在干旱季节,潮汐水平显著改变了热带河口的细菌群落组成。

IF 5.3 2区 生物学 Q1 MARINE & FRESHWATER BIOLOGY
Marine Life Science & Technology Pub Date : 2024-10-08 eCollection Date: 2025-02-01 DOI:10.1007/s42995-024-00254-w
Pablo Aguilar, Chantima Piyapong, Nitcha Chamroensaksri, Pachoenchoke Jintasaeranee, Ruben Sommaruga
{"title":"在干旱季节,潮汐水平显著改变了热带河口的细菌群落组成。","authors":"Pablo Aguilar, Chantima Piyapong, Nitcha Chamroensaksri, Pachoenchoke Jintasaeranee, Ruben Sommaruga","doi":"10.1007/s42995-024-00254-w","DOIUrl":null,"url":null,"abstract":"<p><p>Estuaries are usually characterized by strong spatial and temporal variability in water physicochemical conditions and are often largely affected by human activities. One important source of variability is caused by tides that can swiftly alter not only physicochemical conditions but also the abundance and composition of the biota. The effect of the diurnal tidal cycle on microbial community composition during different seasons remains uncertain, although this knowledge underlies having effective monitoring programs for water quality and potential identification of health risk conditions. In this study, we assessed the bacterioplankton community composition and diversity across four tidal water levels in a tropical estuary characterized by a mixed semidiurnal tide regime (i.e., two high and two low tides of varying amplitudes) during both dry and wet seasons. The bacterial community composition varied significantly among the four tidal levels, but only during the dry season, when the influence of the seawater intrusion was largest. Bacterial indicators' taxa identified using the Indicator Value Index were found within Cyanobacteria, Actinobacteriota, Bacteroidota, and Proteobacteria. The indicator taxon <i>Cyanobium</i> sp. had a prominent presence across multiple tidal levels. The main predicted phenotypes of the bacterial communities were associated with potential pathogenicity, gram-negative, and biofilm formation traits. While there were no marked predicted phenotypic differences between seasons, pathogenic and gram-negative traits were more prevalent in the dry season, while biofilm formation traits dominated in the wet season. Overall, our findings underscore the intricate relationship between river hydrodynamics and bacterial composition variability and hint a significant human impact on the water quality of the Bangpakong River.</p><p><strong>Supplementary information: </strong>The online version contains supplementary material available at 10.1007/s42995-024-00254-w.</p>","PeriodicalId":53218,"journal":{"name":"Marine Life Science & Technology","volume":"7 1","pages":"144-156"},"PeriodicalIF":5.3000,"publicationDate":"2024-10-08","publicationTypes":"Journal Article","fieldsOfStudy":null,"isOpenAccess":false,"openAccessPdf":"https://www.ncbi.nlm.nih.gov/pmc/articles/PMC11871172/pdf/","citationCount":"0","resultStr":"{\"title\":\"Tidal levels significantly change bacterial community composition in a tropical estuary during the dry season.\",\"authors\":\"Pablo Aguilar, Chantima Piyapong, Nitcha Chamroensaksri, Pachoenchoke Jintasaeranee, Ruben Sommaruga\",\"doi\":\"10.1007/s42995-024-00254-w\",\"DOIUrl\":null,\"url\":null,\"abstract\":\"<p><p>Estuaries are usually characterized by strong spatial and temporal variability in water physicochemical conditions and are often largely affected by human activities. One important source of variability is caused by tides that can swiftly alter not only physicochemical conditions but also the abundance and composition of the biota. The effect of the diurnal tidal cycle on microbial community composition during different seasons remains uncertain, although this knowledge underlies having effective monitoring programs for water quality and potential identification of health risk conditions. In this study, we assessed the bacterioplankton community composition and diversity across four tidal water levels in a tropical estuary characterized by a mixed semidiurnal tide regime (i.e., two high and two low tides of varying amplitudes) during both dry and wet seasons. The bacterial community composition varied significantly among the four tidal levels, but only during the dry season, when the influence of the seawater intrusion was largest. Bacterial indicators' taxa identified using the Indicator Value Index were found within Cyanobacteria, Actinobacteriota, Bacteroidota, and Proteobacteria. The indicator taxon <i>Cyanobium</i> sp. had a prominent presence across multiple tidal levels. The main predicted phenotypes of the bacterial communities were associated with potential pathogenicity, gram-negative, and biofilm formation traits. While there were no marked predicted phenotypic differences between seasons, pathogenic and gram-negative traits were more prevalent in the dry season, while biofilm formation traits dominated in the wet season. Overall, our findings underscore the intricate relationship between river hydrodynamics and bacterial composition variability and hint a significant human impact on the water quality of the Bangpakong River.</p><p><strong>Supplementary information: </strong>The online version contains supplementary material available at 10.1007/s42995-024-00254-w.</p>\",\"PeriodicalId\":53218,\"journal\":{\"name\":\"Marine Life Science & Technology\",\"volume\":\"7 1\",\"pages\":\"144-156\"},\"PeriodicalIF\":5.3000,\"publicationDate\":\"2024-10-08\",\"publicationTypes\":\"Journal Article\",\"fieldsOfStudy\":null,\"isOpenAccess\":false,\"openAccessPdf\":\"https://www.ncbi.nlm.nih.gov/pmc/articles/PMC11871172/pdf/\",\"citationCount\":\"0\",\"resultStr\":null,\"platform\":\"Semanticscholar\",\"paperid\":null,\"PeriodicalName\":\"Marine Life Science & Technology\",\"FirstCategoryId\":\"99\",\"ListUrlMain\":\"https://doi.org/10.1007/s42995-024-00254-w\",\"RegionNum\":2,\"RegionCategory\":\"生物学\",\"ArticlePicture\":[],\"TitleCN\":null,\"AbstractTextCN\":null,\"PMCID\":null,\"EPubDate\":\"2025/2/1 0:00:00\",\"PubModel\":\"eCollection\",\"JCR\":\"Q1\",\"JCRName\":\"MARINE & FRESHWATER BIOLOGY\",\"Score\":null,\"Total\":0}","platform":"Semanticscholar","paperid":null,"PeriodicalName":"Marine Life Science & Technology","FirstCategoryId":"99","ListUrlMain":"https://doi.org/10.1007/s42995-024-00254-w","RegionNum":2,"RegionCategory":"生物学","ArticlePicture":[],"TitleCN":null,"AbstractTextCN":null,"PMCID":null,"EPubDate":"2025/2/1 0:00:00","PubModel":"eCollection","JCR":"Q1","JCRName":"MARINE & FRESHWATER BIOLOGY","Score":null,"Total":0}
引用次数: 0

摘要

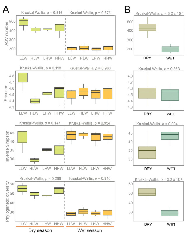
河口通常具有水体物理化学条件的强烈时空变异性,并且往往受人类活动的影响很大。变化的一个重要来源是潮汐,它不仅能迅速改变物理化学条件,还能迅速改变生物群的丰度和组成。昼夜潮汐循环对不同季节微生物群落组成的影响仍然不确定,尽管这一知识是有效监测水质和潜在健康风险条件识别的基础。在本研究中,我们评估了热带河口在干湿季节具有混合半日潮(即两个不同振幅的两个高潮和两个低潮)的四个潮汐水位上的浮游细菌群落组成和多样性。4个潮位间细菌群落组成差异显著,但仅在枯水期,海水入侵影响最大。在蓝藻门、放线菌门、拟杆菌门和变形菌门中发现了利用指标值指数确定的细菌指标分类群。指示分类单元蓝藻(Cyanobium sp.)在多个潮位上都有显著的存在。细菌群落的主要预测表型与潜在致病性、革兰氏阴性和生物膜形成性状相关。不同季节间表型差异不显著,干季病原菌性状和革兰氏阴性菌性状较为普遍,湿季生物膜形成性状占优势。总的来说,我们的发现强调了河流流体动力学和细菌组成变化之间的复杂关系,并暗示了人类对邦帕孔河水质的重大影响。补充信息:在线版本包含补充资料,提供地址为10.1007/s42995-024-00254-w。
本文章由计算机程序翻译,如有差异,请以英文原文为准。

Tidal levels significantly change bacterial community composition in a tropical estuary during the dry season.

Tidal levels significantly change bacterial community composition in a tropical estuary during the dry season.

Tidal levels significantly change bacterial community composition in a tropical estuary during the dry season.

Tidal levels significantly change bacterial community composition in a tropical estuary during the dry season.

Estuaries are usually characterized by strong spatial and temporal variability in water physicochemical conditions and are often largely affected by human activities. One important source of variability is caused by tides that can swiftly alter not only physicochemical conditions but also the abundance and composition of the biota. The effect of the diurnal tidal cycle on microbial community composition during different seasons remains uncertain, although this knowledge underlies having effective monitoring programs for water quality and potential identification of health risk conditions. In this study, we assessed the bacterioplankton community composition and diversity across four tidal water levels in a tropical estuary characterized by a mixed semidiurnal tide regime (i.e., two high and two low tides of varying amplitudes) during both dry and wet seasons. The bacterial community composition varied significantly among the four tidal levels, but only during the dry season, when the influence of the seawater intrusion was largest. Bacterial indicators' taxa identified using the Indicator Value Index were found within Cyanobacteria, Actinobacteriota, Bacteroidota, and Proteobacteria. The indicator taxon Cyanobium sp. had a prominent presence across multiple tidal levels. The main predicted phenotypes of the bacterial communities were associated with potential pathogenicity, gram-negative, and biofilm formation traits. While there were no marked predicted phenotypic differences between seasons, pathogenic and gram-negative traits were more prevalent in the dry season, while biofilm formation traits dominated in the wet season. Overall, our findings underscore the intricate relationship between river hydrodynamics and bacterial composition variability and hint a significant human impact on the water quality of the Bangpakong River.

Supplementary information: The online version contains supplementary material available at 10.1007/s42995-024-00254-w.

求助全文
通过发布文献求助,成功后即可免费获取论文全文。 去求助
来源期刊
Marine Life Science & Technology
Marine Life Science & Technology MARINE & FRESHWATER BIOLOGY-
CiteScore
9.60
自引率
10.50%
发文量
58
期刊介绍: Marine Life Science & Technology (MLST), established in 2019, is dedicated to publishing original research papers that unveil new discoveries and theories spanning a wide spectrum of life sciences and technologies. This includes fundamental biology, fisheries science and technology, medicinal bioresources, food science, biotechnology, ecology, and environmental biology, with a particular focus on marine habitats. The journal is committed to nurturing synergistic interactions among these diverse disciplines, striving to advance multidisciplinary approaches within the scientific field. It caters to a readership comprising biological scientists, aquaculture researchers, marine technologists, biological oceanographers, and ecologists.
×
引用
GB/T 7714-2015
复制
MLA
复制
APA
复制
导出至
BibTeX EndNote RefMan NoteFirst NoteExpress
×
提示
您的信息不完整,为了账户安全,请先补充。
现在去补充
×
提示
您因"违规操作"
具体请查看互助需知
我知道了
×
提示
确定
请完成安全验证×
copy
已复制链接
快去分享给好友吧!
我知道了
右上角分享
点击右上角分享
0
联系我们:info@booksci.cn Book学术提供免费学术资源搜索服务,方便国内外学者检索中英文文献。致力于提供最便捷和优质的服务体验。 Copyright © 2023 布克学术 All rights reserved.
京ICP备2023020795号-1
ghs 京公网安备 11010802042870号
Book学术文献互助
Book学术文献互助群
群 号:604180095
Book学术官方微信