analyses were conducted using constituent residuals instead of constituent concentrations.

Results: Three-month PM2.5 and the five constituent exposures were associated with elevated serum Hcy in all participants, EPL group, and NEP group, with 3-12 weeks before serum collection being the susceptible exposure time windows. Pollutants-related Hcy were generally higher in EPL group than in NEP group. Higher post-conception PM2.5, BC, and sulfate exposures increased serum Hcy in lower but not in higher 5-methyltetrahydrofolate subgroup. Sulfate was the highest risk constituent with residual-related increased Hcy. BC residuals of both post-conception and three-month periods increased Hcy in EPL group but not in NEP group.

Conclusions: Maternal circulatory Hcy in early pregnancy increased with PM2.5 and constituent exposures, with sulfate being the highest risk constituent. BC-related increased Hcy may induce EPL.

Trial registration: The study protocol was registered for clinical trials (ChiCTR1900028619) on December 29, 2019.

求助全文
通过发布文献求助,成功后即可免费获取论文全文。 去求助
来源期刊
Environmental Health
Environmental Health 环境科学-公共卫生、环境卫生与职业卫生
CiteScore
10.10
自引率
1.70%
发文量
115
审稿时长
3.0 months
期刊介绍: Environmental Health publishes manuscripts on all aspects of environmental and occupational medicine and related studies in toxicology and epidemiology. Environmental Health is aimed at scientists and practitioners in all areas of environmental science where human health and well-being are involved, either directly or indirectly. Environmental Health is a public health journal serving the public health community and scientists working on matters of public health interest and importance pertaining to the environment.
×
引用
GB/T 7714-2015
复制
MLA
复制
APA
复制
导出至
BibTeX EndNote RefMan NoteFirst NoteExpress
×
提示
您的信息不完整,为了账户安全,请先补充。
现在去补充
×
提示
您因"违规操作"
具体请查看互助需知
我知道了
×
提示
确定
请完成安全验证×
copy
已复制链接
快去分享给好友吧!
我知道了
右上角分享
点击右上角分享
0
联系我们:info@booksci.cn Book学术提供免费学术资源搜索服务,方便国内外学者检索中英文文献。致力于提供最便捷和优质的服务体验。 Copyright © 2023 布克学术 All rights reserved.
京ICP备2023020795号-1
ghs 京公网安备 11010802042870号
Book学术文献互助
Book学术文献互助群
群 号:604180095
Book学术官方微信