严重哮喘生物治疗的有效性:一项回顾性现实世界研究。

IF 2.3 4区 医学 Q2 MEDICINE, GENERAL & INTERNAL
Croatian Medical Journal Pub Date : 2025-02-28
Marina Lampalo, Anamarija Štajduhar, Dina Rnjak, Hana Safić Stanić, Sanja Popović-Grle
{"title":"严重哮喘生物治疗的有效性:一项回顾性现实世界研究。","authors":"Marina Lampalo, Anamarija Štajduhar, Dina Rnjak, Hana Safić Stanić, Sanja Popović-Grle","doi":"","DOIUrl":null,"url":null,"abstract":"<p><p>Aim- To compare the effectiveness of different biologic medications for the treatment of severe asthma.</p><p><strong>Methods: </strong>We retrospectively collected data on 74 patients treated with one of four different biologics (omalizumab, mepolizumab, reslizumab, or benralizumab) at the Jordanovac Clinic for Pulmonary Diseases, Zagreb, Croatia for at least two years. The patients were compared in terms of the number of exacerbations, dose of oral corticosteroids (OCS), asthma control test (ACT), forced expiratory volume in 1 second (FEV1), forced vital capacity, fraction of exhaled nitric oxide (FeNO), number of blood eosinophils, and total immunoglobulin E (IgE).</p><p><strong>Results: </strong>All treatment outcome measures, except FeNO, significantly improved in the two-year period (P<0.001). The number of acute exacerbations decreased in all groups. Reslizumab-treated patients showed the greatest improvement in ACT score, and the omalizumab-treated patients experienced the least (P=0.018). The benralizumab group showed the greatest reduction in eosinophil number, and the omalizumab group the lowest (P<0.001). The mepolizumab group showed the greatest improvement in FEV1.</p><p><strong>Conclusion: </strong>Both anti-IgE and anti-IL-5 treatments effectively reduced exacerbation rates, OCS daily needs, and symptom burden. Multiple predictive biomarkers are needed for the best individual monitoring.</p>","PeriodicalId":10796,"journal":{"name":"Croatian Medical Journal","volume":"66 1","pages":"3-12"},"PeriodicalIF":2.3000,"publicationDate":"2025-02-28","publicationTypes":"Journal Article","fieldsOfStudy":null,"isOpenAccess":false,"openAccessPdf":"https://www.ncbi.nlm.nih.gov/pmc/articles/PMC11947975/pdf/","citationCount":"0","resultStr":"{\"title\":\"Effectiveness of biological therapy in severe asthma: a retrospective real-world study.\",\"authors\":\"Marina Lampalo, Anamarija Štajduhar, Dina Rnjak, Hana Safić Stanić, Sanja Popović-Grle\",\"doi\":\"\",\"DOIUrl\":null,\"url\":null,\"abstract\":\"<p><p>Aim- To compare the effectiveness of different biologic medications for the treatment of severe asthma.</p><p><strong>Methods: </strong>We retrospectively collected data on 74 patients treated with one of four different biologics (omalizumab, mepolizumab, reslizumab, or benralizumab) at the Jordanovac Clinic for Pulmonary Diseases, Zagreb, Croatia for at least two years. The patients were compared in terms of the number of exacerbations, dose of oral corticosteroids (OCS), asthma control test (ACT), forced expiratory volume in 1 second (FEV1), forced vital capacity, fraction of exhaled nitric oxide (FeNO), number of blood eosinophils, and total immunoglobulin E (IgE).</p><p><strong>Results: </strong>All treatment outcome measures, except FeNO, significantly improved in the two-year period (P<0.001). The number of acute exacerbations decreased in all groups. Reslizumab-treated patients showed the greatest improvement in ACT score, and the omalizumab-treated patients experienced the least (P=0.018). The benralizumab group showed the greatest reduction in eosinophil number, and the omalizumab group the lowest (P<0.001). The mepolizumab group showed the greatest improvement in FEV1.</p><p><strong>Conclusion: </strong>Both anti-IgE and anti-IL-5 treatments effectively reduced exacerbation rates, OCS daily needs, and symptom burden. Multiple predictive biomarkers are needed for the best individual monitoring.</p>\",\"PeriodicalId\":10796,\"journal\":{\"name\":\"Croatian Medical Journal\",\"volume\":\"66 1\",\"pages\":\"3-12\"},\"PeriodicalIF\":2.3000,\"publicationDate\":\"2025-02-28\",\"publicationTypes\":\"Journal Article\",\"fieldsOfStudy\":null,\"isOpenAccess\":false,\"openAccessPdf\":\"https://www.ncbi.nlm.nih.gov/pmc/articles/PMC11947975/pdf/\",\"citationCount\":\"0\",\"resultStr\":null,\"platform\":\"Semanticscholar\",\"paperid\":null,\"PeriodicalName\":\"Croatian Medical Journal\",\"FirstCategoryId\":\"3\",\"ListUrlMain\":\"\",\"RegionNum\":4,\"RegionCategory\":\"医学\",\"ArticlePicture\":[],\"TitleCN\":null,\"AbstractTextCN\":null,\"PMCID\":null,\"EPubDate\":\"\",\"PubModel\":\"\",\"JCR\":\"Q2\",\"JCRName\":\"MEDICINE, GENERAL & INTERNAL\",\"Score\":null,\"Total\":0}","platform":"Semanticscholar","paperid":null,"PeriodicalName":"Croatian Medical Journal","FirstCategoryId":"3","ListUrlMain":"","RegionNum":4,"RegionCategory":"医学","ArticlePicture":[],"TitleCN":null,"AbstractTextCN":null,"PMCID":null,"EPubDate":"","PubModel":"","JCR":"Q2","JCRName":"MEDICINE, GENERAL & INTERNAL","Score":null,"Total":0}
引用次数: 0

摘要

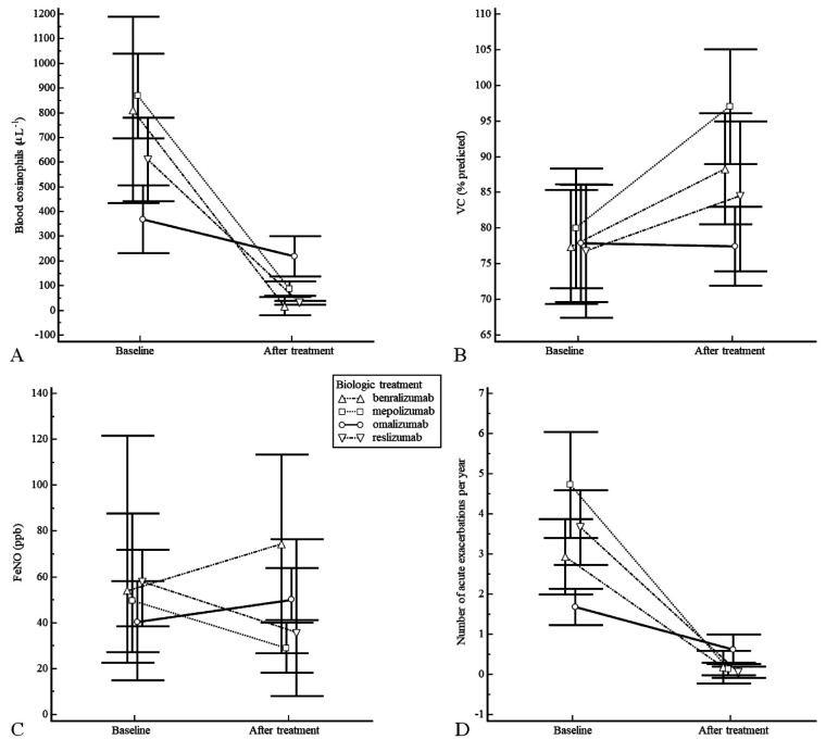
目的:比较不同生物药物治疗重症哮喘的疗效。方法:我们回顾性收集了74名在克罗地亚萨格勒布Jordanovac肺病诊所接受四种不同生物制剂(omalizumab, mepolizumab, reslizumab或benralizumab)治疗至少两年的患者的数据。比较患者的加重次数、口服皮质类固醇(OCS)剂量、哮喘控制试验(ACT)、1秒用力呼气量(FEV1)、用力肺活量、呼出一氧化氮(FeNO)分数、血嗜酸性粒细胞数量和总免疫球蛋白E (IgE)。结果:2年期间,除FeNO外,所有治疗指标均有显著改善(p结论:抗ige和抗il -5治疗均可有效降低急性加重率、OCS日需要量和症状负担。为了实现最佳的个体监测,需要多种预测性生物标志物。
本文章由计算机程序翻译,如有差异,请以英文原文为准。

Effectiveness of biological therapy in severe asthma: a retrospective real-world study.

Effectiveness of biological therapy in severe asthma: a retrospective real-world study.

Effectiveness of biological therapy in severe asthma: a retrospective real-world study.

Effectiveness of biological therapy in severe asthma: a retrospective real-world study.

Aim- To compare the effectiveness of different biologic medications for the treatment of severe asthma.

Methods: We retrospectively collected data on 74 patients treated with one of four different biologics (omalizumab, mepolizumab, reslizumab, or benralizumab) at the Jordanovac Clinic for Pulmonary Diseases, Zagreb, Croatia for at least two years. The patients were compared in terms of the number of exacerbations, dose of oral corticosteroids (OCS), asthma control test (ACT), forced expiratory volume in 1 second (FEV1), forced vital capacity, fraction of exhaled nitric oxide (FeNO), number of blood eosinophils, and total immunoglobulin E (IgE).

Results: All treatment outcome measures, except FeNO, significantly improved in the two-year period (P<0.001). The number of acute exacerbations decreased in all groups. Reslizumab-treated patients showed the greatest improvement in ACT score, and the omalizumab-treated patients experienced the least (P=0.018). The benralizumab group showed the greatest reduction in eosinophil number, and the omalizumab group the lowest (P<0.001). The mepolizumab group showed the greatest improvement in FEV1.

Conclusion: Both anti-IgE and anti-IL-5 treatments effectively reduced exacerbation rates, OCS daily needs, and symptom burden. Multiple predictive biomarkers are needed for the best individual monitoring.

求助全文
通过发布文献求助,成功后即可免费获取论文全文。 去求助
来源期刊
Croatian Medical Journal
Croatian Medical Journal 医学-医学:内科
CiteScore
3.00
自引率
5.30%
发文量
105
审稿时长
6-12 weeks
期刊介绍: Croatian Medical Journal (CMJ) is an international peer reviewed journal open to scientists from all fields of biomedicine and health related research. Although CMJ welcomes all contributions that increase and expand on medical knowledge, the two areas are of the special interest: topics globally relevant for biomedicine and health and medicine in developing and emerging countries.
×
引用
GB/T 7714-2015
复制
MLA
复制
APA
复制
导出至
BibTeX EndNote RefMan NoteFirst NoteExpress
×
提示
您的信息不完整,为了账户安全,请先补充。
现在去补充
×
提示
您因"违规操作"
具体请查看互助需知
我知道了
×
提示
确定
请完成安全验证×
copy
已复制链接
快去分享给好友吧!
我知道了
右上角分享
点击右上角分享
0
联系我们:info@booksci.cn Book学术提供免费学术资源搜索服务,方便国内外学者检索中英文文献。致力于提供最便捷和优质的服务体验。 Copyright © 2023 布克学术 All rights reserved.
京ICP备2023020795号-1
ghs 京公网安备 11010802042870号
Book学术文献互助
Book学术文献互助群
群 号:604180095
Book学术官方微信