丙烯酸聚酯树脂合成工艺的研究与展望。

IF 4.3 3区 化学 Q2 CHEMISTRY, MULTIDISCIPLINARY
ACS Omega Pub Date : 2025-02-19 eCollection Date: 2025-03-04 DOI:10.1021/acsomega.4c09935
Huiguo Yu, Shupeng Yin, Haifeng Fu, Yinglong Wang, Fanqing Meng
{"title":"丙烯酸聚酯树脂合成工艺的研究与展望。","authors":"Huiguo Yu, Shupeng Yin, Haifeng Fu, Yinglong Wang, Fanqing Meng","doi":"10.1021/acsomega.4c09935","DOIUrl":null,"url":null,"abstract":"<p><p>Acrylic polyester resin is an important synthetic resin. It has become an indispensable material in many fields due to its excellent mechanical strength, outstanding corrosion resistance, and ability to withstand extreme temperatures. However, as the market demand for acrylic polyester resin continues to grow, some technical challenges encountered during the production process have gradually emerged. Due to the changes in temperature and viscosity of the polymerization reaction, as well as the limitations of the parameters of the reaction conditions, the production process of acrylic polyester resins leads to insufficient yield to meet the market demand. This paper comprehensively introduces the synthesis method of acrylic polyester resin and systematically analyzes the key steps in the synthesis of acrylic polyester resin. This paper provides new insights and a practical basis for improving the production process, which is of great significance to meet the growing industrial demand and promote the sustainable development of this field.</p>","PeriodicalId":22,"journal":{"name":"ACS Omega","volume":"10 8","pages":"7478-7484"},"PeriodicalIF":4.3000,"publicationDate":"2025-02-19","publicationTypes":"Journal Article","fieldsOfStudy":null,"isOpenAccess":false,"openAccessPdf":"https://www.ncbi.nlm.nih.gov/pmc/articles/PMC11886717/pdf/","citationCount":"0","resultStr":"{\"title\":\"Research and Prospect of Acrylic Polyester Resin Synthesis Process.\",\"authors\":\"Huiguo Yu, Shupeng Yin, Haifeng Fu, Yinglong Wang, Fanqing Meng\",\"doi\":\"10.1021/acsomega.4c09935\",\"DOIUrl\":null,\"url\":null,\"abstract\":\"<p><p>Acrylic polyester resin is an important synthetic resin. It has become an indispensable material in many fields due to its excellent mechanical strength, outstanding corrosion resistance, and ability to withstand extreme temperatures. However, as the market demand for acrylic polyester resin continues to grow, some technical challenges encountered during the production process have gradually emerged. Due to the changes in temperature and viscosity of the polymerization reaction, as well as the limitations of the parameters of the reaction conditions, the production process of acrylic polyester resins leads to insufficient yield to meet the market demand. This paper comprehensively introduces the synthesis method of acrylic polyester resin and systematically analyzes the key steps in the synthesis of acrylic polyester resin. This paper provides new insights and a practical basis for improving the production process, which is of great significance to meet the growing industrial demand and promote the sustainable development of this field.</p>\",\"PeriodicalId\":22,\"journal\":{\"name\":\"ACS Omega\",\"volume\":\"10 8\",\"pages\":\"7478-7484\"},\"PeriodicalIF\":4.3000,\"publicationDate\":\"2025-02-19\",\"publicationTypes\":\"Journal Article\",\"fieldsOfStudy\":null,\"isOpenAccess\":false,\"openAccessPdf\":\"https://www.ncbi.nlm.nih.gov/pmc/articles/PMC11886717/pdf/\",\"citationCount\":\"0\",\"resultStr\":null,\"platform\":\"Semanticscholar\",\"paperid\":null,\"PeriodicalName\":\"ACS Omega\",\"FirstCategoryId\":\"92\",\"ListUrlMain\":\"https://doi.org/10.1021/acsomega.4c09935\",\"RegionNum\":3,\"RegionCategory\":\"化学\",\"ArticlePicture\":[],\"TitleCN\":null,\"AbstractTextCN\":null,\"PMCID\":null,\"EPubDate\":\"2025/3/4 0:00:00\",\"PubModel\":\"eCollection\",\"JCR\":\"Q2\",\"JCRName\":\"CHEMISTRY, MULTIDISCIPLINARY\",\"Score\":null,\"Total\":0}","platform":"Semanticscholar","paperid":null,"PeriodicalName":"ACS Omega","FirstCategoryId":"92","ListUrlMain":"https://doi.org/10.1021/acsomega.4c09935","RegionNum":3,"RegionCategory":"化学","ArticlePicture":[],"TitleCN":null,"AbstractTextCN":null,"PMCID":null,"EPubDate":"2025/3/4 0:00:00","PubModel":"eCollection","JCR":"Q2","JCRName":"CHEMISTRY, MULTIDISCIPLINARY","Score":null,"Total":0}
引用次数: 0

摘要

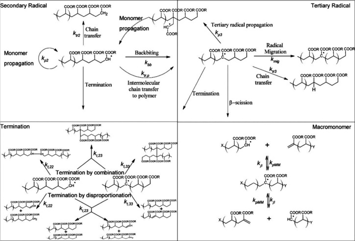
丙烯酸聚酯树脂是一种重要的合成树脂。由于其优异的机械强度,优异的耐腐蚀性和承受极端温度的能力,它已成为许多领域不可或缺的材料。然而,随着丙烯酸聚酯树脂市场需求的不断增长,生产过程中遇到的一些技术难题也逐渐显现出来。由于聚合反应温度和粘度的变化,以及反应条件参数的限制,丙烯酸聚酯树脂的生产工艺导致产量不足以满足市场需求。本文全面介绍了丙烯酸聚酯树脂的合成方法,系统分析了丙烯酸聚酯树脂合成的关键步骤。本文为改进生产工艺提供了新的见解和实践依据,对满足日益增长的工业需求,促进该领域的可持续发展具有重要意义。
本文章由计算机程序翻译,如有差异,请以英文原文为准。

Research and Prospect of Acrylic Polyester Resin Synthesis Process.

Research and Prospect of Acrylic Polyester Resin Synthesis Process.

Research and Prospect of Acrylic Polyester Resin Synthesis Process.

Research and Prospect of Acrylic Polyester Resin Synthesis Process.

Acrylic polyester resin is an important synthetic resin. It has become an indispensable material in many fields due to its excellent mechanical strength, outstanding corrosion resistance, and ability to withstand extreme temperatures. However, as the market demand for acrylic polyester resin continues to grow, some technical challenges encountered during the production process have gradually emerged. Due to the changes in temperature and viscosity of the polymerization reaction, as well as the limitations of the parameters of the reaction conditions, the production process of acrylic polyester resins leads to insufficient yield to meet the market demand. This paper comprehensively introduces the synthesis method of acrylic polyester resin and systematically analyzes the key steps in the synthesis of acrylic polyester resin. This paper provides new insights and a practical basis for improving the production process, which is of great significance to meet the growing industrial demand and promote the sustainable development of this field.

求助全文
通过发布文献求助,成功后即可免费获取论文全文。 去求助
来源期刊
ACS Omega
ACS Omega Chemical Engineering-General Chemical Engineering
CiteScore
6.60
自引率
4.90%
发文量
3945
审稿时长
2.4 months
期刊介绍: ACS Omega is an open-access global publication for scientific articles that describe new findings in chemistry and interfacing areas of science, without any perceived evaluation of immediate impact.
×
引用
GB/T 7714-2015
复制
MLA
复制
APA
复制
导出至
BibTeX EndNote RefMan NoteFirst NoteExpress
×
提示
您的信息不完整,为了账户安全,请先补充。
现在去补充
×
提示
您因"违规操作"
具体请查看互助需知
我知道了
×
提示
确定
请完成安全验证×
copy
已复制链接
快去分享给好友吧!
我知道了
右上角分享
点击右上角分享
0
联系我们:info@booksci.cn Book学术提供免费学术资源搜索服务,方便国内外学者检索中英文文献。致力于提供最便捷和优质的服务体验。 Copyright © 2023 布克学术 All rights reserved.
京ICP备2023020795号-1
ghs 京公网安备 11010802042870号
Book学术文献互助
Book学术文献互助群
群 号:604180095
Book学术官方微信