台湾年轻女性早期乳癌的治疗模式与结果。

IF 2.4 4区 医学 Q3 ONCOLOGY
Chi-Cheng Huang, Ling-Ming Tseng
{"title":"台湾年轻女性早期乳癌的治疗模式与结果。","authors":"Chi-Cheng Huang, Ling-Ming Tseng","doi":"10.4048/jbc.2024.0188","DOIUrl":null,"url":null,"abstract":"<p><p>Young female early breast cancer (≤ 40 years) treatment presents unique challenges due to its aggressive features. Using data from the Taiwan Cancer Registry (2007-2017), this study investigated its clinical characteristics, treatment patterns, and prognostic factors. The proportion of young female breast cancer declined from 12% to 8% during the study period. Triple-negative (TN) breast cancer was more prevalent in younger patients, while hormone receptor-positive (HR+)/human epidermal growth factor receptor 2-negative subtypes increased with age. Stages II and III were observed more frequently in older patients, whereas extremely young patients (20-29 years) exhibited compromised overall and recurrence-free survival. Subtype analysis revealed worse outcomes for TN and hormone receptor-negative/human epidermal growth factor receptor 2-positive (HER2+) cases. Treatment patterns showed that targeted therapy was more commonly administered to younger patients with HER2+, while endocrine therapy was used less frequently for HR+ cases, reflecting tolerability and treatment compliance challenges. Future research should focus on optimizing therapeutic strategies and addressing long-term survivorship to enhance care for young women with breast cancer.</p>","PeriodicalId":15206,"journal":{"name":"Journal of Breast Cancer","volume":"28 1","pages":"37-45"},"PeriodicalIF":2.4000,"publicationDate":"2025-02-01","publicationTypes":"Journal Article","fieldsOfStudy":null,"isOpenAccess":false,"openAccessPdf":"https://www.ncbi.nlm.nih.gov/pmc/articles/PMC11885852/pdf/","citationCount":"0","resultStr":"{\"title\":\"Treatment Patterns and Outcomes of Young Female Early Breast Cancer in Taiwan.\",\"authors\":\"Chi-Cheng Huang, Ling-Ming Tseng\",\"doi\":\"10.4048/jbc.2024.0188\",\"DOIUrl\":null,\"url\":null,\"abstract\":\"<p><p>Young female early breast cancer (≤ 40 years) treatment presents unique challenges due to its aggressive features. Using data from the Taiwan Cancer Registry (2007-2017), this study investigated its clinical characteristics, treatment patterns, and prognostic factors. The proportion of young female breast cancer declined from 12% to 8% during the study period. Triple-negative (TN) breast cancer was more prevalent in younger patients, while hormone receptor-positive (HR+)/human epidermal growth factor receptor 2-negative subtypes increased with age. Stages II and III were observed more frequently in older patients, whereas extremely young patients (20-29 years) exhibited compromised overall and recurrence-free survival. Subtype analysis revealed worse outcomes for TN and hormone receptor-negative/human epidermal growth factor receptor 2-positive (HER2+) cases. Treatment patterns showed that targeted therapy was more commonly administered to younger patients with HER2+, while endocrine therapy was used less frequently for HR+ cases, reflecting tolerability and treatment compliance challenges. Future research should focus on optimizing therapeutic strategies and addressing long-term survivorship to enhance care for young women with breast cancer.</p>\",\"PeriodicalId\":15206,\"journal\":{\"name\":\"Journal of Breast Cancer\",\"volume\":\"28 1\",\"pages\":\"37-45\"},\"PeriodicalIF\":2.4000,\"publicationDate\":\"2025-02-01\",\"publicationTypes\":\"Journal Article\",\"fieldsOfStudy\":null,\"isOpenAccess\":false,\"openAccessPdf\":\"https://www.ncbi.nlm.nih.gov/pmc/articles/PMC11885852/pdf/\",\"citationCount\":\"0\",\"resultStr\":null,\"platform\":\"Semanticscholar\",\"paperid\":null,\"PeriodicalName\":\"Journal of Breast Cancer\",\"FirstCategoryId\":\"3\",\"ListUrlMain\":\"https://doi.org/10.4048/jbc.2024.0188\",\"RegionNum\":4,\"RegionCategory\":\"医学\",\"ArticlePicture\":[],\"TitleCN\":null,\"AbstractTextCN\":null,\"PMCID\":null,\"EPubDate\":\"\",\"PubModel\":\"\",\"JCR\":\"Q3\",\"JCRName\":\"ONCOLOGY\",\"Score\":null,\"Total\":0}","platform":"Semanticscholar","paperid":null,"PeriodicalName":"Journal of Breast Cancer","FirstCategoryId":"3","ListUrlMain":"https://doi.org/10.4048/jbc.2024.0188","RegionNum":4,"RegionCategory":"医学","ArticlePicture":[],"TitleCN":null,"AbstractTextCN":null,"PMCID":null,"EPubDate":"","PubModel":"","JCR":"Q3","JCRName":"ONCOLOGY","Score":null,"Total":0}
引用次数: 0

摘要

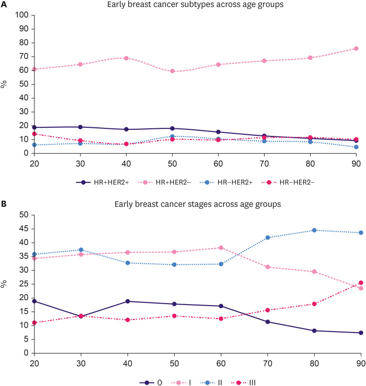
年轻女性早期乳腺癌(≤40岁)因其侵袭性特征,给治疗带来了独特的挑战。本研究利用台湾癌症登记中心(2007-2017年)的数据,对其临床特征、治疗模式和预后因素进行了调查。在研究期间,年轻女性乳腺癌的比例从12%下降到8%。三阴性(TN)乳腺癌在年轻患者中更为常见,而激素受体阳性(HR+)/人表皮生长因子受体2阴性亚型则随着年龄的增长而增加。II期和III期更多见于年龄较大的患者,而非常年轻的患者(20-29岁)的总生存期和无复发生存期则受到影响。亚型分析显示,TN 和激素受体阴性/人表皮生长因子受体 2 阳性(HER2+)病例的预后较差。治疗模式显示,靶向治疗更多用于年轻的HER2+患者,而内分泌治疗较少用于HR+病例,这反映了耐受性和治疗依从性方面的挑战。未来的研究应侧重于优化治疗策略和解决长期生存问题,以加强对年轻女性乳腺癌患者的护理。
本文章由计算机程序翻译,如有差异,请以英文原文为准。

Treatment Patterns and Outcomes of Young Female Early Breast Cancer in Taiwan.

Treatment Patterns and Outcomes of Young Female Early Breast Cancer in Taiwan.

Treatment Patterns and Outcomes of Young Female Early Breast Cancer in Taiwan.

Treatment Patterns and Outcomes of Young Female Early Breast Cancer in Taiwan.

Young female early breast cancer (≤ 40 years) treatment presents unique challenges due to its aggressive features. Using data from the Taiwan Cancer Registry (2007-2017), this study investigated its clinical characteristics, treatment patterns, and prognostic factors. The proportion of young female breast cancer declined from 12% to 8% during the study period. Triple-negative (TN) breast cancer was more prevalent in younger patients, while hormone receptor-positive (HR+)/human epidermal growth factor receptor 2-negative subtypes increased with age. Stages II and III were observed more frequently in older patients, whereas extremely young patients (20-29 years) exhibited compromised overall and recurrence-free survival. Subtype analysis revealed worse outcomes for TN and hormone receptor-negative/human epidermal growth factor receptor 2-positive (HER2+) cases. Treatment patterns showed that targeted therapy was more commonly administered to younger patients with HER2+, while endocrine therapy was used less frequently for HR+ cases, reflecting tolerability and treatment compliance challenges. Future research should focus on optimizing therapeutic strategies and addressing long-term survivorship to enhance care for young women with breast cancer.

求助全文
通过发布文献求助,成功后即可免费获取论文全文。 去求助
来源期刊
Journal of Breast Cancer
Journal of Breast Cancer 医学-肿瘤学
CiteScore
3.80
自引率
4.20%
发文量
43
审稿时长
6-12 weeks
期刊介绍: The Journal of Breast Cancer (abbreviated as ''J Breast Cancer'') is the official journal of the Korean Breast Cancer Society, which is issued quarterly in the last day of March, June, September, and December each year since 1998. All the contents of the Journal is available online at the official journal website (http://ejbc.kr) under open access policy. The journal aims to provide a forum for the academic communication between medical doctors, basic science researchers, and health care professionals to be interested in breast cancer. To get this aim, we publish original investigations, review articles, brief communications including case reports, editorial opinions on the topics of importance to breast cancer, and welcome new research findings and epidemiological studies, especially when they contain a regional data to grab the international reader''s interest. Although the journal is mainly dealing with the issues of breast cancer, rare cases among benign breast diseases or evidence-based scientifically written articles providing useful information for clinical practice can be published as well.
×
引用
GB/T 7714-2015
复制
MLA
复制
APA
复制
导出至
BibTeX EndNote RefMan NoteFirst NoteExpress
×
提示
您的信息不完整,为了账户安全,请先补充。
现在去补充
×
提示
您因"违规操作"
具体请查看互助需知
我知道了
×
提示
确定
请完成安全验证×
copy
已复制链接
快去分享给好友吧!
我知道了
右上角分享
点击右上角分享
0
联系我们:info@booksci.cn Book学术提供免费学术资源搜索服务,方便国内外学者检索中英文文献。致力于提供最便捷和优质的服务体验。 Copyright © 2023 布克学术 All rights reserved.
京ICP备2023020795号-1
ghs 京公网安备 11010802042870号
Book学术文献互助
Book学术文献互助群
群 号:604180095
Book学术官方微信