通过视频会议进行述职员培训的标准化学习者模拟。

Korean journal of medical education Pub Date : 2025-03-01 Epub Date: 2025-02-26 DOI:10.3946/kjme.2025.321
Jiyoung Rhee, Hyun Soo Park
{"title":"通过视频会议进行述职员培训的标准化学习者模拟。","authors":"Jiyoung Rhee, Hyun Soo Park","doi":"10.3946/kjme.2025.321","DOIUrl":null,"url":null,"abstract":"<p><strong>Purpose: </strong>Debriefing after simulation-based healthcare education (SBHE) is challenging. Educators' debriefing skills are essential to the success of learning. For debriefing skill training, we designed a simulation course with the standardized learner (SL) through video conference. The purpose of this study was to describe the implementation process of the SL simulation course and evaluate its effectiveness on educators' self-confidence and debriefing skills.</p><p><strong>Methods: </strong>This simulation course involved six trainees and two trainers. After watching a 5-minute sample video of SBHE, each trainee conducted their role as a debriefer in this video and the trainer acted as a learner (SL) in this video. Following each simulation, individual feedback by the trainer was immediately implemented. To evaluate the course's effectiveness, trainees' self-confidence questionnaire was collected, and objective structured assessment of debriefing (OSAD) scores were evaluated.</p><p><strong>Results: </strong>After completing five SL simulation sessions in 2 weeks, the trainees' self-confidence level and OSAD scores improved significantly (estimate=0.114, standard error=0.020, p<0.001, and p=0.006).</p><p><strong>Conclusion: </strong>This debriefer training course using SL simulation via video conference could improve self-confidence and debriefing skills of trainees. This SL simulation can be used as a new and flexible method for training debriefers.</p>","PeriodicalId":37737,"journal":{"name":"Korean journal of medical education","volume":"37 1","pages":"35-45"},"PeriodicalIF":0.0000,"publicationDate":"2025-03-01","publicationTypes":"Journal Article","fieldsOfStudy":null,"isOpenAccess":false,"openAccessPdf":"https://www.ncbi.nlm.nih.gov/pmc/articles/PMC11900833/pdf/","citationCount":"0","resultStr":"{\"title\":\"Standardized learner simulation for debriefer training through video conference.\",\"authors\":\"Jiyoung Rhee, Hyun Soo Park\",\"doi\":\"10.3946/kjme.2025.321\",\"DOIUrl\":null,\"url\":null,\"abstract\":\"<p><strong>Purpose: </strong>Debriefing after simulation-based healthcare education (SBHE) is challenging. Educators' debriefing skills are essential to the success of learning. For debriefing skill training, we designed a simulation course with the standardized learner (SL) through video conference. The purpose of this study was to describe the implementation process of the SL simulation course and evaluate its effectiveness on educators' self-confidence and debriefing skills.</p><p><strong>Methods: </strong>This simulation course involved six trainees and two trainers. After watching a 5-minute sample video of SBHE, each trainee conducted their role as a debriefer in this video and the trainer acted as a learner (SL) in this video. Following each simulation, individual feedback by the trainer was immediately implemented. To evaluate the course's effectiveness, trainees' self-confidence questionnaire was collected, and objective structured assessment of debriefing (OSAD) scores were evaluated.</p><p><strong>Results: </strong>After completing five SL simulation sessions in 2 weeks, the trainees' self-confidence level and OSAD scores improved significantly (estimate=0.114, standard error=0.020, p<0.001, and p=0.006).</p><p><strong>Conclusion: </strong>This debriefer training course using SL simulation via video conference could improve self-confidence and debriefing skills of trainees. This SL simulation can be used as a new and flexible method for training debriefers.</p>\",\"PeriodicalId\":37737,\"journal\":{\"name\":\"Korean journal of medical education\",\"volume\":\"37 1\",\"pages\":\"35-45\"},\"PeriodicalIF\":0.0000,\"publicationDate\":\"2025-03-01\",\"publicationTypes\":\"Journal Article\",\"fieldsOfStudy\":null,\"isOpenAccess\":false,\"openAccessPdf\":\"https://www.ncbi.nlm.nih.gov/pmc/articles/PMC11900833/pdf/\",\"citationCount\":\"0\",\"resultStr\":null,\"platform\":\"Semanticscholar\",\"paperid\":null,\"PeriodicalName\":\"Korean journal of medical education\",\"FirstCategoryId\":\"1085\",\"ListUrlMain\":\"https://doi.org/10.3946/kjme.2025.321\",\"RegionNum\":0,\"RegionCategory\":null,\"ArticlePicture\":[],\"TitleCN\":null,\"AbstractTextCN\":null,\"PMCID\":null,\"EPubDate\":\"2025/2/26 0:00:00\",\"PubModel\":\"Epub\",\"JCR\":\"\",\"JCRName\":\"\",\"Score\":null,\"Total\":0}","platform":"Semanticscholar","paperid":null,"PeriodicalName":"Korean journal of medical education","FirstCategoryId":"1085","ListUrlMain":"https://doi.org/10.3946/kjme.2025.321","RegionNum":0,"RegionCategory":null,"ArticlePicture":[],"TitleCN":null,"AbstractTextCN":null,"PMCID":null,"EPubDate":"2025/2/26 0:00:00","PubModel":"Epub","JCR":"","JCRName":"","Score":null,"Total":0}
引用次数: 0

摘要

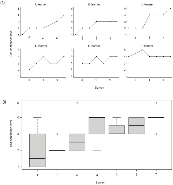
目的:基于模拟的医疗保健教育(SBHE)后的汇报具有挑战性。教育者的汇报技巧对学习的成功至关重要。针对述职技能训练,我们设计了标准化学习者(SL)通过视频会议的模拟课程。本研究的目的是描述SL模拟课程的实施过程,并评估其对教育者自信心和述职技巧的有效性。方法:模拟课程包括6名学员和2名培训师。在观看了一段5分钟的SBHE样本视频后,每位学员在视频中扮演汇报者的角色,培训师在视频中扮演学习者(SL)。在每次模拟之后,培训师的个人反馈立即被执行。为了评估课程的有效性,我们收集了学员的自信心问卷,并评估了客观结构化的述职评估(OSAD)得分。结果:在2周内完成5次SL模拟课程后,学员的自信心水平和OSAD得分均有显著提高(估计值=0.114,标准误差=0.020,p)。结论:采用视频会议方式进行SL模拟的述职培训课程可以提高学员的自信心和述职技能。这种SL模拟可以作为培训报告员的一种新的灵活方法。
本文章由计算机程序翻译,如有差异,请以英文原文为准。

Standardized learner simulation for debriefer training through video conference.

Standardized learner simulation for debriefer training through video conference.

Standardized learner simulation for debriefer training through video conference.

Standardized learner simulation for debriefer training through video conference.

Purpose: Debriefing after simulation-based healthcare education (SBHE) is challenging. Educators' debriefing skills are essential to the success of learning. For debriefing skill training, we designed a simulation course with the standardized learner (SL) through video conference. The purpose of this study was to describe the implementation process of the SL simulation course and evaluate its effectiveness on educators' self-confidence and debriefing skills.

Methods: This simulation course involved six trainees and two trainers. After watching a 5-minute sample video of SBHE, each trainee conducted their role as a debriefer in this video and the trainer acted as a learner (SL) in this video. Following each simulation, individual feedback by the trainer was immediately implemented. To evaluate the course's effectiveness, trainees' self-confidence questionnaire was collected, and objective structured assessment of debriefing (OSAD) scores were evaluated.

Results: After completing five SL simulation sessions in 2 weeks, the trainees' self-confidence level and OSAD scores improved significantly (estimate=0.114, standard error=0.020, p<0.001, and p=0.006).

Conclusion: This debriefer training course using SL simulation via video conference could improve self-confidence and debriefing skills of trainees. This SL simulation can be used as a new and flexible method for training debriefers.

求助全文
通过发布文献求助,成功后即可免费获取论文全文。 去求助
来源期刊
Korean journal of medical education
Korean journal of medical education Social Sciences-Education
CiteScore
3.20
自引率
0.00%
发文量
20
期刊介绍: The journal seeks to provide theoretical foundations, practical analysis, and up-to-date developments in health professional education: Curriculum development Teaching and learning Student assessment Educational evaluation Educational management and policy The journal welcomes high-quality papers on all levels of health professional education, including: Undergraduate education Postgraduate training Continuous professional development Interprofessional education.
×
引用
GB/T 7714-2015
复制
MLA
复制
APA
复制
导出至
BibTeX EndNote RefMan NoteFirst NoteExpress
×
提示
您的信息不完整,为了账户安全,请先补充。
现在去补充
×
提示
您因"违规操作"
具体请查看互助需知
我知道了
×
提示
确定
请完成安全验证×
copy
已复制链接
快去分享给好友吧!
我知道了
右上角分享
点击右上角分享
0
联系我们:info@booksci.cn Book学术提供免费学术资源搜索服务,方便国内外学者检索中英文文献。致力于提供最便捷和优质的服务体验。 Copyright © 2023 布克学术 All rights reserved.
京ICP备2023020795号-1
ghs 京公网安备 11010802042870号
Book学术文献互助
Book学术文献互助群
群 号:604180095
Book学术官方微信