环境温度与韩牛体重的相关性研究

IF 2.5 2区 农林科学 Q1 AGRICULTURE, DAIRY & ANIMAL SCIENCE
Animal Bioscience Pub Date : 2025-08-01 Epub Date: 2025-02-27 DOI:10.5713/ab.24.0489
Hyun Sang Kim, Jungeun Kim, Pilnam Seong, Won-Young Lee, Seongshin Lee, Jisoo Wi, Hye Ran Kim, Sung Dae Lee, Yookyung Lee
{"title":"环境温度与韩牛体重的相关性研究","authors":"Hyun Sang Kim, Jungeun Kim, Pilnam Seong, Won-Young Lee, Seongshin Lee, Jisoo Wi, Hye Ran Kim, Sung Dae Lee, Yookyung Lee","doi":"10.5713/ab.24.0489","DOIUrl":null,"url":null,"abstract":"<p><strong>Objective: </strong>Changes in ambient temperature negatively impact livestock productivity, with thermal stress causing physiological changes that affect beef quality and quantity. The calf stage is critical, as thermal stress during this period can have lasting effects on productivity. This study examined the impact of weather conditions on calf growth, carcass traits, and their interrelationships in Korean native Hanwoo steers.</p><p><strong>Methods: </strong>Data from 8,727 male Hanwoo calves were selected from 41,107 data points. Meteorological data were collected from 60 cities in Korea between 2016 and 2019. The input data included calf growth, carcass traits, and weather conditions at birth for each calf.</p><p><strong>Results: </strong>Temperature, relative humidity (RH), and temperature-humidity index (THI) increased from winter to summer and decreased from summer to winter. Summer-born calves had significantly lower birth body weight (BBW) than those born in winter. The average daily gain (ADG) of the calves was highest in winter and lowest in spring and fall. A high carcass weight (CW) was observed in steers born in summer and winter. BBW and ADG were negatively correlated with ambient temperature, RH, and THI. Positive relationships were observed between BBW, ADG, and CW. Only CW was positively correlated with the meat quality grade of steers. Thus, temperature negatively affects the BBW of male Hanwoo calves, in turn affecting the daily gain, CW, and meat quality grade.</p><p><strong>Conclusion: </strong>This study demonstrates that temperature, RH, and THI adversely affect the BBW of male Hanwoo calves, leading to reduced ADG and influencing CW and meat quality grade. Negative correlations were observed between BBW, ADG, and environmental factors, while CW showed positive correlations with BBW, ADG, and meat quality grade. These findings highlight the critical impact of climatic conditions on the growth performance and productivity of Hanwoo cattle.</p>","PeriodicalId":7825,"journal":{"name":"Animal Bioscience","volume":" ","pages":"1817-1825"},"PeriodicalIF":2.5000,"publicationDate":"2025-08-01","publicationTypes":"Journal Article","fieldsOfStudy":null,"isOpenAccess":false,"openAccessPdf":"https://www.ncbi.nlm.nih.gov/pmc/articles/PMC12229907/pdf/","citationCount":"0","resultStr":"{\"title\":\"Correlation between ambient temperature and body weight of Hanwoo calves (Korean native cattle).\",\"authors\":\"Hyun Sang Kim, Jungeun Kim, Pilnam Seong, Won-Young Lee, Seongshin Lee, Jisoo Wi, Hye Ran Kim, Sung Dae Lee, Yookyung Lee\",\"doi\":\"10.5713/ab.24.0489\",\"DOIUrl\":null,\"url\":null,\"abstract\":\"<p><strong>Objective: </strong>Changes in ambient temperature negatively impact livestock productivity, with thermal stress causing physiological changes that affect beef quality and quantity. The calf stage is critical, as thermal stress during this period can have lasting effects on productivity. This study examined the impact of weather conditions on calf growth, carcass traits, and their interrelationships in Korean native Hanwoo steers.</p><p><strong>Methods: </strong>Data from 8,727 male Hanwoo calves were selected from 41,107 data points. Meteorological data were collected from 60 cities in Korea between 2016 and 2019. The input data included calf growth, carcass traits, and weather conditions at birth for each calf.</p><p><strong>Results: </strong>Temperature, relative humidity (RH), and temperature-humidity index (THI) increased from winter to summer and decreased from summer to winter. Summer-born calves had significantly lower birth body weight (BBW) than those born in winter. The average daily gain (ADG) of the calves was highest in winter and lowest in spring and fall. A high carcass weight (CW) was observed in steers born in summer and winter. BBW and ADG were negatively correlated with ambient temperature, RH, and THI. Positive relationships were observed between BBW, ADG, and CW. Only CW was positively correlated with the meat quality grade of steers. Thus, temperature negatively affects the BBW of male Hanwoo calves, in turn affecting the daily gain, CW, and meat quality grade.</p><p><strong>Conclusion: </strong>This study demonstrates that temperature, RH, and THI adversely affect the BBW of male Hanwoo calves, leading to reduced ADG and influencing CW and meat quality grade. Negative correlations were observed between BBW, ADG, and environmental factors, while CW showed positive correlations with BBW, ADG, and meat quality grade. These findings highlight the critical impact of climatic conditions on the growth performance and productivity of Hanwoo cattle.</p>\",\"PeriodicalId\":7825,\"journal\":{\"name\":\"Animal Bioscience\",\"volume\":\" \",\"pages\":\"1817-1825\"},\"PeriodicalIF\":2.5000,\"publicationDate\":\"2025-08-01\",\"publicationTypes\":\"Journal Article\",\"fieldsOfStudy\":null,\"isOpenAccess\":false,\"openAccessPdf\":\"https://www.ncbi.nlm.nih.gov/pmc/articles/PMC12229907/pdf/\",\"citationCount\":\"0\",\"resultStr\":null,\"platform\":\"Semanticscholar\",\"paperid\":null,\"PeriodicalName\":\"Animal Bioscience\",\"FirstCategoryId\":\"97\",\"ListUrlMain\":\"https://doi.org/10.5713/ab.24.0489\",\"RegionNum\":2,\"RegionCategory\":\"农林科学\",\"ArticlePicture\":[],\"TitleCN\":null,\"AbstractTextCN\":null,\"PMCID\":null,\"EPubDate\":\"2025/2/27 0:00:00\",\"PubModel\":\"Epub\",\"JCR\":\"Q1\",\"JCRName\":\"AGRICULTURE, DAIRY & ANIMAL SCIENCE\",\"Score\":null,\"Total\":0}","platform":"Semanticscholar","paperid":null,"PeriodicalName":"Animal Bioscience","FirstCategoryId":"97","ListUrlMain":"https://doi.org/10.5713/ab.24.0489","RegionNum":2,"RegionCategory":"农林科学","ArticlePicture":[],"TitleCN":null,"AbstractTextCN":null,"PMCID":null,"EPubDate":"2025/2/27 0:00:00","PubModel":"Epub","JCR":"Q1","JCRName":"AGRICULTURE, DAIRY & ANIMAL SCIENCE","Score":null,"Total":0}
引用次数: 0

摘要

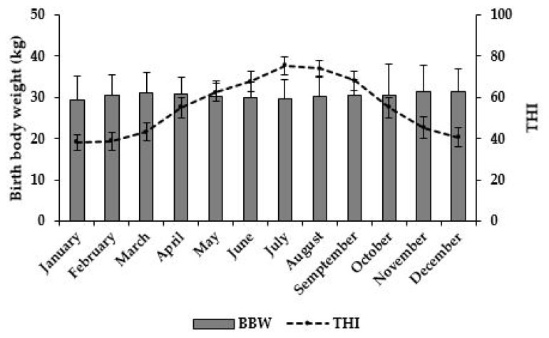
目的:环境温度的变化会对畜牧业生产产生负面影响,热应激引起的生理变化会影响牛肉的质量和数量。小牛阶段是至关重要的,因为这一时期的热应力会对生产力产生持久的影响。本研究考察了天气条件对韩国本土韩牛犊牛生长、胴体性状及其相互关系的影响。方法:从41,107个数据点中选取8,727头韩宇公犊的数据。2016年至2019年期间,韩国60个城市收集了气象数据。输入的数据包括每头小牛的生长、胴体性状和出生时的天气条件。结果:温度、相对湿度(RH)和温湿度指数(THI)由冬至夏依次升高,由夏至冬依次降低。夏季出生的小牛体重(BBW)明显低于冬季出生的小牛。犊牛平均日增重在冬季最高,春季和秋季最低。夏季和冬季出生的阉牛胴体重较高。BBW和ADG与环境温度、RH和THI呈负相关。BBW、ADG和CW呈正相关。只有CW与肉质等级呈正相关。因此,温度对雄性韩宇犊牛的体重有负向影响,进而影响日增重、连续重和肉质等级。结论:本研究表明,温度、相对湿度和THI对韩宇公犊牛BBW有不利影响,导致日增重降低,影响连续重和肉质等级。体重、日增重与环境因子呈负相关,肉质等级与体重、日增重呈正相关。这些发现突出了气候条件对韩宇牛生长性能和生产力的关键影响。
本文章由计算机程序翻译,如有差异,请以英文原文为准。

Correlation between ambient temperature and body weight of Hanwoo calves (Korean native cattle).

Correlation between ambient temperature and body weight of Hanwoo calves (Korean native cattle).

Correlation between ambient temperature and body weight of Hanwoo calves (Korean native cattle).

Objective: Changes in ambient temperature negatively impact livestock productivity, with thermal stress causing physiological changes that affect beef quality and quantity. The calf stage is critical, as thermal stress during this period can have lasting effects on productivity. This study examined the impact of weather conditions on calf growth, carcass traits, and their interrelationships in Korean native Hanwoo steers.

Methods: Data from 8,727 male Hanwoo calves were selected from 41,107 data points. Meteorological data were collected from 60 cities in Korea between 2016 and 2019. The input data included calf growth, carcass traits, and weather conditions at birth for each calf.

Results: Temperature, relative humidity (RH), and temperature-humidity index (THI) increased from winter to summer and decreased from summer to winter. Summer-born calves had significantly lower birth body weight (BBW) than those born in winter. The average daily gain (ADG) of the calves was highest in winter and lowest in spring and fall. A high carcass weight (CW) was observed in steers born in summer and winter. BBW and ADG were negatively correlated with ambient temperature, RH, and THI. Positive relationships were observed between BBW, ADG, and CW. Only CW was positively correlated with the meat quality grade of steers. Thus, temperature negatively affects the BBW of male Hanwoo calves, in turn affecting the daily gain, CW, and meat quality grade.

Conclusion: This study demonstrates that temperature, RH, and THI adversely affect the BBW of male Hanwoo calves, leading to reduced ADG and influencing CW and meat quality grade. Negative correlations were observed between BBW, ADG, and environmental factors, while CW showed positive correlations with BBW, ADG, and meat quality grade. These findings highlight the critical impact of climatic conditions on the growth performance and productivity of Hanwoo cattle.

求助全文
通过发布文献求助,成功后即可免费获取论文全文。 去求助
来源期刊
Animal Bioscience
Animal Bioscience AGRICULTURE, DAIRY & ANIMAL SCIENCE-
CiteScore
5.00
自引率
0.00%
发文量
223
审稿时长
3 months
×
引用
GB/T 7714-2015
复制
MLA
复制
APA
复制
导出至
BibTeX EndNote RefMan NoteFirst NoteExpress
×
提示
您的信息不完整,为了账户安全,请先补充。
现在去补充
×
提示
您因"违规操作"
具体请查看互助需知
我知道了
×
提示
确定
请完成安全验证×
copy
已复制链接
快去分享给好友吧!
我知道了
右上角分享
点击右上角分享
0
联系我们:info@booksci.cn Book学术提供免费学术资源搜索服务,方便国内外学者检索中英文文献。致力于提供最便捷和优质的服务体验。 Copyright © 2023 布克学术 All rights reserved.
京ICP备2023020795号-1
ghs 京公网安备 11010802042870号
Book学术文献互助
Book学术文献互助群
群 号:604180095
Book学术官方微信