sacituzumab govitecan在中枢神经系统转移的乳腺癌患者中的真实世界结果。

IF 7.6 2区 医学 Q1 ONCOLOGY
Thomas Grinda, Stefania Morganti, Liangge Hsu, Tae-Kyung Yoo, Ross J Kusmick, Ayal A Aizer, Antonio Giordano, Jose P Leone, Melissa Hughes, Sara M Tolaney, Nancy U Lin, Sarah L Sammons
{"title":"sacituzumab govitecan在中枢神经系统转移的乳腺癌患者中的真实世界结果。","authors":"Thomas Grinda, Stefania Morganti, Liangge Hsu, Tae-Kyung Yoo, Ross J Kusmick, Ayal A Aizer, Antonio Giordano, Jose P Leone, Melissa Hughes, Sara M Tolaney, Nancy U Lin, Sarah L Sammons","doi":"10.1038/s41523-025-00736-9","DOIUrl":null,"url":null,"abstract":"<p><p>Central nervous system (CNS) metastases are associated with poor prognosis in patients with metastatic breast cancer (MBC). In this retrospective study, we investigated the activity of sacituzumab govitecan (SG) in 33 patients with HER2-negative MBC and CNS metastases, including active, stable/treated, and leptomeningeal disease (LMD). SG demonstrated a modest CNS objective response rate of 4/30 (13%) and median CNS-progression-free survival of 2.9 months (95%CI:2.0-4.3) in a heavily pretreated population.</p>","PeriodicalId":19247,"journal":{"name":"NPJ Breast Cancer","volume":"11 1","pages":"22"},"PeriodicalIF":7.6000,"publicationDate":"2025-03-05","publicationTypes":"Journal Article","fieldsOfStudy":null,"isOpenAccess":false,"openAccessPdf":"https://www.ncbi.nlm.nih.gov/pmc/articles/PMC11880407/pdf/","citationCount":"0","resultStr":"{\"title\":\"Real-World outcomes with sacituzumab govitecan among breast cancer patients with central nervous system metastases.\",\"authors\":\"Thomas Grinda, Stefania Morganti, Liangge Hsu, Tae-Kyung Yoo, Ross J Kusmick, Ayal A Aizer, Antonio Giordano, Jose P Leone, Melissa Hughes, Sara M Tolaney, Nancy U Lin, Sarah L Sammons\",\"doi\":\"10.1038/s41523-025-00736-9\",\"DOIUrl\":null,\"url\":null,\"abstract\":\"<p><p>Central nervous system (CNS) metastases are associated with poor prognosis in patients with metastatic breast cancer (MBC). In this retrospective study, we investigated the activity of sacituzumab govitecan (SG) in 33 patients with HER2-negative MBC and CNS metastases, including active, stable/treated, and leptomeningeal disease (LMD). SG demonstrated a modest CNS objective response rate of 4/30 (13%) and median CNS-progression-free survival of 2.9 months (95%CI:2.0-4.3) in a heavily pretreated population.</p>\",\"PeriodicalId\":19247,\"journal\":{\"name\":\"NPJ Breast Cancer\",\"volume\":\"11 1\",\"pages\":\"22\"},\"PeriodicalIF\":7.6000,\"publicationDate\":\"2025-03-05\",\"publicationTypes\":\"Journal Article\",\"fieldsOfStudy\":null,\"isOpenAccess\":false,\"openAccessPdf\":\"https://www.ncbi.nlm.nih.gov/pmc/articles/PMC11880407/pdf/\",\"citationCount\":\"0\",\"resultStr\":null,\"platform\":\"Semanticscholar\",\"paperid\":null,\"PeriodicalName\":\"NPJ Breast Cancer\",\"FirstCategoryId\":\"3\",\"ListUrlMain\":\"https://doi.org/10.1038/s41523-025-00736-9\",\"RegionNum\":2,\"RegionCategory\":\"医学\",\"ArticlePicture\":[],\"TitleCN\":null,\"AbstractTextCN\":null,\"PMCID\":null,\"EPubDate\":\"\",\"PubModel\":\"\",\"JCR\":\"Q1\",\"JCRName\":\"ONCOLOGY\",\"Score\":null,\"Total\":0}","platform":"Semanticscholar","paperid":null,"PeriodicalName":"NPJ Breast Cancer","FirstCategoryId":"3","ListUrlMain":"https://doi.org/10.1038/s41523-025-00736-9","RegionNum":2,"RegionCategory":"医学","ArticlePicture":[],"TitleCN":null,"AbstractTextCN":null,"PMCID":null,"EPubDate":"","PubModel":"","JCR":"Q1","JCRName":"ONCOLOGY","Score":null,"Total":0}
引用次数: 0

摘要

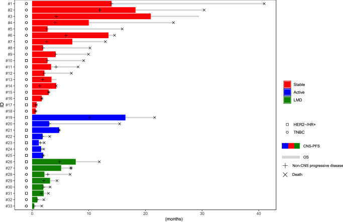
中枢神经系统(CNS)转移与转移性乳腺癌(MBC)患者预后不良相关。在这项回顾性研究中,我们研究了sacituzumab govitecan (SG)在33例her2阴性MBC和CNS转移患者中的活性,包括活动性、稳定性/治疗性和轻脑膜病(LMD)。在重度预处理人群中,SG显示中度中枢神经系统客观缓解率为4/30(13%),中位中枢神经系统无进展生存期为2.9个月(95%CI:2.0-4.3)。
本文章由计算机程序翻译,如有差异,请以英文原文为准。

Real-World outcomes with sacituzumab govitecan among breast cancer patients with central nervous system metastases.

Real-World outcomes with sacituzumab govitecan among breast cancer patients with central nervous system metastases.

Real-World outcomes with sacituzumab govitecan among breast cancer patients with central nervous system metastases.

Real-World outcomes with sacituzumab govitecan among breast cancer patients with central nervous system metastases.

Central nervous system (CNS) metastases are associated with poor prognosis in patients with metastatic breast cancer (MBC). In this retrospective study, we investigated the activity of sacituzumab govitecan (SG) in 33 patients with HER2-negative MBC and CNS metastases, including active, stable/treated, and leptomeningeal disease (LMD). SG demonstrated a modest CNS objective response rate of 4/30 (13%) and median CNS-progression-free survival of 2.9 months (95%CI:2.0-4.3) in a heavily pretreated population.

求助全文
通过发布文献求助,成功后即可免费获取论文全文。 去求助
来源期刊
NPJ Breast Cancer
NPJ Breast Cancer Medicine-Pharmacology (medical)
CiteScore
10.10
自引率
1.70%
发文量
122
审稿时长
9 weeks
期刊介绍: npj Breast Cancer publishes original research articles, reviews, brief correspondence, meeting reports, editorial summaries and hypothesis generating observations which could be unexplained or preliminary findings from experiments, novel ideas, or the framing of new questions that need to be solved. Featured topics of the journal include imaging, immunotherapy, molecular classification of disease, mechanism-based therapies largely targeting signal transduction pathways, carcinogenesis including hereditary susceptibility and molecular epidemiology, survivorship issues including long-term toxicities of treatment and secondary neoplasm occurrence, the biophysics of cancer, mechanisms of metastasis and their perturbation, and studies of the tumor microenvironment.
×
引用
GB/T 7714-2015
复制
MLA
复制
APA
复制
导出至
BibTeX EndNote RefMan NoteFirst NoteExpress
×
提示
您的信息不完整,为了账户安全,请先补充。
现在去补充
×
提示
您因"违规操作"
具体请查看互助需知
我知道了
×
提示
确定
请完成安全验证×
copy
已复制链接
快去分享给好友吧!
我知道了
右上角分享
点击右上角分享
0
联系我们:info@booksci.cn Book学术提供免费学术资源搜索服务,方便国内外学者检索中英文文献。致力于提供最便捷和优质的服务体验。 Copyright © 2023 布克学术 All rights reserved.
京ICP备2023020795号-1
ghs 京公网安备 11010802042870号
Book学术文献互助
Book学术文献互助群
群 号:604180095
Book学术官方微信