氧化应激参与COVID-19急性后后遗症:临床意义

IF 7.4 2区 生物学 Q1 BIOCHEMISTRY & MOLECULAR BIOLOGY
Redox Report Pub Date : 2025-12-01 Epub Date: 2025-03-03 DOI:10.1080/13510002.2025.2471738
Paola Mayara Valente Coronel, Denise Caroline Luiz Soares Basilio, Isabelly Teixeira Espinoça, Kamylla Fernanda Souza de Souza, Nathalia Miranda Campos, Rafael Seiji Nakano Ota, Edgar Julian Paredes-Gamero, Danilo Wilhelm Filho, Ana Rita Coimbra Motta-Castro, Renata Trentin Perdomo, Eduardo Benedetti Parisotto
{"title":"氧化应激参与COVID-19急性后后遗症:临床意义","authors":"Paola Mayara Valente Coronel, Denise Caroline Luiz Soares Basilio, Isabelly Teixeira Espinoça, Kamylla Fernanda Souza de Souza, Nathalia Miranda Campos, Rafael Seiji Nakano Ota, Edgar Julian Paredes-Gamero, Danilo Wilhelm Filho, Ana Rita Coimbra Motta-Castro, Renata Trentin Perdomo, Eduardo Benedetti Parisotto","doi":"10.1080/13510002.2025.2471738","DOIUrl":null,"url":null,"abstract":"<p><p>Oxidative stress (OS) plays a key role in the pathophysiology of COVID-19 and may be associated with sequelae after severe SARS-CoV-2 infection. This study evaluated OS and inflammation biomarkers in blood from individuals with post-acute sequelae of COVID-19 (PASC). 64 male and female participants were distributed into three groups: healthy individuals (<i>n</i> = 20), acute COVID-19 patients (symptoms for <3 weeks, <i>n</i> = 15), and PASC patients (symptoms for >12 weeks, <i>n</i> = 29). Analyses included inflammatory cytokines, myeloperoxidase (MPO) activity, and OS markers, such as superoxide dismutase (SOD), catalase (CAT), glutathione <i>S</i>-transferase (GST), gamma-glutamyl transferase (GGT), reduced glutathione (GSH), uric acid (UA), thiobarbituric acid reactive substances (TBARS), and protein carbonyls (PC). Individuals with PASC showed increased IL-6 and IL-8. Both COVID-19 groups exhibited decreased SOD and CAT. GST decreased only in the acute group. Elevated GGT and GSH were found in the PASC group. High UA levels were observed in PASC individuals. There were no changes in TBARS values ⁣⁣in the PASC group. However, PC concentrations were elevated only in this group. Correlations were identified between inflammatory markers and OS parameters. These findings suggest that individuals with PASC pronounced OS, which potentially exacerbates disease complications. Monitoring OS biomarkers could aid in patient prognosis and management.</p>","PeriodicalId":21096,"journal":{"name":"Redox Report","volume":"30 1","pages":"2471738"},"PeriodicalIF":7.4000,"publicationDate":"2025-12-01","publicationTypes":"Journal Article","fieldsOfStudy":null,"isOpenAccess":false,"openAccessPdf":"https://www.ncbi.nlm.nih.gov/pmc/articles/PMC11878172/pdf/","citationCount":"0","resultStr":"{\"title\":\"Involvement of oxidative stress in post-acute sequelae of COVID-19: clinical implications.\",\"authors\":\"Paola Mayara Valente Coronel, Denise Caroline Luiz Soares Basilio, Isabelly Teixeira Espinoça, Kamylla Fernanda Souza de Souza, Nathalia Miranda Campos, Rafael Seiji Nakano Ota, Edgar Julian Paredes-Gamero, Danilo Wilhelm Filho, Ana Rita Coimbra Motta-Castro, Renata Trentin Perdomo, Eduardo Benedetti Parisotto\",\"doi\":\"10.1080/13510002.2025.2471738\",\"DOIUrl\":null,\"url\":null,\"abstract\":\"<p><p>Oxidative stress (OS) plays a key role in the pathophysiology of COVID-19 and may be associated with sequelae after severe SARS-CoV-2 infection. This study evaluated OS and inflammation biomarkers in blood from individuals with post-acute sequelae of COVID-19 (PASC). 64 male and female participants were distributed into three groups: healthy individuals (<i>n</i> = 20), acute COVID-19 patients (symptoms for <3 weeks, <i>n</i> = 15), and PASC patients (symptoms for >12 weeks, <i>n</i> = 29). Analyses included inflammatory cytokines, myeloperoxidase (MPO) activity, and OS markers, such as superoxide dismutase (SOD), catalase (CAT), glutathione <i>S</i>-transferase (GST), gamma-glutamyl transferase (GGT), reduced glutathione (GSH), uric acid (UA), thiobarbituric acid reactive substances (TBARS), and protein carbonyls (PC). Individuals with PASC showed increased IL-6 and IL-8. Both COVID-19 groups exhibited decreased SOD and CAT. GST decreased only in the acute group. Elevated GGT and GSH were found in the PASC group. High UA levels were observed in PASC individuals. There were no changes in TBARS values ⁣⁣in the PASC group. However, PC concentrations were elevated only in this group. Correlations were identified between inflammatory markers and OS parameters. These findings suggest that individuals with PASC pronounced OS, which potentially exacerbates disease complications. Monitoring OS biomarkers could aid in patient prognosis and management.</p>\",\"PeriodicalId\":21096,\"journal\":{\"name\":\"Redox Report\",\"volume\":\"30 1\",\"pages\":\"2471738\"},\"PeriodicalIF\":7.4000,\"publicationDate\":\"2025-12-01\",\"publicationTypes\":\"Journal Article\",\"fieldsOfStudy\":null,\"isOpenAccess\":false,\"openAccessPdf\":\"https://www.ncbi.nlm.nih.gov/pmc/articles/PMC11878172/pdf/\",\"citationCount\":\"0\",\"resultStr\":null,\"platform\":\"Semanticscholar\",\"paperid\":null,\"PeriodicalName\":\"Redox Report\",\"FirstCategoryId\":\"99\",\"ListUrlMain\":\"https://doi.org/10.1080/13510002.2025.2471738\",\"RegionNum\":2,\"RegionCategory\":\"生物学\",\"ArticlePicture\":[],\"TitleCN\":null,\"AbstractTextCN\":null,\"PMCID\":null,\"EPubDate\":\"2025/3/3 0:00:00\",\"PubModel\":\"Epub\",\"JCR\":\"Q1\",\"JCRName\":\"BIOCHEMISTRY & MOLECULAR BIOLOGY\",\"Score\":null,\"Total\":0}","platform":"Semanticscholar","paperid":null,"PeriodicalName":"Redox Report","FirstCategoryId":"99","ListUrlMain":"https://doi.org/10.1080/13510002.2025.2471738","RegionNum":2,"RegionCategory":"生物学","ArticlePicture":[],"TitleCN":null,"AbstractTextCN":null,"PMCID":null,"EPubDate":"2025/3/3 0:00:00","PubModel":"Epub","JCR":"Q1","JCRName":"BIOCHEMISTRY & MOLECULAR BIOLOGY","Score":null,"Total":0}
引用次数: 0

摘要

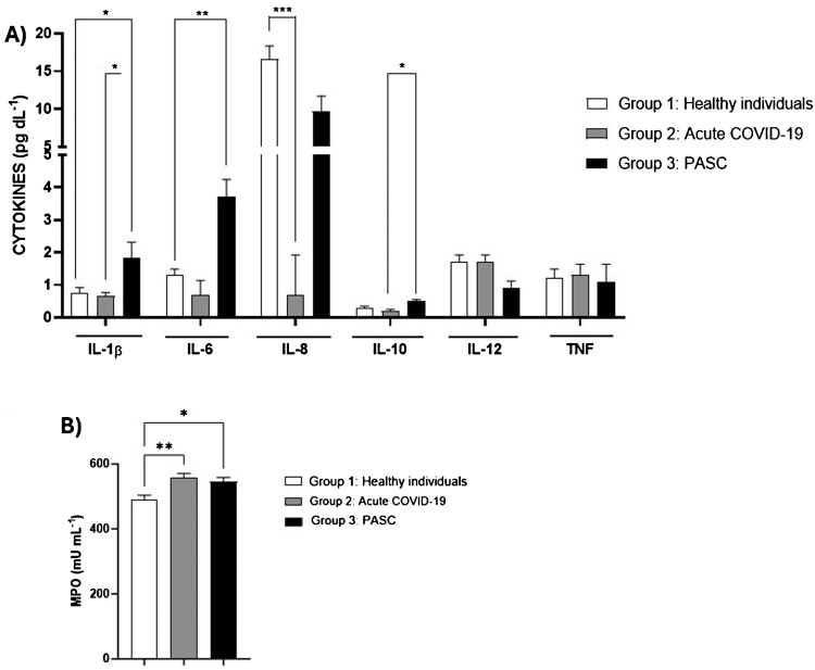
氧化应激(OS)在COVID-19的病理生理中发挥关键作用,并可能与严重SARS-CoV-2感染后的后遗症有关。本研究评估了COVID-19急性后后遗症(PASC)患者血液中的OS和炎症生物标志物。64名男性和女性参与者被分为三组:健康个体(n = 20)、急性COVID-19患者(n = 15)和PASC患者(症状持续12周,n = 29)。分析包括炎症细胞因子、髓过氧化物酶(MPO)活性和OS标记物,如超氧化物歧化酶(SOD)、过氧化氢酶(CAT)、谷胱甘肽s转移酶(GST)、γ -谷氨酰转移酶(GGT)、还原性谷胱甘肽(GSH)、尿酸(UA)、硫代巴比妥酸活性物质(TBARS)和蛋白质碳基(PC)。PASC患者IL-6和IL-8升高。两组均出现SOD和CAT降低。GST仅在急性组降低。PASC组GGT和GSH升高。在PASC个体中观察到高UA水平。PASC组TBARS值没有变化。然而,PC浓度仅在该组升高。炎症标志物与OS参数之间存在相关性。这些发现表明,PASC患者表现为OS,这可能会加剧疾病并发症。监测OS生物标志物有助于患者预后和管理。
本文章由计算机程序翻译,如有差异,请以英文原文为准。

Involvement of oxidative stress in post-acute sequelae of COVID-19: clinical implications.

Involvement of oxidative stress in post-acute sequelae of COVID-19: clinical implications.

Involvement of oxidative stress in post-acute sequelae of COVID-19: clinical implications.

Involvement of oxidative stress in post-acute sequelae of COVID-19: clinical implications.

Oxidative stress (OS) plays a key role in the pathophysiology of COVID-19 and may be associated with sequelae after severe SARS-CoV-2 infection. This study evaluated OS and inflammation biomarkers in blood from individuals with post-acute sequelae of COVID-19 (PASC). 64 male and female participants were distributed into three groups: healthy individuals (n = 20), acute COVID-19 patients (symptoms for <3 weeks, n = 15), and PASC patients (symptoms for >12 weeks, n = 29). Analyses included inflammatory cytokines, myeloperoxidase (MPO) activity, and OS markers, such as superoxide dismutase (SOD), catalase (CAT), glutathione S-transferase (GST), gamma-glutamyl transferase (GGT), reduced glutathione (GSH), uric acid (UA), thiobarbituric acid reactive substances (TBARS), and protein carbonyls (PC). Individuals with PASC showed increased IL-6 and IL-8. Both COVID-19 groups exhibited decreased SOD and CAT. GST decreased only in the acute group. Elevated GGT and GSH were found in the PASC group. High UA levels were observed in PASC individuals. There were no changes in TBARS values ⁣⁣in the PASC group. However, PC concentrations were elevated only in this group. Correlations were identified between inflammatory markers and OS parameters. These findings suggest that individuals with PASC pronounced OS, which potentially exacerbates disease complications. Monitoring OS biomarkers could aid in patient prognosis and management.

求助全文
通过发布文献求助,成功后即可免费获取论文全文。 去求助
来源期刊
Redox Report
Redox Report 生物-生化与分子生物学
CiteScore
6.10
自引率
0.00%
发文量
28
审稿时长
>12 weeks
期刊介绍: Redox Report is a multidisciplinary peer-reviewed open access journal focusing on the role of free radicals, oxidative stress, activated oxygen, perioxidative and redox processes, primarily in the human environment and human pathology. Relevant papers on the animal and plant environment, biology and pathology will also be included. While emphasis is placed upon methodological and intellectual advances underpinned by new data, the journal offers scope for review, hypotheses, critiques and other forms of discussion.
×
引用
GB/T 7714-2015
复制
MLA
复制
APA
复制
导出至
BibTeX EndNote RefMan NoteFirst NoteExpress
×
提示
您的信息不完整,为了账户安全,请先补充。
现在去补充
×
提示
您因"违规操作"
具体请查看互助需知
我知道了
×
提示
确定
请完成安全验证×
copy
已复制链接
快去分享给好友吧!
我知道了
右上角分享
点击右上角分享
0
联系我们:info@booksci.cn Book学术提供免费学术资源搜索服务,方便国内外学者检索中英文文献。致力于提供最便捷和优质的服务体验。 Copyright © 2023 布克学术 All rights reserved.
京ICP备2023020795号-1
ghs 京公网安备 11010802042870号
Book学术文献互助
Book学术文献互助群
群 号:604180095
Book学术官方微信