高度非球面眼镜镜片控制近视的效果:一项5年随访研究结果。

IF 4 1区 医学 Q1 OPHTHALMOLOGY
Xue Li, Yingying Huang, Chenyao Liu, Xindan Chang, Zaifeng Cui, Qiulin Yang, Björn Drobe, Mark A Bullimore, Hao Chen, Jinhua Bao
{"title":"高度非球面眼镜镜片控制近视的效果:一项5年随访研究结果。","authors":"Xue Li, Yingying Huang, Chenyao Liu, Xindan Chang, Zaifeng Cui, Qiulin Yang, Björn Drobe, Mark A Bullimore, Hao Chen, Jinhua Bao","doi":"10.1186/s40662-025-00427-3","DOIUrl":null,"url":null,"abstract":"<p><strong>Purpose: </strong>To evaluate myopia control efficacy in myopic children wearing spectacle lenses with highly aspherical lenslets (HAL) for 5 years.</p><p><strong>Methods: </strong>This is a randomized, double-masked extended trial. Myopic children aged 8 to 13 years who were originally allocated to the HAL group in the 2-year clinical trial. The HAL group underwent a 5-year assessment for myopia progression using cycloplegic spherical equivalent refraction (SER) and axial length (AL). An extrapolated single-vision spectacle lenses (ESVL) group was used as a control group. The 5-year myopia progression and axial elongation of the ESVL group was calculated based on the 2-year data from the single-vision spectacle lenses group in the same clinical trial, and the data for the following 3 years was estimated by assuming an annual reduction in SER by 9.7% and in AL by 15%. A generalized linear model approach was used to evaluate the treatment efficacy. The validity of the ESVL group was evaluated by comparing myopia progression in the first year of the 3-year estimates with a single-vision spectacle lenses (SVL2) group from a 1-year extended study of the same clinical trial.</p><p><strong>Results: </strong>Forty-three participants from the original HAL group completed the 5-year visit (74%). Five-year myopia progression [mean ± standard error (SE)] in the HAL group was - 1.27 ± 0.14 D. Compared with the ESVL (- 3.03 ± 0.18 D), myopia progression was - 1.75 ± 0.24 D less for the HAL group (P < 0.001). The mean AL elongation over 5 years was 0.67 ± 0.06 mm for the HAL group compared with 1.40 mm in the ESVL group (P < 0.001), AL elongation was slower by 0.72 ± 0.10 mm for the HAL group (P < 0.001). No significant differences were found for myopia (- 0.58 ± 0.04 D vs. - 0.56 ± 0.05 D) or AL elongation (0.28 ± 0.02 mm vs. 0.28 ± 0.02 mm) between the ESVL group and SVL2 group (P<sub>SER</sub> = 0.83; P<sub>AL</sub> = 0.93) in year 3.</p><p><strong>Conclusions: </strong>In this 5-year study, HAL spectacles reduced the rate of myopia progression and axial elongation, preventing the equivalent of 3 years of myopia progression and axial elongation. Long-term use of HAL spectacles also decreased the incidence of high myopia. Extrapolated control groups are valid for evaluating myopia progression in long-term studies. Trial registration The study was registered at the Chinese Clinical Trial Registry (ChiCTR2100047262), https://www.chictr.org.cn/showproj.html?proj=127182 .</p>","PeriodicalId":12194,"journal":{"name":"Eye and Vision","volume":"12 1","pages":"10"},"PeriodicalIF":4.0000,"publicationDate":"2025-03-05","publicationTypes":"Journal Article","fieldsOfStudy":null,"isOpenAccess":false,"openAccessPdf":"https://www.ncbi.nlm.nih.gov/pmc/articles/PMC11881363/pdf/","citationCount":"0","resultStr":"{\"title\":\"Myopia control efficacy of spectacle lenses with highly aspherical lenslets: results of a 5-year follow-up study.\",\"authors\":\"Xue Li, Yingying Huang, Chenyao Liu, Xindan Chang, Zaifeng Cui, Qiulin Yang, Björn Drobe, Mark A Bullimore, Hao Chen, Jinhua Bao\",\"doi\":\"10.1186/s40662-025-00427-3\",\"DOIUrl\":null,\"url\":null,\"abstract\":\"<p><strong>Purpose: </strong>To evaluate myopia control efficacy in myopic children wearing spectacle lenses with highly aspherical lenslets (HAL) for 5 years.</p><p><strong>Methods: </strong>This is a randomized, double-masked extended trial. Myopic children aged 8 to 13 years who were originally allocated to the HAL group in the 2-year clinical trial. The HAL group underwent a 5-year assessment for myopia progression using cycloplegic spherical equivalent refraction (SER) and axial length (AL). An extrapolated single-vision spectacle lenses (ESVL) group was used as a control group. The 5-year myopia progression and axial elongation of the ESVL group was calculated based on the 2-year data from the single-vision spectacle lenses group in the same clinical trial, and the data for the following 3 years was estimated by assuming an annual reduction in SER by 9.7% and in AL by 15%. A generalized linear model approach was used to evaluate the treatment efficacy. The validity of the ESVL group was evaluated by comparing myopia progression in the first year of the 3-year estimates with a single-vision spectacle lenses (SVL2) group from a 1-year extended study of the same clinical trial.</p><p><strong>Results: </strong>Forty-three participants from the original HAL group completed the 5-year visit (74%). Five-year myopia progression [mean ± standard error (SE)] in the HAL group was - 1.27 ± 0.14 D. Compared with the ESVL (- 3.03 ± 0.18 D), myopia progression was - 1.75 ± 0.24 D less for the HAL group (P < 0.001). The mean AL elongation over 5 years was 0.67 ± 0.06 mm for the HAL group compared with 1.40 mm in the ESVL group (P < 0.001), AL elongation was slower by 0.72 ± 0.10 mm for the HAL group (P < 0.001). No significant differences were found for myopia (- 0.58 ± 0.04 D vs. - 0.56 ± 0.05 D) or AL elongation (0.28 ± 0.02 mm vs. 0.28 ± 0.02 mm) between the ESVL group and SVL2 group (P<sub>SER</sub> = 0.83; P<sub>AL</sub> = 0.93) in year 3.</p><p><strong>Conclusions: </strong>In this 5-year study, HAL spectacles reduced the rate of myopia progression and axial elongation, preventing the equivalent of 3 years of myopia progression and axial elongation. Long-term use of HAL spectacles also decreased the incidence of high myopia. Extrapolated control groups are valid for evaluating myopia progression in long-term studies. Trial registration The study was registered at the Chinese Clinical Trial Registry (ChiCTR2100047262), https://www.chictr.org.cn/showproj.html?proj=127182 .</p>\",\"PeriodicalId\":12194,\"journal\":{\"name\":\"Eye and Vision\",\"volume\":\"12 1\",\"pages\":\"10\"},\"PeriodicalIF\":4.0000,\"publicationDate\":\"2025-03-05\",\"publicationTypes\":\"Journal Article\",\"fieldsOfStudy\":null,\"isOpenAccess\":false,\"openAccessPdf\":\"https://www.ncbi.nlm.nih.gov/pmc/articles/PMC11881363/pdf/\",\"citationCount\":\"0\",\"resultStr\":null,\"platform\":\"Semanticscholar\",\"paperid\":null,\"PeriodicalName\":\"Eye and Vision\",\"FirstCategoryId\":\"3\",\"ListUrlMain\":\"https://doi.org/10.1186/s40662-025-00427-3\",\"RegionNum\":1,\"RegionCategory\":\"医学\",\"ArticlePicture\":[],\"TitleCN\":null,\"AbstractTextCN\":null,\"PMCID\":null,\"EPubDate\":\"\",\"PubModel\":\"\",\"JCR\":\"Q1\",\"JCRName\":\"OPHTHALMOLOGY\",\"Score\":null,\"Total\":0}","platform":"Semanticscholar","paperid":null,"PeriodicalName":"Eye and Vision","FirstCategoryId":"3","ListUrlMain":"https://doi.org/10.1186/s40662-025-00427-3","RegionNum":1,"RegionCategory":"医学","ArticlePicture":[],"TitleCN":null,"AbstractTextCN":null,"PMCID":null,"EPubDate":"","PubModel":"","JCR":"Q1","JCRName":"OPHTHALMOLOGY","Score":null,"Total":0}
引用次数: 0

摘要

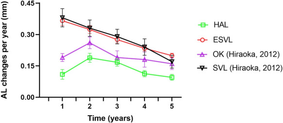
目的:评价近视儿童配戴高度非球面镜片(HAL) 5年控制近视的效果。方法:这是一项随机、双盲的扩展试验。在为期2年的临床试验中,最初被分配到HAL组的8至13岁的近视儿童。HAL组接受了5年的近视进展评估,使用单眼瘫痪的等效球面屈光度(SER)和眼轴长度(AL)。外推单视力镜片组(ESVL)作为对照组。ESVL组的5年近视进展和轴向伸长率是根据同一临床试验中单视力镜片组2年的数据计算的,之后3年的数据是假设SER每年减少9.7%,AL每年减少15%来估计的。采用广义线性模型方法评价治疗效果。ESVL组的有效性是通过比较3年估计第一年的近视进展情况与来自同一临床试验的1年扩展研究的单视力镜片组(SVL2)来评估的。结果:来自原HAL组的43名参与者完成了5年的随访(74%)。HAL组5年近视进展[平均±标准误差(SE)]为- 1.27±0.14 D,与ESVL组(- 3.03±0.18 D)相比,HAL组的近视进展缩短了- 1.75±0.24 D (P SER = 0.83;PAL = 0.93)。结论:在这项为期5年的研究中,HAL眼镜降低了近视进展和轴向伸长的速度,防止了相当于3年的近视进展和轴向伸长。长期使用HAL眼镜也降低了高度近视的发生率。在长期研究中,外推的对照组对于评估近视进展是有效的。本研究在中国临床试验注册中心注册(ChiCTR2100047262), https://www.chictr.org.cn/showproj.html?proj=127182。
本文章由计算机程序翻译,如有差异,请以英文原文为准。

Myopia control efficacy of spectacle lenses with highly aspherical lenslets: results of a 5-year follow-up study.

Myopia control efficacy of spectacle lenses with highly aspherical lenslets: results of a 5-year follow-up study.

Myopia control efficacy of spectacle lenses with highly aspherical lenslets: results of a 5-year follow-up study.

Myopia control efficacy of spectacle lenses with highly aspherical lenslets: results of a 5-year follow-up study.

Purpose: To evaluate myopia control efficacy in myopic children wearing spectacle lenses with highly aspherical lenslets (HAL) for 5 years.

Methods: This is a randomized, double-masked extended trial. Myopic children aged 8 to 13 years who were originally allocated to the HAL group in the 2-year clinical trial. The HAL group underwent a 5-year assessment for myopia progression using cycloplegic spherical equivalent refraction (SER) and axial length (AL). An extrapolated single-vision spectacle lenses (ESVL) group was used as a control group. The 5-year myopia progression and axial elongation of the ESVL group was calculated based on the 2-year data from the single-vision spectacle lenses group in the same clinical trial, and the data for the following 3 years was estimated by assuming an annual reduction in SER by 9.7% and in AL by 15%. A generalized linear model approach was used to evaluate the treatment efficacy. The validity of the ESVL group was evaluated by comparing myopia progression in the first year of the 3-year estimates with a single-vision spectacle lenses (SVL2) group from a 1-year extended study of the same clinical trial.

Results: Forty-three participants from the original HAL group completed the 5-year visit (74%). Five-year myopia progression [mean ± standard error (SE)] in the HAL group was - 1.27 ± 0.14 D. Compared with the ESVL (- 3.03 ± 0.18 D), myopia progression was - 1.75 ± 0.24 D less for the HAL group (P < 0.001). The mean AL elongation over 5 years was 0.67 ± 0.06 mm for the HAL group compared with 1.40 mm in the ESVL group (P < 0.001), AL elongation was slower by 0.72 ± 0.10 mm for the HAL group (P < 0.001). No significant differences were found for myopia (- 0.58 ± 0.04 D vs. - 0.56 ± 0.05 D) or AL elongation (0.28 ± 0.02 mm vs. 0.28 ± 0.02 mm) between the ESVL group and SVL2 group (PSER = 0.83; PAL = 0.93) in year 3.

Conclusions: In this 5-year study, HAL spectacles reduced the rate of myopia progression and axial elongation, preventing the equivalent of 3 years of myopia progression and axial elongation. Long-term use of HAL spectacles also decreased the incidence of high myopia. Extrapolated control groups are valid for evaluating myopia progression in long-term studies. Trial registration The study was registered at the Chinese Clinical Trial Registry (ChiCTR2100047262), https://www.chictr.org.cn/showproj.html?proj=127182 .

求助全文
通过发布文献求助,成功后即可免费获取论文全文。 去求助
来源期刊
Eye and Vision
Eye and Vision OPHTHALMOLOGY-
CiteScore
8.60
自引率
2.40%
发文量
89
审稿时长
15 weeks
期刊介绍: Eye and Vision is an open access, peer-reviewed journal for ophthalmologists and visual science specialists. It welcomes research articles, reviews, methodologies, commentaries, case reports, perspectives and short reports encompassing all aspects of eye and vision. Topics of interest include but are not limited to: current developments of theoretical, experimental and clinical investigations in ophthalmology, optometry and vision science which focus on novel and high-impact findings on central issues pertaining to biology, pathophysiology and etiology of eye diseases as well as advances in diagnostic techniques, surgical treatment, instrument updates, the latest drug findings, results of clinical trials and research findings. It aims to provide ophthalmologists and visual science specialists with the latest developments in theoretical, experimental and clinical investigations in eye and vision.
×
引用
GB/T 7714-2015
复制
MLA
复制
APA
复制
导出至
BibTeX EndNote RefMan NoteFirst NoteExpress
×
提示
您的信息不完整,为了账户安全,请先补充。
现在去补充
×
提示
您因"违规操作"
具体请查看互助需知
我知道了
×
提示
确定
请完成安全验证×
copy
已复制链接
快去分享给好友吧!
我知道了
右上角分享
点击右上角分享
0
联系我们:info@booksci.cn Book学术提供免费学术资源搜索服务,方便国内外学者检索中英文文献。致力于提供最便捷和优质的服务体验。 Copyright © 2023 布克学术 All rights reserved.
京ICP备2023020795号-1
ghs 京公网安备 11010802042870号
Book学术文献互助
Book学术文献互助群
群 号:604180095
Book学术官方微信