基于htt和基于uw的灌注溶液在亚常温肝机灌注中的性能相同。

IF 3.9 2区 综合性期刊 Q1 MULTIDISCIPLINARY SCIENCES
Bettina Leber, Sabrina Stimmeder, Kathrin Briendl, Jennifer Weber, Lisa Rohrhofer, Ariane Aigelsreiter, Tobias Niedrist, Robert Sucher, Philipp Stiegler
{"title":"基于htt和基于uw的灌注溶液在亚常温肝机灌注中的性能相同。","authors":"Bettina Leber, Sabrina Stimmeder, Kathrin Briendl, Jennifer Weber, Lisa Rohrhofer, Ariane Aigelsreiter, Tobias Niedrist, Robert Sucher, Philipp Stiegler","doi":"10.1038/s41598-025-90799-2","DOIUrl":null,"url":null,"abstract":"<p><p>Machine perfusion (MP) is gaining importance in liver transplantation, the only cure for many end-stage liver diseases. Varieties of different MP protocols are available. Currently, various MP protocols are available, differing not only in perfusion temperature but also in the specific perfusion solution required. We aimed to investigate the performance of an HTK-based perfusate during sub-normothermic MP (SNMP) of discarded human liver grafts compared to that of a UW-based solution. Twenty discarded livers (rejected for transplantation by all centers) were subjected to ex-vivo SNMP at 21°C with either HTK- or UW-based solution for 12 h. Perfusate and tissue samples collected before the start, after 6 h, and at the end of SNMP were analyzed for liver enzymes, along with mRNA expression of perfusate and tissue markers associated with organ damage. Hepatocellular viability was assessed by measuring bile production, monitoring pH stability, and analyzing histological changes in HE stained tissue sections. After propensity score matching 16 livers were analyzed. Overall, no differences between HTK- and UW-based solution were detected, except for an increased MLKL mRNA expression and impaired pH stability during SNMP with HTK-based perfusate. No other investigated parameters of cell injury, inflammation or hepatocellular viability supported this finding. Bile production was higher in the 6 HTK-perfused livers compared to the three UW-perfused livers that produced bile. Overall, these findings suggest that HTK performs comparably to a UW-based solution during 12 h of liver SNMP.</p>","PeriodicalId":21811,"journal":{"name":"Scientific Reports","volume":"15 1","pages":"7601"},"PeriodicalIF":3.9000,"publicationDate":"2025-03-04","publicationTypes":"Journal Article","fieldsOfStudy":null,"isOpenAccess":false,"openAccessPdf":"https://www.ncbi.nlm.nih.gov/pmc/articles/PMC11880568/pdf/","citationCount":"0","resultStr":"{\"title\":\"Equal performance of HTK-based and UW-based perfusion solutions in sub-normothermic liver machine perfusion.\",\"authors\":\"Bettina Leber, Sabrina Stimmeder, Kathrin Briendl, Jennifer Weber, Lisa Rohrhofer, Ariane Aigelsreiter, Tobias Niedrist, Robert Sucher, Philipp Stiegler\",\"doi\":\"10.1038/s41598-025-90799-2\",\"DOIUrl\":null,\"url\":null,\"abstract\":\"<p><p>Machine perfusion (MP) is gaining importance in liver transplantation, the only cure for many end-stage liver diseases. Varieties of different MP protocols are available. Currently, various MP protocols are available, differing not only in perfusion temperature but also in the specific perfusion solution required. We aimed to investigate the performance of an HTK-based perfusate during sub-normothermic MP (SNMP) of discarded human liver grafts compared to that of a UW-based solution. Twenty discarded livers (rejected for transplantation by all centers) were subjected to ex-vivo SNMP at 21°C with either HTK- or UW-based solution for 12 h. Perfusate and tissue samples collected before the start, after 6 h, and at the end of SNMP were analyzed for liver enzymes, along with mRNA expression of perfusate and tissue markers associated with organ damage. Hepatocellular viability was assessed by measuring bile production, monitoring pH stability, and analyzing histological changes in HE stained tissue sections. After propensity score matching 16 livers were analyzed. Overall, no differences between HTK- and UW-based solution were detected, except for an increased MLKL mRNA expression and impaired pH stability during SNMP with HTK-based perfusate. No other investigated parameters of cell injury, inflammation or hepatocellular viability supported this finding. Bile production was higher in the 6 HTK-perfused livers compared to the three UW-perfused livers that produced bile. Overall, these findings suggest that HTK performs comparably to a UW-based solution during 12 h of liver SNMP.</p>\",\"PeriodicalId\":21811,\"journal\":{\"name\":\"Scientific Reports\",\"volume\":\"15 1\",\"pages\":\"7601\"},\"PeriodicalIF\":3.9000,\"publicationDate\":\"2025-03-04\",\"publicationTypes\":\"Journal Article\",\"fieldsOfStudy\":null,\"isOpenAccess\":false,\"openAccessPdf\":\"https://www.ncbi.nlm.nih.gov/pmc/articles/PMC11880568/pdf/\",\"citationCount\":\"0\",\"resultStr\":null,\"platform\":\"Semanticscholar\",\"paperid\":null,\"PeriodicalName\":\"Scientific Reports\",\"FirstCategoryId\":\"103\",\"ListUrlMain\":\"https://doi.org/10.1038/s41598-025-90799-2\",\"RegionNum\":2,\"RegionCategory\":\"综合性期刊\",\"ArticlePicture\":[],\"TitleCN\":null,\"AbstractTextCN\":null,\"PMCID\":null,\"EPubDate\":\"\",\"PubModel\":\"\",\"JCR\":\"Q1\",\"JCRName\":\"MULTIDISCIPLINARY SCIENCES\",\"Score\":null,\"Total\":0}","platform":"Semanticscholar","paperid":null,"PeriodicalName":"Scientific Reports","FirstCategoryId":"103","ListUrlMain":"https://doi.org/10.1038/s41598-025-90799-2","RegionNum":2,"RegionCategory":"综合性期刊","ArticlePicture":[],"TitleCN":null,"AbstractTextCN":null,"PMCID":null,"EPubDate":"","PubModel":"","JCR":"Q1","JCRName":"MULTIDISCIPLINARY SCIENCES","Score":null,"Total":0}
引用次数: 0

摘要

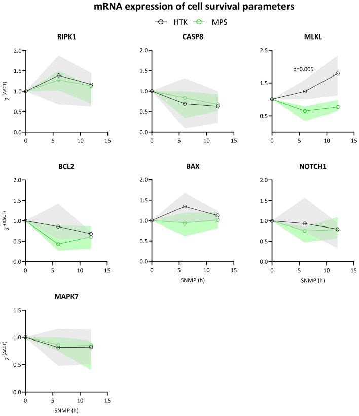
机器灌注(MP)在肝移植中越来越重要,这是许多终末期肝脏疾病的唯一治疗方法。各种不同的MP协议是可用的。目前有多种MP方案,不仅灌注温度不同,而且所需的灌注溶液也不同。我们的目的是研究在丢弃的人肝移植物的亚常温MP (SNMP)期间,与基于uw的解决方案相比,基于htf的灌注液的性能。20个废弃肝脏(所有中心拒绝移植)在21°C下用HTK或uw溶液进行离体SNMP处理12小时。在SNMP开始前、6小时后和SNMP结束时收集灌注液和组织样本,分析肝酶,以及与器官损伤相关的灌注液和组织标志物的mRNA表达。通过测量胆汁生成、监测pH稳定性和分析HE染色组织切片的组织学变化来评估肝细胞活力。倾向评分匹配后,对16只肝脏进行分析。总体而言,除了HTK灌注时MLKL mRNA表达增加和pH稳定性受损外,HTK灌注和uw灌注之间没有发现差异。没有其他研究参数的细胞损伤,炎症或肝细胞活力支持这一发现。6个htk灌注肝的胆汁产量高于3个uw灌注肝的胆汁产量。总的来说,这些发现表明HTK在肝脏SNMP的12小时内表现与基于uw的解决方案相当。
本文章由计算机程序翻译,如有差异,请以英文原文为准。

Equal performance of HTK-based and UW-based perfusion solutions in sub-normothermic liver machine perfusion.

Equal performance of HTK-based and UW-based perfusion solutions in sub-normothermic liver machine perfusion.

Equal performance of HTK-based and UW-based perfusion solutions in sub-normothermic liver machine perfusion.

Equal performance of HTK-based and UW-based perfusion solutions in sub-normothermic liver machine perfusion.

Machine perfusion (MP) is gaining importance in liver transplantation, the only cure for many end-stage liver diseases. Varieties of different MP protocols are available. Currently, various MP protocols are available, differing not only in perfusion temperature but also in the specific perfusion solution required. We aimed to investigate the performance of an HTK-based perfusate during sub-normothermic MP (SNMP) of discarded human liver grafts compared to that of a UW-based solution. Twenty discarded livers (rejected for transplantation by all centers) were subjected to ex-vivo SNMP at 21°C with either HTK- or UW-based solution for 12 h. Perfusate and tissue samples collected before the start, after 6 h, and at the end of SNMP were analyzed for liver enzymes, along with mRNA expression of perfusate and tissue markers associated with organ damage. Hepatocellular viability was assessed by measuring bile production, monitoring pH stability, and analyzing histological changes in HE stained tissue sections. After propensity score matching 16 livers were analyzed. Overall, no differences between HTK- and UW-based solution were detected, except for an increased MLKL mRNA expression and impaired pH stability during SNMP with HTK-based perfusate. No other investigated parameters of cell injury, inflammation or hepatocellular viability supported this finding. Bile production was higher in the 6 HTK-perfused livers compared to the three UW-perfused livers that produced bile. Overall, these findings suggest that HTK performs comparably to a UW-based solution during 12 h of liver SNMP.

求助全文
通过发布文献求助,成功后即可免费获取论文全文。 去求助
来源期刊
Scientific Reports
Scientific Reports Natural Science Disciplines-
CiteScore
7.50
自引率
4.30%
发文量
19567
审稿时长
3.9 months
期刊介绍: We publish original research from all areas of the natural sciences, psychology, medicine and engineering. You can learn more about what we publish by browsing our specific scientific subject areas below or explore Scientific Reports by browsing all articles and collections. Scientific Reports has a 2-year impact factor: 4.380 (2021), and is the 6th most-cited journal in the world, with more than 540,000 citations in 2020 (Clarivate Analytics, 2021). •Engineering Engineering covers all aspects of engineering, technology, and applied science. It plays a crucial role in the development of technologies to address some of the world''s biggest challenges, helping to save lives and improve the way we live. •Physical sciences Physical sciences are those academic disciplines that aim to uncover the underlying laws of nature — often written in the language of mathematics. It is a collective term for areas of study including astronomy, chemistry, materials science and physics. •Earth and environmental sciences Earth and environmental sciences cover all aspects of Earth and planetary science and broadly encompass solid Earth processes, surface and atmospheric dynamics, Earth system history, climate and climate change, marine and freshwater systems, and ecology. It also considers the interactions between humans and these systems. •Biological sciences Biological sciences encompass all the divisions of natural sciences examining various aspects of vital processes. The concept includes anatomy, physiology, cell biology, biochemistry and biophysics, and covers all organisms from microorganisms, animals to plants. •Health sciences The health sciences study health, disease and healthcare. This field of study aims to develop knowledge, interventions and technology for use in healthcare to improve the treatment of patients.
×
引用
GB/T 7714-2015
复制
MLA
复制
APA
复制
导出至
BibTeX EndNote RefMan NoteFirst NoteExpress
×
提示
您的信息不完整,为了账户安全,请先补充。
现在去补充
×
提示
您因"违规操作"
具体请查看互助需知
我知道了
×
提示
确定
请完成安全验证×
copy
已复制链接
快去分享给好友吧!
我知道了
右上角分享
点击右上角分享
0
联系我们:info@booksci.cn Book学术提供免费学术资源搜索服务,方便国内外学者检索中英文文献。致力于提供最便捷和优质的服务体验。 Copyright © 2023 布克学术 All rights reserved.
京ICP备2023020795号-1
ghs 京公网安备 11010802042870号
Book学术文献互助
Book学术文献互助群
群 号:604180095
Book学术官方微信