评估西班牙头颈癌患者口干、吞咽困难和生活质量的电子患者报告结果措施的可靠性:随机交叉设计。

IF 3.4 2区 医学 Q1 HEALTH CARE SCIENCES & SERVICES
Mario Lozano-Lozano, Maria Lopez-Garzon, Paula Cuadrado-Guerrero, Paula Postigo-Martin, Carolina Fernández-Lao, Isabel Tovar-Martín, Noelia Galiano-Castillo
{"title":"评估西班牙头颈癌患者口干、吞咽困难和生活质量的电子患者报告结果措施的可靠性:随机交叉设计。","authors":"Mario Lozano-Lozano, Maria Lopez-Garzon, Paula Cuadrado-Guerrero, Paula Postigo-Martin, Carolina Fernández-Lao, Isabel Tovar-Martín, Noelia Galiano-Castillo","doi":"10.1186/s12955-025-02347-1","DOIUrl":null,"url":null,"abstract":"<p><strong>Purpose: </strong>To analyse reliability in terms of concordance (agreement) and equivalence of the Patient Reported Outcome Measures (PROM) with an electronic modality (ePROM) of the recognised questionnaires assessing of xerostomia, dysphagia and quality of life (QoL) in Spanish patients with head and neck cancer (HNC). We hypothesised notable reliability and equivalence between the two modalities.</p><p><strong>Methods: </strong>A total of 24 patients (median age 63.00 years, undergone radiotherapy, either alone or in combination with surgery and/or chemotherapy, and suffering xerostomia) were randomised to either paper-based (PROM) or ePROM in a two-arm crossover design with a within-subject comparison of the two modalities (washout period 90 min). Outcome measures of interest were xerostomia: severity itself (Xerostomia Inventory, XI), perceived xerostomia (visual analogue scale, VAS), regional oral dryness (Regional Oral Dryness Inventory, RODI) and dry mouth/sticky saliva (specific head and neck module European Organisation for Research and Treatment of Cancer Quality of Life Questionnaire Head and Neck Module, EORTC QLQ-H&N35 and updated EORTC QLQ-H&N43); dysphagia: swallowing burden (Eating Assessment Tool-10, EAT-10) and swallowing (EORTC QLQ-H&N35 and EORTC QLQ-H&N43); and QoL: global health (EORTC QLQ-Core 30, EORTC QLQ-C30). Data concerning the concordance between modalities was evaluated using Spearman correlation coefficients, intraclass correlation coefficients (ICCs) and Bland Altman plots with limits of agreement. In addition, a two one-sided test to check equivalence with clinical importance changes. Finally, 1-week time span separated test and retest of ePROM (only electronic modality) using Wilcoxon test and ICCs.</p><p><strong>Results: </strong>There was excellent concordance (PROM versus ePROM 0.79-0.96) with most differences fell within the limits of agreement. The equivalence analysis showed that the difference between both modalities was not more than a tolerably small amount (P < 0.05), except for dysphagia and QoL. Analysis over time exhibited from good to excellent (0.81-0.93) test-retest stability for the majority of outcome measures.</p><p><strong>Conclusion: </strong>The newly developed ePROMs embedded into LAXER application have showed high level of reliability that supports their implementation in clinical practice, offering a convenient and efficient alternative to paper-based questionnaires. This study shows that electronic adaptations are possible despite the challenging older target population.</p><p><strong>Trial registration: </strong>The study is part of the LAXER study (2021-11-04 / ClinicalTrials.gov: NCT05106608).</p>","PeriodicalId":12980,"journal":{"name":"Health and Quality of Life Outcomes","volume":"23 1","pages":"19"},"PeriodicalIF":3.4000,"publicationDate":"2025-03-03","publicationTypes":"Journal Article","fieldsOfStudy":null,"isOpenAccess":false,"openAccessPdf":"https://www.ncbi.nlm.nih.gov/pmc/articles/PMC11877701/pdf/","citationCount":"0","resultStr":"{\"title\":\"Reliability of the electronic patient reported outcome measures for assessing xerostomia, dysphagia and quality of life in Spanish patients with head and neck cancer: a randomised crossover design.\",\"authors\":\"Mario Lozano-Lozano, Maria Lopez-Garzon, Paula Cuadrado-Guerrero, Paula Postigo-Martin, Carolina Fernández-Lao, Isabel Tovar-Martín, Noelia Galiano-Castillo\",\"doi\":\"10.1186/s12955-025-02347-1\",\"DOIUrl\":null,\"url\":null,\"abstract\":\"<p><strong>Purpose: </strong>To analyse reliability in terms of concordance (agreement) and equivalence of the Patient Reported Outcome Measures (PROM) with an electronic modality (ePROM) of the recognised questionnaires assessing of xerostomia, dysphagia and quality of life (QoL) in Spanish patients with head and neck cancer (HNC). We hypothesised notable reliability and equivalence between the two modalities.</p><p><strong>Methods: </strong>A total of 24 patients (median age 63.00 years, undergone radiotherapy, either alone or in combination with surgery and/or chemotherapy, and suffering xerostomia) were randomised to either paper-based (PROM) or ePROM in a two-arm crossover design with a within-subject comparison of the two modalities (washout period 90 min). Outcome measures of interest were xerostomia: severity itself (Xerostomia Inventory, XI), perceived xerostomia (visual analogue scale, VAS), regional oral dryness (Regional Oral Dryness Inventory, RODI) and dry mouth/sticky saliva (specific head and neck module European Organisation for Research and Treatment of Cancer Quality of Life Questionnaire Head and Neck Module, EORTC QLQ-H&N35 and updated EORTC QLQ-H&N43); dysphagia: swallowing burden (Eating Assessment Tool-10, EAT-10) and swallowing (EORTC QLQ-H&N35 and EORTC QLQ-H&N43); and QoL: global health (EORTC QLQ-Core 30, EORTC QLQ-C30). Data concerning the concordance between modalities was evaluated using Spearman correlation coefficients, intraclass correlation coefficients (ICCs) and Bland Altman plots with limits of agreement. In addition, a two one-sided test to check equivalence with clinical importance changes. Finally, 1-week time span separated test and retest of ePROM (only electronic modality) using Wilcoxon test and ICCs.</p><p><strong>Results: </strong>There was excellent concordance (PROM versus ePROM 0.79-0.96) with most differences fell within the limits of agreement. The equivalence analysis showed that the difference between both modalities was not more than a tolerably small amount (P < 0.05), except for dysphagia and QoL. Analysis over time exhibited from good to excellent (0.81-0.93) test-retest stability for the majority of outcome measures.</p><p><strong>Conclusion: </strong>The newly developed ePROMs embedded into LAXER application have showed high level of reliability that supports their implementation in clinical practice, offering a convenient and efficient alternative to paper-based questionnaires. This study shows that electronic adaptations are possible despite the challenging older target population.</p><p><strong>Trial registration: </strong>The study is part of the LAXER study (2021-11-04 / ClinicalTrials.gov: NCT05106608).</p>\",\"PeriodicalId\":12980,\"journal\":{\"name\":\"Health and Quality of Life Outcomes\",\"volume\":\"23 1\",\"pages\":\"19\"},\"PeriodicalIF\":3.4000,\"publicationDate\":\"2025-03-03\",\"publicationTypes\":\"Journal Article\",\"fieldsOfStudy\":null,\"isOpenAccess\":false,\"openAccessPdf\":\"https://www.ncbi.nlm.nih.gov/pmc/articles/PMC11877701/pdf/\",\"citationCount\":\"0\",\"resultStr\":null,\"platform\":\"Semanticscholar\",\"paperid\":null,\"PeriodicalName\":\"Health and Quality of Life Outcomes\",\"FirstCategoryId\":\"3\",\"ListUrlMain\":\"https://doi.org/10.1186/s12955-025-02347-1\",\"RegionNum\":2,\"RegionCategory\":\"医学\",\"ArticlePicture\":[],\"TitleCN\":null,\"AbstractTextCN\":null,\"PMCID\":null,\"EPubDate\":\"\",\"PubModel\":\"\",\"JCR\":\"Q1\",\"JCRName\":\"HEALTH CARE SCIENCES & SERVICES\",\"Score\":null,\"Total\":0}","platform":"Semanticscholar","paperid":null,"PeriodicalName":"Health and Quality of Life Outcomes","FirstCategoryId":"3","ListUrlMain":"https://doi.org/10.1186/s12955-025-02347-1","RegionNum":2,"RegionCategory":"医学","ArticlePicture":[],"TitleCN":null,"AbstractTextCN":null,"PMCID":null,"EPubDate":"","PubModel":"","JCR":"Q1","JCRName":"HEALTH CARE SCIENCES & SERVICES","Score":null,"Total":0}
引用次数: 0

摘要

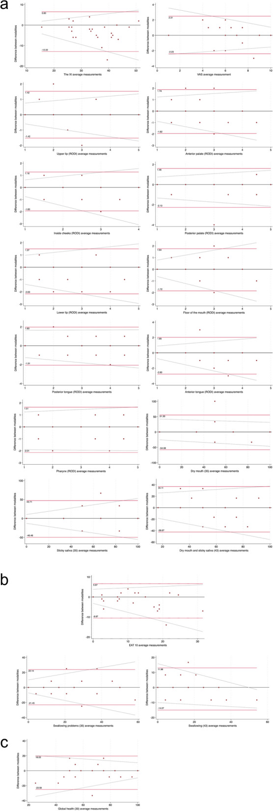
目的:分析西班牙头颈癌(HNC)患者口干、吞咽困难和生活质量(QoL)评估问卷的电子模式(ePROM)与患者报告结果测量(PROM)的一致性(一致性)和等效性的可靠性。我们假设两种模式之间具有显著的可靠性和等效性。方法:共有24例患者(中位年龄63.00岁,接受放疗,单独或联合手术和/或化疗,并患有口干症)在双臂交叉设计中随机分为纸质(PROM)或ePROM,并对两种方式进行受试者内比较(洗脱期90分钟)。感兴趣的结果测量是口干:严重程度本身(口干量表,XI),感知口干(视觉模拟量表,VAS),局部口腔干燥(区域口腔干燥量表,RODI)和口干/粘性唾液(特定头颈部模块,欧洲癌症研究和治疗组织生活质量问卷头颈部模块,EORTC QLQ-H&N35和更新的EORTC QLQ-H&N43);吞咽困难:吞咽负担(进食评估工具-10、EAT-10)和吞咽(EORTC QLQ-H&N35和EORTC QLQ-H&N43);QoL:全局健康(EORTC QLQ-Core 30, EORTC QLQ-C30)。使用Spearman相关系数、类内相关系数(ICCs)和具有一致性限制的Bland Altman图来评估模式之间的一致性数据。另外,采用双单侧检验来检验等效性与临床重要性的变化。最后,使用Wilcoxon测试和icc对ePROM(仅电子模式)进行1周时间间隔分离测试和重新测试。结果:有很好的一致性(PROM vs ePROM 0.79-0.96),大多数差异在一致的范围内。等效性分析显示,两种方式的差异不超过可接受的小量(P结论:新开发的eprom嵌入到LAXER应用程序中显示出高水平的可靠性,支持其在临床实践中的实施,为纸质问卷提供了一种方便高效的替代方案。这项研究表明,尽管老年目标人群具有挑战性,但电子适应是可能的。试验注册:该研究是LAXER研究的一部分(20121-11-04 / ClinicalTrials.gov: NCT05106608)。
本文章由计算机程序翻译,如有差异,请以英文原文为准。

Reliability of the electronic patient reported outcome measures for assessing xerostomia, dysphagia and quality of life in Spanish patients with head and neck cancer: a randomised crossover design.

Reliability of the electronic patient reported outcome measures for assessing xerostomia, dysphagia and quality of life in Spanish patients with head and neck cancer: a randomised crossover design.

Reliability of the electronic patient reported outcome measures for assessing xerostomia, dysphagia and quality of life in Spanish patients with head and neck cancer: a randomised crossover design.

Reliability of the electronic patient reported outcome measures for assessing xerostomia, dysphagia and quality of life in Spanish patients with head and neck cancer: a randomised crossover design.

Purpose: To analyse reliability in terms of concordance (agreement) and equivalence of the Patient Reported Outcome Measures (PROM) with an electronic modality (ePROM) of the recognised questionnaires assessing of xerostomia, dysphagia and quality of life (QoL) in Spanish patients with head and neck cancer (HNC). We hypothesised notable reliability and equivalence between the two modalities.

Methods: A total of 24 patients (median age 63.00 years, undergone radiotherapy, either alone or in combination with surgery and/or chemotherapy, and suffering xerostomia) were randomised to either paper-based (PROM) or ePROM in a two-arm crossover design with a within-subject comparison of the two modalities (washout period 90 min). Outcome measures of interest were xerostomia: severity itself (Xerostomia Inventory, XI), perceived xerostomia (visual analogue scale, VAS), regional oral dryness (Regional Oral Dryness Inventory, RODI) and dry mouth/sticky saliva (specific head and neck module European Organisation for Research and Treatment of Cancer Quality of Life Questionnaire Head and Neck Module, EORTC QLQ-H&N35 and updated EORTC QLQ-H&N43); dysphagia: swallowing burden (Eating Assessment Tool-10, EAT-10) and swallowing (EORTC QLQ-H&N35 and EORTC QLQ-H&N43); and QoL: global health (EORTC QLQ-Core 30, EORTC QLQ-C30). Data concerning the concordance between modalities was evaluated using Spearman correlation coefficients, intraclass correlation coefficients (ICCs) and Bland Altman plots with limits of agreement. In addition, a two one-sided test to check equivalence with clinical importance changes. Finally, 1-week time span separated test and retest of ePROM (only electronic modality) using Wilcoxon test and ICCs.

Results: There was excellent concordance (PROM versus ePROM 0.79-0.96) with most differences fell within the limits of agreement. The equivalence analysis showed that the difference between both modalities was not more than a tolerably small amount (P < 0.05), except for dysphagia and QoL. Analysis over time exhibited from good to excellent (0.81-0.93) test-retest stability for the majority of outcome measures.

Conclusion: The newly developed ePROMs embedded into LAXER application have showed high level of reliability that supports their implementation in clinical practice, offering a convenient and efficient alternative to paper-based questionnaires. This study shows that electronic adaptations are possible despite the challenging older target population.

Trial registration: The study is part of the LAXER study (2021-11-04 / ClinicalTrials.gov: NCT05106608).

求助全文
通过发布文献求助,成功后即可免费获取论文全文。 去求助
来源期刊
CiteScore
7.30
自引率
2.80%
发文量
154
审稿时长
3-8 weeks
期刊介绍: Health and Quality of Life Outcomes is an open access, peer-reviewed, journal offering high quality articles, rapid publication and wide diffusion in the public domain. Health and Quality of Life Outcomes considers original manuscripts on the Health-Related Quality of Life (HRQOL) assessment for evaluation of medical and psychosocial interventions. It also considers approaches and studies on psychometric properties of HRQOL and patient reported outcome measures, including cultural validation of instruments if they provide information about the impact of interventions. The journal publishes study protocols and reviews summarising the present state of knowledge concerning a particular aspect of HRQOL and patient reported outcome measures. Reviews should generally follow systematic review methodology. Comments on articles and letters to the editor are welcome.
×
引用
GB/T 7714-2015
复制
MLA
复制
APA
复制
导出至
BibTeX EndNote RefMan NoteFirst NoteExpress
×
提示
您的信息不完整,为了账户安全,请先补充。
现在去补充
×
提示
您因"违规操作"
具体请查看互助需知
我知道了
×
提示
确定
请完成安全验证×
copy
已复制链接
快去分享给好友吧!
我知道了
右上角分享
点击右上角分享
0
联系我们:info@booksci.cn Book学术提供免费学术资源搜索服务,方便国内外学者检索中英文文献。致力于提供最便捷和优质的服务体验。 Copyright © 2023 布克学术 All rights reserved.
京ICP备2023020795号-1
ghs 京公网安备 11010802042870号
Book学术文献互助
Book学术文献互助群
群 号:604180095
Book学术官方微信