西妥昔单抗和纳武单抗治疗头颈部鳞状细胞癌外周血t细胞库的临床意义。

IF 5.1 2区 医学 Q2 IMMUNOLOGY
Xuefeng Wang, Tingyi Li, Robbert J C Slebos, Ritu Chaudhary, Jose A Guevara-Patino, Marcelo Bonomi, Nabil F Saba, Christine H Chung
{"title":"西妥昔单抗和纳武单抗治疗头颈部鳞状细胞癌外周血t细胞库的临床意义。","authors":"Xuefeng Wang, Tingyi Li, Robbert J C Slebos, Ritu Chaudhary, Jose A Guevara-Patino, Marcelo Bonomi, Nabil F Saba, Christine H Chung","doi":"10.1007/s00262-025-03993-6","DOIUrl":null,"url":null,"abstract":"<p><p>Immunotherapy holds significant promise for treating head and neck squamous cell carcinoma (HNSCC), yet responses are limited to a subset of patients. This research investigates whether analyzing the peripheral T-cell receptor (TCR) repertoire could help identify patients who are more likely to benefit from a combination treatment of cetuximab and nivolumab. We report here updated correlative analysis using all samples profiled with deep immunoSEQ assay to study the peripheral TCR repertoires in peripheral blood mononuclear cells from patients enrolled in a phase I/II trial (NCT03370276). TCR repertoires were analyzed in 67 patients. Of these, 64 had available baseline data. Overall, our findings confirm that a more polyclonal peripheral TCR repertoire is associated with improved response to concurrent cetuximab and nivolumab in HNSCC. While the baseline productive Simpson clonality did not reach statistically significant differences in response groups, significant differences were observed within the HPV-negative subgroup and among patients who had received previous ICI therapy. Additionally, the TCR diversity at baseline and early follow-up was associated with overall survival. TRBV/TRBJ gene usage analysis also identified specific gene pairs associated with patient outcomes. Furthermore, our analysis indicates that the TCR clonality patterns are modulated by prior treatment exposures and tumor HPV status, suggesting a cohort expansion within these subgroups for further validation. Together, this study demonstrates the feasibility of leveraging the peripheral T-cell repertoire profiling and clonality dynamics as predictive biomarkers for immunotherapy efficacy in HNSCC.</p>","PeriodicalId":9595,"journal":{"name":"Cancer Immunology, Immunotherapy","volume":"74 4","pages":"142"},"PeriodicalIF":5.1000,"publicationDate":"2025-03-08","publicationTypes":"Journal Article","fieldsOfStudy":null,"isOpenAccess":false,"openAccessPdf":"https://www.ncbi.nlm.nih.gov/pmc/articles/PMC11890688/pdf/","citationCount":"0","resultStr":"{\"title\":\"Clinical significance of peripheral T-cell repertoire in head and neck squamous cell carcinoma treated with cetuximab and nivolumab.\",\"authors\":\"Xuefeng Wang, Tingyi Li, Robbert J C Slebos, Ritu Chaudhary, Jose A Guevara-Patino, Marcelo Bonomi, Nabil F Saba, Christine H Chung\",\"doi\":\"10.1007/s00262-025-03993-6\",\"DOIUrl\":null,\"url\":null,\"abstract\":\"<p><p>Immunotherapy holds significant promise for treating head and neck squamous cell carcinoma (HNSCC), yet responses are limited to a subset of patients. This research investigates whether analyzing the peripheral T-cell receptor (TCR) repertoire could help identify patients who are more likely to benefit from a combination treatment of cetuximab and nivolumab. We report here updated correlative analysis using all samples profiled with deep immunoSEQ assay to study the peripheral TCR repertoires in peripheral blood mononuclear cells from patients enrolled in a phase I/II trial (NCT03370276). TCR repertoires were analyzed in 67 patients. Of these, 64 had available baseline data. Overall, our findings confirm that a more polyclonal peripheral TCR repertoire is associated with improved response to concurrent cetuximab and nivolumab in HNSCC. While the baseline productive Simpson clonality did not reach statistically significant differences in response groups, significant differences were observed within the HPV-negative subgroup and among patients who had received previous ICI therapy. Additionally, the TCR diversity at baseline and early follow-up was associated with overall survival. TRBV/TRBJ gene usage analysis also identified specific gene pairs associated with patient outcomes. Furthermore, our analysis indicates that the TCR clonality patterns are modulated by prior treatment exposures and tumor HPV status, suggesting a cohort expansion within these subgroups for further validation. Together, this study demonstrates the feasibility of leveraging the peripheral T-cell repertoire profiling and clonality dynamics as predictive biomarkers for immunotherapy efficacy in HNSCC.</p>\",\"PeriodicalId\":9595,\"journal\":{\"name\":\"Cancer Immunology, Immunotherapy\",\"volume\":\"74 4\",\"pages\":\"142\"},\"PeriodicalIF\":5.1000,\"publicationDate\":\"2025-03-08\",\"publicationTypes\":\"Journal Article\",\"fieldsOfStudy\":null,\"isOpenAccess\":false,\"openAccessPdf\":\"https://www.ncbi.nlm.nih.gov/pmc/articles/PMC11890688/pdf/\",\"citationCount\":\"0\",\"resultStr\":null,\"platform\":\"Semanticscholar\",\"paperid\":null,\"PeriodicalName\":\"Cancer Immunology, Immunotherapy\",\"FirstCategoryId\":\"3\",\"ListUrlMain\":\"https://doi.org/10.1007/s00262-025-03993-6\",\"RegionNum\":2,\"RegionCategory\":\"医学\",\"ArticlePicture\":[],\"TitleCN\":null,\"AbstractTextCN\":null,\"PMCID\":null,\"EPubDate\":\"\",\"PubModel\":\"\",\"JCR\":\"Q2\",\"JCRName\":\"IMMUNOLOGY\",\"Score\":null,\"Total\":0}","platform":"Semanticscholar","paperid":null,"PeriodicalName":"Cancer Immunology, Immunotherapy","FirstCategoryId":"3","ListUrlMain":"https://doi.org/10.1007/s00262-025-03993-6","RegionNum":2,"RegionCategory":"医学","ArticlePicture":[],"TitleCN":null,"AbstractTextCN":null,"PMCID":null,"EPubDate":"","PubModel":"","JCR":"Q2","JCRName":"IMMUNOLOGY","Score":null,"Total":0}
引用次数: 0

摘要

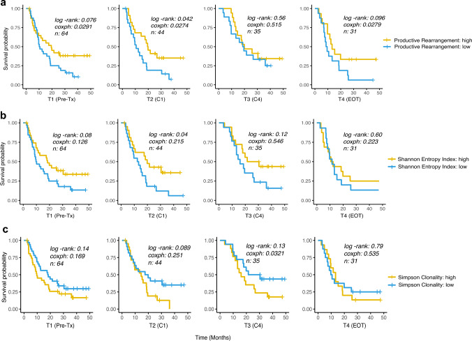
免疫疗法在治疗头颈部鳞状细胞癌(HNSCC)方面具有重要的前景,但反应仅限于一小部分患者。本研究探讨了分析外周t细胞受体(TCR)是否有助于识别更有可能从西妥昔单抗和纳武单抗联合治疗中获益的患者。我们在此报告最新的相关分析,使用深度免疫seq分析分析所有样本,研究I/II期试验(NCT03370276)患者外周血单个核细胞中的外周TCR谱。分析67例患者的TCR曲目。其中,64个有可用的基线数据。总的来说,我们的研究结果证实,更多的多克隆外周TCR库与HNSCC患者同时使用西妥昔单抗和纳沃单抗的反应改善有关。虽然反应组的基线生产性Simpson克隆没有达到统计学上的显著差异,但在hpv阴性亚组和先前接受过ICI治疗的患者中观察到显著差异。此外,基线和早期随访时的TCR多样性与总生存期有关。TRBV/TRBJ基因使用分析还确定了与患者预后相关的特定基因对。此外,我们的分析表明,TCR克隆模式受到先前治疗暴露和肿瘤HPV状态的调节,这表明在这些亚组中进行队列扩展以进一步验证。总之,这项研究证明了利用外周t细胞库分析和克隆动力学作为预测HNSCC免疫治疗疗效的生物标志物的可行性。
本文章由计算机程序翻译,如有差异,请以英文原文为准。

Clinical significance of peripheral T-cell repertoire in head and neck squamous cell carcinoma treated with cetuximab and nivolumab.

Clinical significance of peripheral T-cell repertoire in head and neck squamous cell carcinoma treated with cetuximab and nivolumab.

Clinical significance of peripheral T-cell repertoire in head and neck squamous cell carcinoma treated with cetuximab and nivolumab.

Clinical significance of peripheral T-cell repertoire in head and neck squamous cell carcinoma treated with cetuximab and nivolumab.

Immunotherapy holds significant promise for treating head and neck squamous cell carcinoma (HNSCC), yet responses are limited to a subset of patients. This research investigates whether analyzing the peripheral T-cell receptor (TCR) repertoire could help identify patients who are more likely to benefit from a combination treatment of cetuximab and nivolumab. We report here updated correlative analysis using all samples profiled with deep immunoSEQ assay to study the peripheral TCR repertoires in peripheral blood mononuclear cells from patients enrolled in a phase I/II trial (NCT03370276). TCR repertoires were analyzed in 67 patients. Of these, 64 had available baseline data. Overall, our findings confirm that a more polyclonal peripheral TCR repertoire is associated with improved response to concurrent cetuximab and nivolumab in HNSCC. While the baseline productive Simpson clonality did not reach statistically significant differences in response groups, significant differences were observed within the HPV-negative subgroup and among patients who had received previous ICI therapy. Additionally, the TCR diversity at baseline and early follow-up was associated with overall survival. TRBV/TRBJ gene usage analysis also identified specific gene pairs associated with patient outcomes. Furthermore, our analysis indicates that the TCR clonality patterns are modulated by prior treatment exposures and tumor HPV status, suggesting a cohort expansion within these subgroups for further validation. Together, this study demonstrates the feasibility of leveraging the peripheral T-cell repertoire profiling and clonality dynamics as predictive biomarkers for immunotherapy efficacy in HNSCC.

求助全文
通过发布文献求助,成功后即可免费获取论文全文。 去求助
来源期刊
CiteScore
10.50
自引率
1.70%
发文量
207
审稿时长
1 months
期刊介绍: Cancer Immunology, Immunotherapy has the basic aim of keeping readers informed of the latest research results in the fields of oncology and immunology. As knowledge expands, the scope of the journal has broadened to include more of the progress being made in the areas of biology concerned with biological response modifiers. This helps keep readers up to date on the latest advances in our understanding of tumor-host interactions. The journal publishes short editorials including "position papers," general reviews, original articles, and short communications, providing a forum for the most current experimental and clinical advances in tumor immunology.
×
引用
GB/T 7714-2015
复制
MLA
复制
APA
复制
导出至
BibTeX EndNote RefMan NoteFirst NoteExpress
×
提示
您的信息不完整,为了账户安全,请先补充。
现在去补充
×
提示
您因"违规操作"
具体请查看互助需知
我知道了
×
提示
确定
请完成安全验证×
copy
已复制链接
快去分享给好友吧!
我知道了
右上角分享
点击右上角分享
0
联系我们:info@booksci.cn Book学术提供免费学术资源搜索服务,方便国内外学者检索中英文文献。致力于提供最便捷和优质的服务体验。 Copyright © 2023 布克学术 All rights reserved.
京ICP备2023020795号-1
ghs 京公网安备 11010802042870号
Book学术文献互助
Book学术文献互助群
群 号:604180095
Book学术官方微信