基于感知分组的工具-对象对位置编码:来自对象对应效应的证据。

IF 2.3 Q1 Psychology
Journal of Cognition Pub Date : 2025-02-26 eCollection Date: 2025-01-01 DOI:10.5334/joc.435
Usman Jawed Shaikh, Ferdinand Binkofski, Antonello Pellicano
{"title":"基于感知分组的工具-对象对位置编码:来自对象对应效应的证据。","authors":"Usman Jawed Shaikh, Ferdinand Binkofski, Antonello Pellicano","doi":"10.5334/joc.435","DOIUrl":null,"url":null,"abstract":"<p><p>Motor interactions with single, as well as pairs of objects can be automatically affected by visual asymmetries provided by protruding parts, whether the handle or not. Faster and more accurate performance is typically produced when task-defined responses correspond to the location of such protruding parts, relative to when they do not correspond (i.e., object-based spatial correspondence effects). In two experiments we investigated the mechanisms that underlie the spatial coding of tool-object pairs when semantic and action alignment relationships were orthogonally combined. Centrally presented pictures of \"active\" tools (depicted as potentially performing their proper action) were paired, on one side, to a \"passive\" object (target of the tool action). We observed S-R correspondence effects that depended on the location of the protruding side of tool-object pairs, and not on the non-protruding side of the tool handle. Thus, results further supported the location coding account of the effect, against the affordance activation one. The effect was only produced when tool-object pairs belonged to the same semantic category or were correctly aligned for action, but with no further interplay. This was not consistent with the idea that action links were coded between tool-object pairs, and that the resulting action direction interacted with response spatial codes. Alternatively, we claimed that semantic relation and action alignment acted, independent from each other, as perceptual grouping criteria; allowing for the basic spatial coding of visual asymmetries to take place. This brought to speculation, at neurocognitive level, about independent processing along the ventral and ventro-dorsal streams.</p>","PeriodicalId":32728,"journal":{"name":"Journal of Cognition","volume":"8 1","pages":"24"},"PeriodicalIF":2.3000,"publicationDate":"2025-02-26","publicationTypes":"Journal Article","fieldsOfStudy":null,"isOpenAccess":false,"openAccessPdf":"https://www.ncbi.nlm.nih.gov/pmc/articles/PMC11869823/pdf/","citationCount":"0","resultStr":"{\"title\":\"Location Coding of Tool-Object Pairs Based on Perceptual Grouping: Evidence from Object-Based Correspondence Effect.\",\"authors\":\"Usman Jawed Shaikh, Ferdinand Binkofski, Antonello Pellicano\",\"doi\":\"10.5334/joc.435\",\"DOIUrl\":null,\"url\":null,\"abstract\":\"<p><p>Motor interactions with single, as well as pairs of objects can be automatically affected by visual asymmetries provided by protruding parts, whether the handle or not. Faster and more accurate performance is typically produced when task-defined responses correspond to the location of such protruding parts, relative to when they do not correspond (i.e., object-based spatial correspondence effects). In two experiments we investigated the mechanisms that underlie the spatial coding of tool-object pairs when semantic and action alignment relationships were orthogonally combined. Centrally presented pictures of \\\"active\\\" tools (depicted as potentially performing their proper action) were paired, on one side, to a \\\"passive\\\" object (target of the tool action). We observed S-R correspondence effects that depended on the location of the protruding side of tool-object pairs, and not on the non-protruding side of the tool handle. Thus, results further supported the location coding account of the effect, against the affordance activation one. The effect was only produced when tool-object pairs belonged to the same semantic category or were correctly aligned for action, but with no further interplay. This was not consistent with the idea that action links were coded between tool-object pairs, and that the resulting action direction interacted with response spatial codes. Alternatively, we claimed that semantic relation and action alignment acted, independent from each other, as perceptual grouping criteria; allowing for the basic spatial coding of visual asymmetries to take place. This brought to speculation, at neurocognitive level, about independent processing along the ventral and ventro-dorsal streams.</p>\",\"PeriodicalId\":32728,\"journal\":{\"name\":\"Journal of Cognition\",\"volume\":\"8 1\",\"pages\":\"24\"},\"PeriodicalIF\":2.3000,\"publicationDate\":\"2025-02-26\",\"publicationTypes\":\"Journal Article\",\"fieldsOfStudy\":null,\"isOpenAccess\":false,\"openAccessPdf\":\"https://www.ncbi.nlm.nih.gov/pmc/articles/PMC11869823/pdf/\",\"citationCount\":\"0\",\"resultStr\":null,\"platform\":\"Semanticscholar\",\"paperid\":null,\"PeriodicalName\":\"Journal of Cognition\",\"FirstCategoryId\":\"1085\",\"ListUrlMain\":\"https://doi.org/10.5334/joc.435\",\"RegionNum\":0,\"RegionCategory\":null,\"ArticlePicture\":[],\"TitleCN\":null,\"AbstractTextCN\":null,\"PMCID\":null,\"EPubDate\":\"2025/1/1 0:00:00\",\"PubModel\":\"eCollection\",\"JCR\":\"Q1\",\"JCRName\":\"Psychology\",\"Score\":null,\"Total\":0}","platform":"Semanticscholar","paperid":null,"PeriodicalName":"Journal of Cognition","FirstCategoryId":"1085","ListUrlMain":"https://doi.org/10.5334/joc.435","RegionNum":0,"RegionCategory":null,"ArticlePicture":[],"TitleCN":null,"AbstractTextCN":null,"PMCID":null,"EPubDate":"2025/1/1 0:00:00","PubModel":"eCollection","JCR":"Q1","JCRName":"Psychology","Score":null,"Total":0}
引用次数: 0

摘要

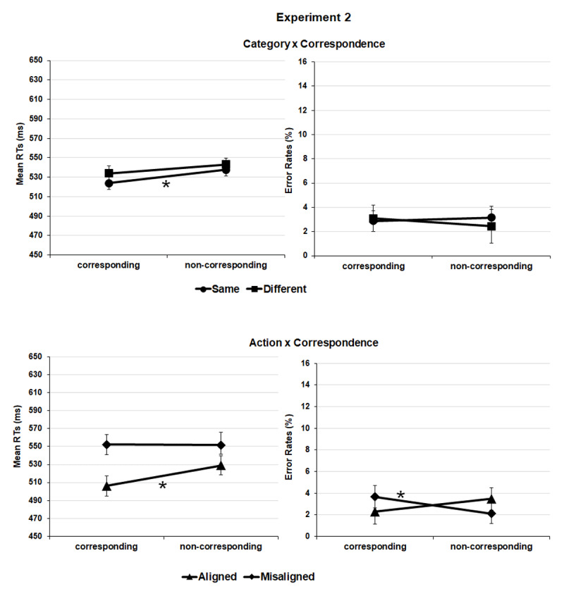
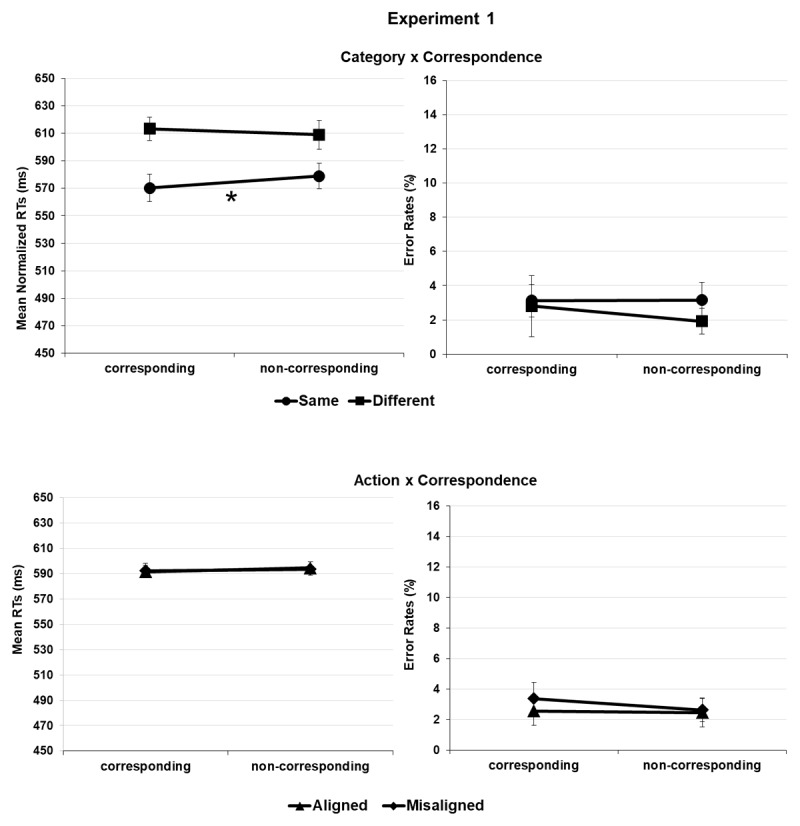
电机与单个或成对物体的交互可以自动受到突出部分(无论是否有手柄)提供的视觉不对称性的影响。当任务定义的响应对应于这些突出部分的位置时,相对于它们不对应时(即基于对象的空间对应效应),通常会产生更快和更准确的性能。在两个实验中,我们研究了语义和动作对齐关系正交组合时工具-对象对空间编码的机制。集中呈现的“主动”工具的图片(被描述为潜在地执行它们适当的操作)与“被动”对象(工具操作的目标)配对在一边。我们观察到S-R对应效应取决于工具-对象对的突出侧的位置,而不是工具手柄的非突出侧。因此,研究结果进一步支持了位置编码的解释,而不是功能激活的解释。只有当工具-对象对属于相同的语义类别或正确对齐时才会产生这种效果,但没有进一步的相互作用。这与操作链接在工具-对象对之间编码,以及结果操作方向与响应空间编码相互作用的想法是不一致的。或者,我们声称语义关系和动作对齐相互独立,作为感知分组标准;允许视觉不对称的基本空间编码发生。在神经认知水平上,这引起了关于腹侧和腹背流的独立加工的推测。
本文章由计算机程序翻译,如有差异,请以英文原文为准。

Location Coding of Tool-Object Pairs Based on Perceptual Grouping: Evidence from Object-Based Correspondence Effect.

Location Coding of Tool-Object Pairs Based on Perceptual Grouping: Evidence from Object-Based Correspondence Effect.

Location Coding of Tool-Object Pairs Based on Perceptual Grouping: Evidence from Object-Based Correspondence Effect.

Location Coding of Tool-Object Pairs Based on Perceptual Grouping: Evidence from Object-Based Correspondence Effect.

Motor interactions with single, as well as pairs of objects can be automatically affected by visual asymmetries provided by protruding parts, whether the handle or not. Faster and more accurate performance is typically produced when task-defined responses correspond to the location of such protruding parts, relative to when they do not correspond (i.e., object-based spatial correspondence effects). In two experiments we investigated the mechanisms that underlie the spatial coding of tool-object pairs when semantic and action alignment relationships were orthogonally combined. Centrally presented pictures of "active" tools (depicted as potentially performing their proper action) were paired, on one side, to a "passive" object (target of the tool action). We observed S-R correspondence effects that depended on the location of the protruding side of tool-object pairs, and not on the non-protruding side of the tool handle. Thus, results further supported the location coding account of the effect, against the affordance activation one. The effect was only produced when tool-object pairs belonged to the same semantic category or were correctly aligned for action, but with no further interplay. This was not consistent with the idea that action links were coded between tool-object pairs, and that the resulting action direction interacted with response spatial codes. Alternatively, we claimed that semantic relation and action alignment acted, independent from each other, as perceptual grouping criteria; allowing for the basic spatial coding of visual asymmetries to take place. This brought to speculation, at neurocognitive level, about independent processing along the ventral and ventro-dorsal streams.

求助全文
通过发布文献求助,成功后即可免费获取论文全文。 去求助
来源期刊
Journal of Cognition
Journal of Cognition Psychology-Experimental and Cognitive Psychology
CiteScore
4.50
自引率
0.00%
发文量
43
审稿时长
6 weeks
×
引用
GB/T 7714-2015
复制
MLA
复制
APA
复制
导出至
BibTeX EndNote RefMan NoteFirst NoteExpress
×
提示
您的信息不完整,为了账户安全,请先补充。
现在去补充
×
提示
您因"违规操作"
具体请查看互助需知
我知道了
×
提示
确定
请完成安全验证×
copy
已复制链接
快去分享给好友吧!
我知道了
右上角分享
点击右上角分享
0
联系我们:info@booksci.cn Book学术提供免费学术资源搜索服务,方便国内外学者检索中英文文献。致力于提供最便捷和优质的服务体验。 Copyright © 2023 布克学术 All rights reserved.
京ICP备2023020795号-1
ghs 京公网安备 11010802042870号
Book学术文献互助
Book学术文献互助群
群 号:604180095
Book学术官方微信