前瞻性队列研究的随访期如何影响基线鱼类摄入量与阿尔茨海默病和痴呆风险之间的关系

IF 2.8 Q2 NEUROSCIENCES
Journal of Alzheimer's disease reports Pub Date : 2025-02-25 eCollection Date: 2025-01-01 DOI:10.1177/25424823251324397
William B Grant
{"title":"前瞻性队列研究的随访期如何影响基线鱼类摄入量与阿尔茨海默病和痴呆风险之间的关系","authors":"William B Grant","doi":"10.1177/25424823251324397","DOIUrl":null,"url":null,"abstract":"<p><strong>Background: </strong>Diet plays an important role in the risk of Alzheimer's disease (AD) and dementia. Adherence to the Mediterranean diet is regarded as one way to reduce risk. Fish is a component of the Mediterranean diet. Participant variables change with time, resulting in \"regression dilution\".</p><p><strong>Objective: </strong>The objective is to investigate the role of follow-up period after measurement of dietary fish intake with risk of AD and dementia.</p><p><strong>Methods: </strong>A recent meta-analysis of prospective cohort studies is used to examine this effect for dietary fish and incidence of dementia and AD.</p><p><strong>Results: </strong>For seven dementia studies with mean follow-up periods from one to ten years, the regression fit to the data is relative risk (RR) = 0.19 + (0.087 × Follow up [years], <i>r </i>= 0.84, adjusted <i>r<sup>2 </sup></i> = 0.66, <i>p </i>= 0.009). However, when mean age of the participants was added to the analysis, the effect of follow-up period became non-significant. For five AD studies with follow-up periods from 3.9 to 9.8 years, the regression fit to the data is RR = 0.11 + (0.095 × follow up [years]), <i>r </i>= 0.93, adjusted <i>r<sup>2 </sup></i> = 0.87, <i>p </i>= 0.02). The RR for the regression fit to the shortest follow-up periods are 40% greater for dementia than the standard meta-analysis suggests and 70% greater for AD.</p><p><strong>Conclusions: </strong>Prospective cohort studies of diet and health outcomes should reassess variables every few years. Meta-analyses should consider the effect of mean follow-up periods and mean age of the participants during follow up.</p>","PeriodicalId":73594,"journal":{"name":"Journal of Alzheimer's disease reports","volume":"9 ","pages":"25424823251324397"},"PeriodicalIF":2.8000,"publicationDate":"2025-02-25","publicationTypes":"Journal Article","fieldsOfStudy":null,"isOpenAccess":false,"openAccessPdf":"https://www.ncbi.nlm.nih.gov/pmc/articles/PMC11863749/pdf/","citationCount":"0","resultStr":"{\"title\":\"How follow-up period in prospective cohort studies affects the relationship between baseline fish consumption and risk of Alzheimer's disease and dementia.\",\"authors\":\"William B Grant\",\"doi\":\"10.1177/25424823251324397\",\"DOIUrl\":null,\"url\":null,\"abstract\":\"<p><strong>Background: </strong>Diet plays an important role in the risk of Alzheimer's disease (AD) and dementia. Adherence to the Mediterranean diet is regarded as one way to reduce risk. Fish is a component of the Mediterranean diet. Participant variables change with time, resulting in \\\"regression dilution\\\".</p><p><strong>Objective: </strong>The objective is to investigate the role of follow-up period after measurement of dietary fish intake with risk of AD and dementia.</p><p><strong>Methods: </strong>A recent meta-analysis of prospective cohort studies is used to examine this effect for dietary fish and incidence of dementia and AD.</p><p><strong>Results: </strong>For seven dementia studies with mean follow-up periods from one to ten years, the regression fit to the data is relative risk (RR) = 0.19 + (0.087 × Follow up [years], <i>r </i>= 0.84, adjusted <i>r<sup>2 </sup></i> = 0.66, <i>p </i>= 0.009). However, when mean age of the participants was added to the analysis, the effect of follow-up period became non-significant. For five AD studies with follow-up periods from 3.9 to 9.8 years, the regression fit to the data is RR = 0.11 + (0.095 × follow up [years]), <i>r </i>= 0.93, adjusted <i>r<sup>2 </sup></i> = 0.87, <i>p </i>= 0.02). The RR for the regression fit to the shortest follow-up periods are 40% greater for dementia than the standard meta-analysis suggests and 70% greater for AD.</p><p><strong>Conclusions: </strong>Prospective cohort studies of diet and health outcomes should reassess variables every few years. Meta-analyses should consider the effect of mean follow-up periods and mean age of the participants during follow up.</p>\",\"PeriodicalId\":73594,\"journal\":{\"name\":\"Journal of Alzheimer's disease reports\",\"volume\":\"9 \",\"pages\":\"25424823251324397\"},\"PeriodicalIF\":2.8000,\"publicationDate\":\"2025-02-25\",\"publicationTypes\":\"Journal Article\",\"fieldsOfStudy\":null,\"isOpenAccess\":false,\"openAccessPdf\":\"https://www.ncbi.nlm.nih.gov/pmc/articles/PMC11863749/pdf/\",\"citationCount\":\"0\",\"resultStr\":null,\"platform\":\"Semanticscholar\",\"paperid\":null,\"PeriodicalName\":\"Journal of Alzheimer's disease reports\",\"FirstCategoryId\":\"1085\",\"ListUrlMain\":\"https://doi.org/10.1177/25424823251324397\",\"RegionNum\":0,\"RegionCategory\":null,\"ArticlePicture\":[],\"TitleCN\":null,\"AbstractTextCN\":null,\"PMCID\":null,\"EPubDate\":\"2025/1/1 0:00:00\",\"PubModel\":\"eCollection\",\"JCR\":\"Q2\",\"JCRName\":\"NEUROSCIENCES\",\"Score\":null,\"Total\":0}","platform":"Semanticscholar","paperid":null,"PeriodicalName":"Journal of Alzheimer's disease reports","FirstCategoryId":"1085","ListUrlMain":"https://doi.org/10.1177/25424823251324397","RegionNum":0,"RegionCategory":null,"ArticlePicture":[],"TitleCN":null,"AbstractTextCN":null,"PMCID":null,"EPubDate":"2025/1/1 0:00:00","PubModel":"eCollection","JCR":"Q2","JCRName":"NEUROSCIENCES","Score":null,"Total":0}
引用次数: 0

摘要

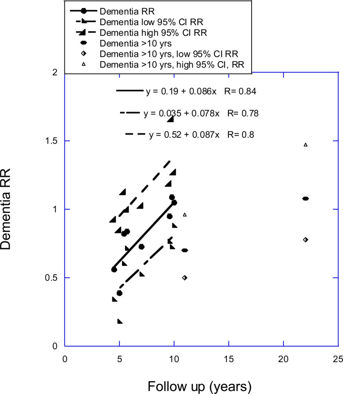
背景:饮食在阿尔茨海默病(AD)和痴呆的风险中起着重要作用。坚持地中海饮食被认为是降低风险的一种方法。鱼是地中海饮食的组成部分。参与者变量随时间变化,产生“回归稀释”。目的:目的是探讨膳食鱼摄入量测量后随访期与阿尔茨海默病和痴呆风险的作用。方法:最近一项前瞻性队列研究的荟萃分析用于检查膳食鱼与痴呆和AD发病率的影响。结果:7项痴呆研究的平均随访时间为1 ~ 10年,与数据的回归拟合为相对危险度(RR) = 0.19 + (0.087 ×随访[年],r = 0.84,调整后r2 = 0.66, p = 0.009)。然而,当参与者的平均年龄加入到分析中时,随访期的影响变得不显著。对于随访时间为3.9 ~ 9.8年的5项AD研究,回归拟合数据为RR = 0.11 + (0.095 ×随访[年]),r = 0.93,调整后r2 = 0.87, p = 0.02)。回归拟合最短随访期的风险比标准荟萃分析显示的痴呆高40%,阿尔茨海默病高70%。结论:饮食和健康结果的前瞻性队列研究应每隔几年重新评估变量。荟萃分析应考虑平均随访时间和随访期间参与者的平均年龄的影响。
本文章由计算机程序翻译,如有差异,请以英文原文为准。

How follow-up period in prospective cohort studies affects the relationship between baseline fish consumption and risk of Alzheimer's disease and dementia.

How follow-up period in prospective cohort studies affects the relationship between baseline fish consumption and risk of Alzheimer's disease and dementia.

How follow-up period in prospective cohort studies affects the relationship between baseline fish consumption and risk of Alzheimer's disease and dementia.

How follow-up period in prospective cohort studies affects the relationship between baseline fish consumption and risk of Alzheimer's disease and dementia.

Background: Diet plays an important role in the risk of Alzheimer's disease (AD) and dementia. Adherence to the Mediterranean diet is regarded as one way to reduce risk. Fish is a component of the Mediterranean diet. Participant variables change with time, resulting in "regression dilution".

Objective: The objective is to investigate the role of follow-up period after measurement of dietary fish intake with risk of AD and dementia.

Methods: A recent meta-analysis of prospective cohort studies is used to examine this effect for dietary fish and incidence of dementia and AD.

Results: For seven dementia studies with mean follow-up periods from one to ten years, the regression fit to the data is relative risk (RR) = 0.19 + (0.087 × Follow up [years], r = 0.84, adjusted r2  = 0.66, p = 0.009). However, when mean age of the participants was added to the analysis, the effect of follow-up period became non-significant. For five AD studies with follow-up periods from 3.9 to 9.8 years, the regression fit to the data is RR = 0.11 + (0.095 × follow up [years]), r = 0.93, adjusted r2  = 0.87, p = 0.02). The RR for the regression fit to the shortest follow-up periods are 40% greater for dementia than the standard meta-analysis suggests and 70% greater for AD.

Conclusions: Prospective cohort studies of diet and health outcomes should reassess variables every few years. Meta-analyses should consider the effect of mean follow-up periods and mean age of the participants during follow up.

求助全文
通过发布文献求助,成功后即可免费获取论文全文。 去求助
来源期刊
CiteScore
2.80
自引率
0.00%
发文量
0
×
引用
GB/T 7714-2015
复制
MLA
复制
APA
复制
导出至
BibTeX EndNote RefMan NoteFirst NoteExpress
×
提示
您的信息不完整,为了账户安全,请先补充。
现在去补充
×
提示
您因"违规操作"
具体请查看互助需知
我知道了
×
提示
确定
请完成安全验证×
copy
已复制链接
快去分享给好友吧!
我知道了
右上角分享
点击右上角分享
0
联系我们:info@booksci.cn Book学术提供免费学术资源搜索服务,方便国内外学者检索中英文文献。致力于提供最便捷和优质的服务体验。 Copyright © 2023 布克学术 All rights reserved.
京ICP备2023020795号-1
ghs 京公网安备 11010802042870号
Book学术文献互助
Book学术文献互助群
群 号:604180095
Book学术官方微信