资优个体的心理健康:智力与一般心理健康非线性关系的研究。

IF 1.2 Q3 PSYCHOLOGY, SOCIAL
Health Psychology Report Pub Date : 2024-08-13 eCollection Date: 2025-01-01 DOI:10.5114/hpr/187337
Stanisław K Czerwiński, Paweł A Atroszko, Roman Konarski
{"title":"资优个体的心理健康:智力与一般心理健康非线性关系的研究。","authors":"Stanisław K Czerwiński, Paweł A Atroszko, Roman Konarski","doi":"10.5114/hpr/187337","DOIUrl":null,"url":null,"abstract":"<p><strong>Background: </strong>Despite intelligence being generally related to better mental health, individuals with extremely high levels of intelligence (also often referred to as gifted) are frequently viewed to be socially maladjusted, emotionally unstable, and eccentric. Although this view has existed for decades, the scientific data on this subject are highly inconsistent and suffer from several methodological limitations.</p><p><strong>Participants and procedure: </strong>In this study, to test whether the relationship between general intelligence and general mental health is nonlinear in such a way that at extreme values of intelligence the relationship turns from positive to negative the data from eight waves of the 1970 British Cohort Study (BCS70) were used (<i>N</i> range from 2,870 to 7,984), with intelligence being assessed at age 10, and mental health being assessed with several different measures at ages 16, 26, 30, 34, 42, 46 and 50. Quadratic regression, as well as spline regression, which divides the dataset into intervals, creates a separate regression for each interval and then smooths out the breakpoints, was used for analyses.</p><p><strong>Results: </strong>The results showed that the nonlinear models generally fit the data better than the corresponding linear models.</p><p><strong>Conclusions: </strong>At high values of intelligence, individuals might begin to experience unique issues affecting their mental health, despite their mental health being at potentially the same or higher level than those with average intelligence. Intellectually gifted individuals have a large potential to have a positive impact on the functioning of the whole society. Recognizing and understanding their problems may prove to be of great importance.</p>","PeriodicalId":44293,"journal":{"name":"Health Psychology Report","volume":"13 1","pages":"39-54"},"PeriodicalIF":1.2000,"publicationDate":"2024-08-13","publicationTypes":"Journal Article","fieldsOfStudy":null,"isOpenAccess":false,"openAccessPdf":"https://www.ncbi.nlm.nih.gov/pmc/articles/PMC11873881/pdf/","citationCount":"0","resultStr":"{\"title\":\"Mental health of intellectually gifted individuals: investigating the nonlinearity of the relationship between intelligence and general mental health.\",\"authors\":\"Stanisław K Czerwiński, Paweł A Atroszko, Roman Konarski\",\"doi\":\"10.5114/hpr/187337\",\"DOIUrl\":null,\"url\":null,\"abstract\":\"<p><strong>Background: </strong>Despite intelligence being generally related to better mental health, individuals with extremely high levels of intelligence (also often referred to as gifted) are frequently viewed to be socially maladjusted, emotionally unstable, and eccentric. Although this view has existed for decades, the scientific data on this subject are highly inconsistent and suffer from several methodological limitations.</p><p><strong>Participants and procedure: </strong>In this study, to test whether the relationship between general intelligence and general mental health is nonlinear in such a way that at extreme values of intelligence the relationship turns from positive to negative the data from eight waves of the 1970 British Cohort Study (BCS70) were used (<i>N</i> range from 2,870 to 7,984), with intelligence being assessed at age 10, and mental health being assessed with several different measures at ages 16, 26, 30, 34, 42, 46 and 50. Quadratic regression, as well as spline regression, which divides the dataset into intervals, creates a separate regression for each interval and then smooths out the breakpoints, was used for analyses.</p><p><strong>Results: </strong>The results showed that the nonlinear models generally fit the data better than the corresponding linear models.</p><p><strong>Conclusions: </strong>At high values of intelligence, individuals might begin to experience unique issues affecting their mental health, despite their mental health being at potentially the same or higher level than those with average intelligence. Intellectually gifted individuals have a large potential to have a positive impact on the functioning of the whole society. Recognizing and understanding their problems may prove to be of great importance.</p>\",\"PeriodicalId\":44293,\"journal\":{\"name\":\"Health Psychology Report\",\"volume\":\"13 1\",\"pages\":\"39-54\"},\"PeriodicalIF\":1.2000,\"publicationDate\":\"2024-08-13\",\"publicationTypes\":\"Journal Article\",\"fieldsOfStudy\":null,\"isOpenAccess\":false,\"openAccessPdf\":\"https://www.ncbi.nlm.nih.gov/pmc/articles/PMC11873881/pdf/\",\"citationCount\":\"0\",\"resultStr\":null,\"platform\":\"Semanticscholar\",\"paperid\":null,\"PeriodicalName\":\"Health Psychology Report\",\"FirstCategoryId\":\"1085\",\"ListUrlMain\":\"https://doi.org/10.5114/hpr/187337\",\"RegionNum\":0,\"RegionCategory\":null,\"ArticlePicture\":[],\"TitleCN\":null,\"AbstractTextCN\":null,\"PMCID\":null,\"EPubDate\":\"2025/1/1 0:00:00\",\"PubModel\":\"eCollection\",\"JCR\":\"Q3\",\"JCRName\":\"PSYCHOLOGY, SOCIAL\",\"Score\":null,\"Total\":0}","platform":"Semanticscholar","paperid":null,"PeriodicalName":"Health Psychology Report","FirstCategoryId":"1085","ListUrlMain":"https://doi.org/10.5114/hpr/187337","RegionNum":0,"RegionCategory":null,"ArticlePicture":[],"TitleCN":null,"AbstractTextCN":null,"PMCID":null,"EPubDate":"2025/1/1 0:00:00","PubModel":"eCollection","JCR":"Q3","JCRName":"PSYCHOLOGY, SOCIAL","Score":null,"Total":0}
引用次数: 0

摘要

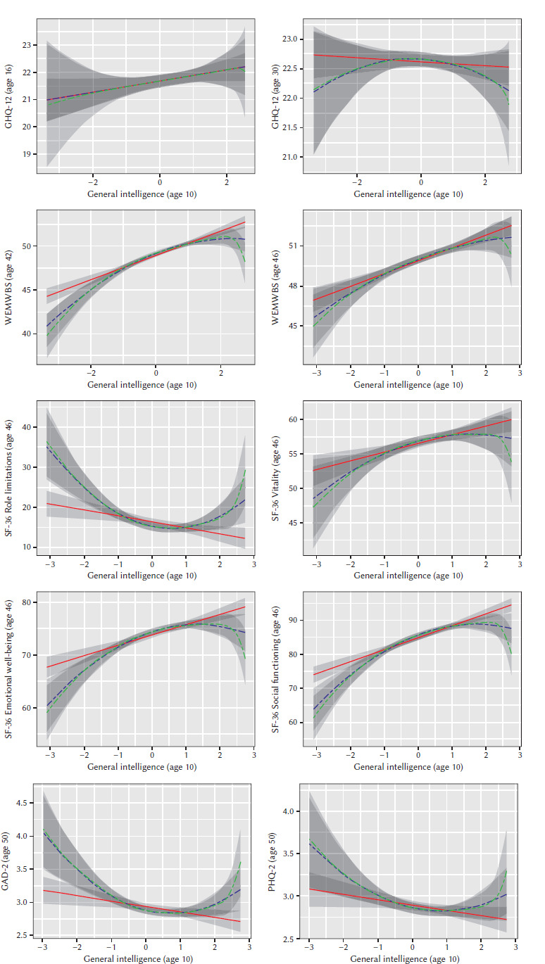
背景:尽管智力通常与良好的心理健康有关,但智力水平极高的人(也通常被称为天才)通常被认为是社会适应不良、情绪不稳定和古怪的。尽管这一观点已经存在了几十年,但关于这一主题的科学数据是高度不一致的,并且受到一些方法上的限制。参与者及程序:在本研究中,为了检验一般智力和一般心理健康之间的关系是否非线性,即在智力极值时,关系由正向负转变,使用了1970年英国队列研究(BCS70)的八波数据(N范围从2,870到7,984),在10岁时评估智力,并在16岁、26岁、30岁、34岁、42岁、46岁和50岁时用几种不同的测量方法评估心理健康。二次回归,以及样条回归,将数据集划分为区间,为每个区间创建一个单独的回归,然后平滑断点,用于分析。结果:非线性模型总体上比相应的线性模型更能拟合数据。结论:高智商的个体可能会开始经历影响其心理健康的独特问题,尽管他们的心理健康可能与平均智商相同或更高。有智力天赋的人有很大的潜力对整个社会的运作产生积极的影响。认识和理解他们的问题可能是非常重要的。
本文章由计算机程序翻译,如有差异,请以英文原文为准。

Mental health of intellectually gifted individuals: investigating the nonlinearity of the relationship between intelligence and general mental health.

Mental health of intellectually gifted individuals: investigating the nonlinearity of the relationship between intelligence and general mental health.

Mental health of intellectually gifted individuals: investigating the nonlinearity of the relationship between intelligence and general mental health.

Mental health of intellectually gifted individuals: investigating the nonlinearity of the relationship between intelligence and general mental health.

Background: Despite intelligence being generally related to better mental health, individuals with extremely high levels of intelligence (also often referred to as gifted) are frequently viewed to be socially maladjusted, emotionally unstable, and eccentric. Although this view has existed for decades, the scientific data on this subject are highly inconsistent and suffer from several methodological limitations.

Participants and procedure: In this study, to test whether the relationship between general intelligence and general mental health is nonlinear in such a way that at extreme values of intelligence the relationship turns from positive to negative the data from eight waves of the 1970 British Cohort Study (BCS70) were used (N range from 2,870 to 7,984), with intelligence being assessed at age 10, and mental health being assessed with several different measures at ages 16, 26, 30, 34, 42, 46 and 50. Quadratic regression, as well as spline regression, which divides the dataset into intervals, creates a separate regression for each interval and then smooths out the breakpoints, was used for analyses.

Results: The results showed that the nonlinear models generally fit the data better than the corresponding linear models.

Conclusions: At high values of intelligence, individuals might begin to experience unique issues affecting their mental health, despite their mental health being at potentially the same or higher level than those with average intelligence. Intellectually gifted individuals have a large potential to have a positive impact on the functioning of the whole society. Recognizing and understanding their problems may prove to be of great importance.

求助全文
通过发布文献求助,成功后即可免费获取论文全文。 去求助
来源期刊
Health Psychology Report
Health Psychology Report PSYCHOLOGY, SOCIAL-
CiteScore
3.30
自引率
15.00%
发文量
21
审稿时长
8 weeks
×
引用
GB/T 7714-2015
复制
MLA
复制
APA
复制
导出至
BibTeX EndNote RefMan NoteFirst NoteExpress
×
提示
您的信息不完整,为了账户安全,请先补充。
现在去补充
×
提示
您因"违规操作"
具体请查看互助需知
我知道了
×
提示
确定
请完成安全验证×
copy
已复制链接
快去分享给好友吧!
我知道了
右上角分享
点击右上角分享
0
联系我们:info@booksci.cn Book学术提供免费学术资源搜索服务,方便国内外学者检索中英文文献。致力于提供最便捷和优质的服务体验。 Copyright © 2023 布克学术 All rights reserved.
京ICP备2023020795号-1
ghs 京公网安备 11010802042870号
Book学术文献互助
Book学术文献互助群
群 号:604180095
Book学术官方微信