血浆来源的神经元外泌体环状rna作为中枢神经系统感染的潜在生物标志物。

IF 3.6 3区 医学 Q2 IMMUNOLOGY
Journal of Immunology Research Pub Date : 2025-02-25 eCollection Date: 2025-01-01 DOI:10.1155/jimr/9363390
Rui Zhang, Bihan Deng, Shuaibing Shi, Geng Lu, Jun Xia, Hongwei Liang, Fei Liu, Shuangshuang Gu, Jun Wang
{"title":"血浆来源的神经元外泌体环状rna作为中枢神经系统感染的潜在生物标志物。","authors":"Rui Zhang, Bihan Deng, Shuaibing Shi, Geng Lu, Jun Xia, Hongwei Liang, Fei Liu, Shuangshuang Gu, Jun Wang","doi":"10.1155/jimr/9363390","DOIUrl":null,"url":null,"abstract":"<p><p>Infections of central nervous system (ICNSs) are inflammatory diseases caused by infectious agents that can infiltrate the brain and spinal cord through various routes, including the bloodstream, peripheral nerves, or cranial nerves. Exosomes are found in plasma and have the capacity to cross the blood-brain barrier (BBB). Exosome constituents, including lipids, proteins, DNA, and RNA, change significantly over time and are correlated with the course of disease. Circular RNA (circRNA) has become a potential biomarker for various diseases, such as ICNSs. This study explores the diagnostic potential of circRNAs derived from brain-derived exosomes in ICNSs. Our research shows that the brain-derived exosomes from patients with CNS illnesses have different patterns of circRNA expression than those from healthy controls. Plasma samples from patients with bacterial ICNSs show significantly elevated levels of hsa_circ__0020840 and hsa_circ_0116108. In contrast, higher expression levels of hsa_circ_0056947 and hsa_circ_0021531 are observed in plasma samples from individuals with viral ICNSs compared to healthy subjects. These observations suggest their potential utility as sensitive and specific biomarkers for these diseases. Moreover, the capacity of circRNAs to be encapsulated within exosomes and released into circulation offers a noninvasive approach for diagnosing ICNSs. These findings highlight the promise of utilizing brain-derived exosomal circRNAs as novel diagnostic markers for ICNSs, which may have implications for improving patient outcomes and disease management.</p>","PeriodicalId":15952,"journal":{"name":"Journal of Immunology Research","volume":"2025 ","pages":"9363390"},"PeriodicalIF":3.6000,"publicationDate":"2025-02-25","publicationTypes":"Journal Article","fieldsOfStudy":null,"isOpenAccess":false,"openAccessPdf":"https://www.ncbi.nlm.nih.gov/pmc/articles/PMC11879592/pdf/","citationCount":"0","resultStr":"{\"title\":\"Plasma-Derived Neuronal Exosomal CircRNAs as Potential Biomarkers for Central Nervous System Infections.\",\"authors\":\"Rui Zhang, Bihan Deng, Shuaibing Shi, Geng Lu, Jun Xia, Hongwei Liang, Fei Liu, Shuangshuang Gu, Jun Wang\",\"doi\":\"10.1155/jimr/9363390\",\"DOIUrl\":null,\"url\":null,\"abstract\":\"<p><p>Infections of central nervous system (ICNSs) are inflammatory diseases caused by infectious agents that can infiltrate the brain and spinal cord through various routes, including the bloodstream, peripheral nerves, or cranial nerves. Exosomes are found in plasma and have the capacity to cross the blood-brain barrier (BBB). Exosome constituents, including lipids, proteins, DNA, and RNA, change significantly over time and are correlated with the course of disease. Circular RNA (circRNA) has become a potential biomarker for various diseases, such as ICNSs. This study explores the diagnostic potential of circRNAs derived from brain-derived exosomes in ICNSs. Our research shows that the brain-derived exosomes from patients with CNS illnesses have different patterns of circRNA expression than those from healthy controls. Plasma samples from patients with bacterial ICNSs show significantly elevated levels of hsa_circ__0020840 and hsa_circ_0116108. In contrast, higher expression levels of hsa_circ_0056947 and hsa_circ_0021531 are observed in plasma samples from individuals with viral ICNSs compared to healthy subjects. These observations suggest their potential utility as sensitive and specific biomarkers for these diseases. Moreover, the capacity of circRNAs to be encapsulated within exosomes and released into circulation offers a noninvasive approach for diagnosing ICNSs. These findings highlight the promise of utilizing brain-derived exosomal circRNAs as novel diagnostic markers for ICNSs, which may have implications for improving patient outcomes and disease management.</p>\",\"PeriodicalId\":15952,\"journal\":{\"name\":\"Journal of Immunology Research\",\"volume\":\"2025 \",\"pages\":\"9363390\"},\"PeriodicalIF\":3.6000,\"publicationDate\":\"2025-02-25\",\"publicationTypes\":\"Journal Article\",\"fieldsOfStudy\":null,\"isOpenAccess\":false,\"openAccessPdf\":\"https://www.ncbi.nlm.nih.gov/pmc/articles/PMC11879592/pdf/\",\"citationCount\":\"0\",\"resultStr\":null,\"platform\":\"Semanticscholar\",\"paperid\":null,\"PeriodicalName\":\"Journal of Immunology Research\",\"FirstCategoryId\":\"3\",\"ListUrlMain\":\"https://doi.org/10.1155/jimr/9363390\",\"RegionNum\":3,\"RegionCategory\":\"医学\",\"ArticlePicture\":[],\"TitleCN\":null,\"AbstractTextCN\":null,\"PMCID\":null,\"EPubDate\":\"2025/1/1 0:00:00\",\"PubModel\":\"eCollection\",\"JCR\":\"Q2\",\"JCRName\":\"IMMUNOLOGY\",\"Score\":null,\"Total\":0}","platform":"Semanticscholar","paperid":null,"PeriodicalName":"Journal of Immunology Research","FirstCategoryId":"3","ListUrlMain":"https://doi.org/10.1155/jimr/9363390","RegionNum":3,"RegionCategory":"医学","ArticlePicture":[],"TitleCN":null,"AbstractTextCN":null,"PMCID":null,"EPubDate":"2025/1/1 0:00:00","PubModel":"eCollection","JCR":"Q2","JCRName":"IMMUNOLOGY","Score":null,"Total":0}
引用次数: 0

摘要

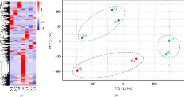
中枢神经系统感染(ICNSs)是由感染因子引起的炎症性疾病,可通过血液、周围神经或脑神经等多种途径浸润脑和脊髓。外泌体存在于血浆中,具有穿越血脑屏障(BBB)的能力。外泌体成分,包括脂质、蛋白质、DNA和RNA,随着时间的推移而发生显著变化,并与疾病的进程相关。环状RNA (circRNA)已成为多种疾病的潜在生物标志物,如ICNSs。本研究探讨了来自脑源性外泌体的circRNAs在ICNSs中的诊断潜力。我们的研究表明,来自中枢神经系统疾病患者的脑源性外泌体与来自健康对照者的circRNA表达模式不同。细菌性icns患者的血浆样本显示hsa_circ_0020840和hsa_circ_0116108水平显著升高。相比之下,hsa_circ_0056947和hsa_circ_0021531在病毒性icns患者的血浆样本中的表达水平高于健康人。这些观察结果表明它们作为这些疾病的敏感和特异性生物标志物的潜在效用。此外,circrna被封装在外泌体中并释放到循环中的能力为诊断icns提供了一种无创方法。这些发现强调了利用脑源性外泌体环状rna作为icns的新诊断标记物的前景,这可能对改善患者预后和疾病管理具有重要意义。
本文章由计算机程序翻译,如有差异,请以英文原文为准。

Plasma-Derived Neuronal Exosomal CircRNAs as Potential Biomarkers for Central Nervous System Infections.

Plasma-Derived Neuronal Exosomal CircRNAs as Potential Biomarkers for Central Nervous System Infections.

Plasma-Derived Neuronal Exosomal CircRNAs as Potential Biomarkers for Central Nervous System Infections.

Plasma-Derived Neuronal Exosomal CircRNAs as Potential Biomarkers for Central Nervous System Infections.

Infections of central nervous system (ICNSs) are inflammatory diseases caused by infectious agents that can infiltrate the brain and spinal cord through various routes, including the bloodstream, peripheral nerves, or cranial nerves. Exosomes are found in plasma and have the capacity to cross the blood-brain barrier (BBB). Exosome constituents, including lipids, proteins, DNA, and RNA, change significantly over time and are correlated with the course of disease. Circular RNA (circRNA) has become a potential biomarker for various diseases, such as ICNSs. This study explores the diagnostic potential of circRNAs derived from brain-derived exosomes in ICNSs. Our research shows that the brain-derived exosomes from patients with CNS illnesses have different patterns of circRNA expression than those from healthy controls. Plasma samples from patients with bacterial ICNSs show significantly elevated levels of hsa_circ__0020840 and hsa_circ_0116108. In contrast, higher expression levels of hsa_circ_0056947 and hsa_circ_0021531 are observed in plasma samples from individuals with viral ICNSs compared to healthy subjects. These observations suggest their potential utility as sensitive and specific biomarkers for these diseases. Moreover, the capacity of circRNAs to be encapsulated within exosomes and released into circulation offers a noninvasive approach for diagnosing ICNSs. These findings highlight the promise of utilizing brain-derived exosomal circRNAs as novel diagnostic markers for ICNSs, which may have implications for improving patient outcomes and disease management.

求助全文
通过发布文献求助,成功后即可免费获取论文全文。 去求助
来源期刊
CiteScore
6.90
自引率
2.40%
发文量
423
审稿时长
15 weeks
期刊介绍: Journal of Immunology Research is a peer-reviewed, Open Access journal that provides a platform for scientists and clinicians working in different areas of immunology and therapy. The journal publishes research articles, review articles, as well as clinical studies related to classical immunology, molecular immunology, clinical immunology, cancer immunology, transplantation immunology, immune pathology, immunodeficiency, autoimmune diseases, immune disorders, and immunotherapy.
×
引用
GB/T 7714-2015
复制
MLA
复制
APA
复制
导出至
BibTeX EndNote RefMan NoteFirst NoteExpress
×
提示
您的信息不完整,为了账户安全,请先补充。
现在去补充
×
提示
您因"违规操作"
具体请查看互助需知
我知道了
×
提示
确定
请完成安全验证×
copy
已复制链接
快去分享给好友吧!
我知道了
右上角分享
点击右上角分享
0
联系我们:info@booksci.cn Book学术提供免费学术资源搜索服务,方便国内外学者检索中英文文献。致力于提供最便捷和优质的服务体验。 Copyright © 2023 布克学术 All rights reserved.
京ICP备2023020795号-1
ghs 京公网安备 11010802042870号
Book学术文献互助
Book学术文献互助群
群 号:604180095
Book学术官方微信