收缩压与左室舒张末期压比与TIMI评分对经皮冠状动脉介入术后短期死亡率的预测准确性。

IF 0.7 Q3 CARDIAC & CARDIOVASCULAR SYSTEMS
Rajesh Kumar, Naveed Ullah Khan, Ali Bin Naseer, Zille Huma, Kalsoom Chachar, Maryam Samad, Muhammad Ishaq, Abiha Urooj, Uroosa Safdar, Muhammad Rasool, Sohail Khan, Jawaid Akbar Sial, Tahir Saghir, Nadeem Qamar
{"title":"收缩压与左室舒张末期压比与TIMI评分对经皮冠状动脉介入术后短期死亡率的预测准确性。","authors":"Rajesh Kumar, Naveed Ullah Khan, Ali Bin Naseer, Zille Huma, Kalsoom Chachar, Maryam Samad, Muhammad Ishaq, Abiha Urooj, Uroosa Safdar, Muhammad Rasool, Sohail Khan, Jawaid Akbar Sial, Tahir Saghir, Nadeem Qamar","doi":"10.34172/jcvtr.32933","DOIUrl":null,"url":null,"abstract":"<p><strong>Introduction: </strong>Aim of this study was to evaluate the predictive performance of systolic blood pressure (SBP) to left ventricular end-diastolic pressure (LVEDP) ratio for the prediction of in-hospital and short-term mortality in a contemporary cohort of patients with ST-segment elevation myocardial infarction (STEMI) undergoing primary percutaneous coronary intervention (PCI) at a tertiary care cardiac center.</p><p><strong>Methods: </strong>This study included a consecutive series of patients diagnosed with STEMI who underwent primary PCI. The SBP/LVEDP ratio and TIMI (Thrombolysis in Myocardial Infarction) score were calculated, and their ability to predict in-hospital and short-term mortality was evaluated by analyzing the area under the curve (AUC) on the receiver operating characteristics (ROC) curve.</p><p><strong>Results: </strong>This study involved 977 patients, with 780 (79.8%) being male and a mean age of 55.6±11.5 years. Among them, 191 (19.5%) had an SBP/LVEDP≤5.4. The in-hospital mortality rate was 4.3% (42), and the short-term all-cause mortality rate after a mean follow-up of 5.9±2.4 months was 15% (140). Patients with SBP/LVEDP≤5.4 had higher in-hospital mortality rates (14.1% vs. 1.9%; <i>P</i><0.001) and short-term mortality rates (35.1% vs. 9.8%; <i>P</i><0.001) compared to those with SBP/LVEDP>5.4. The AUCs of SBP/LVEDP and TIMI for predicting in-hospital mortality were 0.766 [0.681-0.851] and 0.787 [0.713-0.861], respectively. For short-term mortality, the AUCs of SBP/LVEDP and TIMI were 0.731 [0.682-0.780] and 0.736 [0.690-0.782], respectively.</p><p><strong>Conclusion: </strong>In conclusion, SBP/LVEDP showed sufficiently high predictive power comparable to the TIMI risk score. SBP/LVEDP is a readily available ratio that can rapidly provide valuable prognostic information during primary PCI.</p>","PeriodicalId":15207,"journal":{"name":"Journal of Cardiovascular and Thoracic Research","volume":"16 4","pages":"235-242"},"PeriodicalIF":0.7000,"publicationDate":"2024-01-01","publicationTypes":"Journal Article","fieldsOfStudy":null,"isOpenAccess":false,"openAccessPdf":"https://www.ncbi.nlm.nih.gov/pmc/articles/PMC11866769/pdf/","citationCount":"0","resultStr":"{\"title\":\"Predictive accuracy of systolic blood pressure to left ventricular end-diastolic pressure ratio versus TIMI score for short-term mortality after primary percutaneous coronary intervention.\",\"authors\":\"Rajesh Kumar, Naveed Ullah Khan, Ali Bin Naseer, Zille Huma, Kalsoom Chachar, Maryam Samad, Muhammad Ishaq, Abiha Urooj, Uroosa Safdar, Muhammad Rasool, Sohail Khan, Jawaid Akbar Sial, Tahir Saghir, Nadeem Qamar\",\"doi\":\"10.34172/jcvtr.32933\",\"DOIUrl\":null,\"url\":null,\"abstract\":\"<p><strong>Introduction: </strong>Aim of this study was to evaluate the predictive performance of systolic blood pressure (SBP) to left ventricular end-diastolic pressure (LVEDP) ratio for the prediction of in-hospital and short-term mortality in a contemporary cohort of patients with ST-segment elevation myocardial infarction (STEMI) undergoing primary percutaneous coronary intervention (PCI) at a tertiary care cardiac center.</p><p><strong>Methods: </strong>This study included a consecutive series of patients diagnosed with STEMI who underwent primary PCI. The SBP/LVEDP ratio and TIMI (Thrombolysis in Myocardial Infarction) score were calculated, and their ability to predict in-hospital and short-term mortality was evaluated by analyzing the area under the curve (AUC) on the receiver operating characteristics (ROC) curve.</p><p><strong>Results: </strong>This study involved 977 patients, with 780 (79.8%) being male and a mean age of 55.6±11.5 years. Among them, 191 (19.5%) had an SBP/LVEDP≤5.4. The in-hospital mortality rate was 4.3% (42), and the short-term all-cause mortality rate after a mean follow-up of 5.9±2.4 months was 15% (140). Patients with SBP/LVEDP≤5.4 had higher in-hospital mortality rates (14.1% vs. 1.9%; <i>P</i><0.001) and short-term mortality rates (35.1% vs. 9.8%; <i>P</i><0.001) compared to those with SBP/LVEDP>5.4. The AUCs of SBP/LVEDP and TIMI for predicting in-hospital mortality were 0.766 [0.681-0.851] and 0.787 [0.713-0.861], respectively. For short-term mortality, the AUCs of SBP/LVEDP and TIMI were 0.731 [0.682-0.780] and 0.736 [0.690-0.782], respectively.</p><p><strong>Conclusion: </strong>In conclusion, SBP/LVEDP showed sufficiently high predictive power comparable to the TIMI risk score. SBP/LVEDP is a readily available ratio that can rapidly provide valuable prognostic information during primary PCI.</p>\",\"PeriodicalId\":15207,\"journal\":{\"name\":\"Journal of Cardiovascular and Thoracic Research\",\"volume\":\"16 4\",\"pages\":\"235-242\"},\"PeriodicalIF\":0.7000,\"publicationDate\":\"2024-01-01\",\"publicationTypes\":\"Journal Article\",\"fieldsOfStudy\":null,\"isOpenAccess\":false,\"openAccessPdf\":\"https://www.ncbi.nlm.nih.gov/pmc/articles/PMC11866769/pdf/\",\"citationCount\":\"0\",\"resultStr\":null,\"platform\":\"Semanticscholar\",\"paperid\":null,\"PeriodicalName\":\"Journal of Cardiovascular and Thoracic Research\",\"FirstCategoryId\":\"1085\",\"ListUrlMain\":\"https://doi.org/10.34172/jcvtr.32933\",\"RegionNum\":0,\"RegionCategory\":null,\"ArticlePicture\":[],\"TitleCN\":null,\"AbstractTextCN\":null,\"PMCID\":null,\"EPubDate\":\"2024/12/23 0:00:00\",\"PubModel\":\"Epub\",\"JCR\":\"Q3\",\"JCRName\":\"CARDIAC & CARDIOVASCULAR SYSTEMS\",\"Score\":null,\"Total\":0}","platform":"Semanticscholar","paperid":null,"PeriodicalName":"Journal of Cardiovascular and Thoracic Research","FirstCategoryId":"1085","ListUrlMain":"https://doi.org/10.34172/jcvtr.32933","RegionNum":0,"RegionCategory":null,"ArticlePicture":[],"TitleCN":null,"AbstractTextCN":null,"PMCID":null,"EPubDate":"2024/12/23 0:00:00","PubModel":"Epub","JCR":"Q3","JCRName":"CARDIAC & CARDIOVASCULAR SYSTEMS","Score":null,"Total":0}
引用次数: 0

摘要

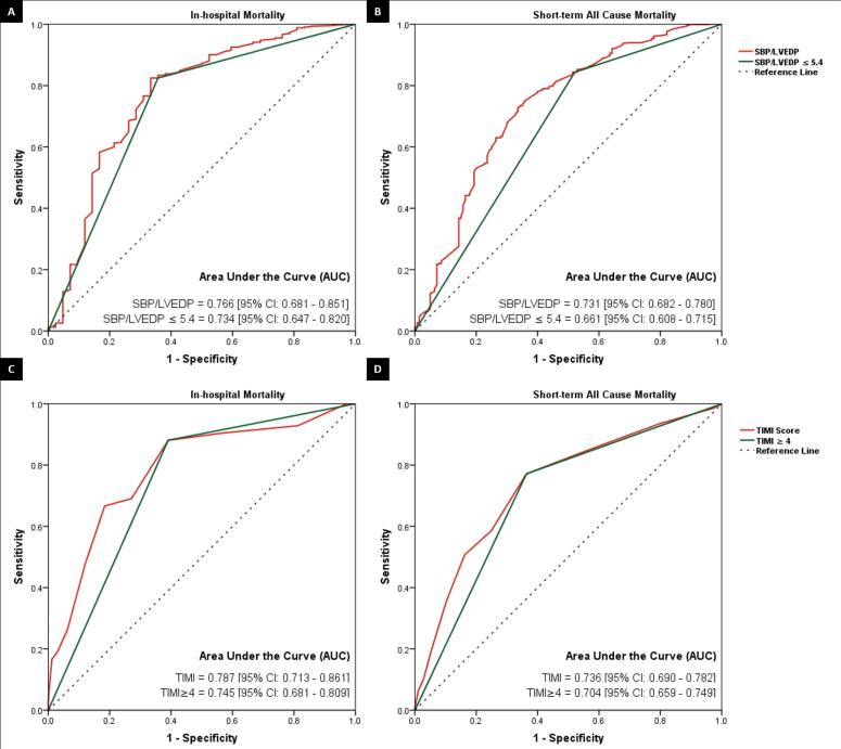
简介:本研究的目的是评估收缩压(SBP)与左室舒张末期压(LVEDP)比对在三级保健心脏中心接受初级经皮冠状动脉介入治疗(PCI)的st段抬高型心肌梗死(STEMI)患者的住院和短期死亡率的预测性能。方法:本研究纳入了一系列被诊断为STEMI并接受首次PCI治疗的连续患者。计算SBP/LVEDP比值和TIMI (Thrombolysis in Myocardial Infarction,心肌梗死溶栓)评分,通过分析受试者工作特征(ROC)曲线下面积(AUC)评价其预测住院死亡率和短期死亡率的能力。结果:本研究纳入977例患者,其中780例(79.8%)为男性,平均年龄55.6±11.5岁。其中191例(19.5%)患者SBP/LVEDP≤5.4。住院死亡率4.3%(42人),平均随访5.9±2.4个月,短期全因死亡率15%(140人)。SBP/LVEDP≤5.4的患者住院死亡率更高(14.1% vs. 1.9%;PP5.4。SBP/LVEDP和TIMI预测住院死亡率的auc分别为0.766[0.681-0.851]和0.787[0.713-0.861]。短期死亡率方面,SBP/LVEDP和TIMI的auc分别为0.731[0.682-0.780]和0.736[0.690-0.782]。结论:与TIMI风险评分相比,SBP/LVEDP具有足够高的预测能力。收缩压/LVEDP是一个容易获得的比值,可以快速提供初步PCI治疗期间有价值的预后信息。
本文章由计算机程序翻译,如有差异,请以英文原文为准。

Predictive accuracy of systolic blood pressure to left ventricular end-diastolic pressure ratio versus TIMI score for short-term mortality after primary percutaneous coronary intervention.

Predictive accuracy of systolic blood pressure to left ventricular end-diastolic pressure ratio versus TIMI score for short-term mortality after primary percutaneous coronary intervention.

Introduction: Aim of this study was to evaluate the predictive performance of systolic blood pressure (SBP) to left ventricular end-diastolic pressure (LVEDP) ratio for the prediction of in-hospital and short-term mortality in a contemporary cohort of patients with ST-segment elevation myocardial infarction (STEMI) undergoing primary percutaneous coronary intervention (PCI) at a tertiary care cardiac center.

Methods: This study included a consecutive series of patients diagnosed with STEMI who underwent primary PCI. The SBP/LVEDP ratio and TIMI (Thrombolysis in Myocardial Infarction) score were calculated, and their ability to predict in-hospital and short-term mortality was evaluated by analyzing the area under the curve (AUC) on the receiver operating characteristics (ROC) curve.

Results: This study involved 977 patients, with 780 (79.8%) being male and a mean age of 55.6±11.5 years. Among them, 191 (19.5%) had an SBP/LVEDP≤5.4. The in-hospital mortality rate was 4.3% (42), and the short-term all-cause mortality rate after a mean follow-up of 5.9±2.4 months was 15% (140). Patients with SBP/LVEDP≤5.4 had higher in-hospital mortality rates (14.1% vs. 1.9%; P<0.001) and short-term mortality rates (35.1% vs. 9.8%; P<0.001) compared to those with SBP/LVEDP>5.4. The AUCs of SBP/LVEDP and TIMI for predicting in-hospital mortality were 0.766 [0.681-0.851] and 0.787 [0.713-0.861], respectively. For short-term mortality, the AUCs of SBP/LVEDP and TIMI were 0.731 [0.682-0.780] and 0.736 [0.690-0.782], respectively.

Conclusion: In conclusion, SBP/LVEDP showed sufficiently high predictive power comparable to the TIMI risk score. SBP/LVEDP is a readily available ratio that can rapidly provide valuable prognostic information during primary PCI.

求助全文
通过发布文献求助,成功后即可免费获取论文全文。 去求助
来源期刊
Journal of Cardiovascular and Thoracic Research
Journal of Cardiovascular and Thoracic Research CARDIAC & CARDIOVASCULAR SYSTEMS-
CiteScore
2.00
自引率
0.00%
发文量
22
审稿时长
7 weeks
×
引用
GB/T 7714-2015
复制
MLA
复制
APA
复制
导出至
BibTeX EndNote RefMan NoteFirst NoteExpress
×
提示
您的信息不完整,为了账户安全,请先补充。
现在去补充
×
提示
您因"违规操作"
具体请查看互助需知
我知道了
×
提示
确定
请完成安全验证×
copy
已复制链接
快去分享给好友吧!
我知道了
右上角分享
点击右上角分享
0
联系我们:info@booksci.cn Book学术提供免费学术资源搜索服务,方便国内外学者检索中英文文献。致力于提供最便捷和优质的服务体验。 Copyright © 2023 布克学术 All rights reserved.
京ICP备2023020795号-1
ghs 京公网安备 11010802042870号
Book学术文献互助
Book学术文献互助群
群 号:604180095
Book学术官方微信