在lugol色镜检查中辅助诊断食管恶性病变的图像模型。

IF 3 3区 医学 Q2 GASTROENTEROLOGY & HEPATOLOGY
Mengfei Liu, Zifan Qi, Ren Zhou, Chuanhai Guo, Anxiang Liu, Haijun Yang, Fenglei Li, Liping Duan, Lin Shen, Qi Wu, Zhen Liu, Yaqi Pan, Fangfang Liu, Ying Liu, Huanyu Chen, Zhe Hu, Hong Cai, Zhonghu He, Yang Ke
{"title":"在lugol色镜检查中辅助诊断食管恶性病变的图像模型。","authors":"Mengfei Liu, Zifan Qi, Ren Zhou, Chuanhai Guo, Anxiang Liu, Haijun Yang, Fenglei Li, Liping Duan, Lin Shen, Qi Wu, Zhen Liu, Yaqi Pan, Fangfang Liu, Ying Liu, Huanyu Chen, Zhe Hu, Hong Cai, Zhonghu He, Yang Ke","doi":"10.14309/ctg.0000000000000835","DOIUrl":null,"url":null,"abstract":"<p><strong>Introduction: </strong>Image-based diagnostic tools that aid endoscopists to biopsy putative esophageal malignant lesions are essential for ensuring the standardization and quality of Lugol chromoendoscopy. But there is no such model available yet.</p><p><strong>Methods: </strong>We developed a diagnostic model using endoscopic Lugol-unstained lesions (LULs) features and baseline data from 1,099 individuals enrolled from a large-scale population-based ESCC screening cohort. Six hundred three participants from a clinical outpatient cohort were included as the external validation set. High-grade intraepithelial neoplasia and above lesions identified at baseline or within 1 year after screening were defined as outcome. The final model was determined using logistic regression analysis by the Akaike information criterion.</p><p><strong>Results: </strong>The optimal diagnostic model contained the size, irregularity, sharp border of LUL, age, and body mass index of the participant, with the area under the curve of 0.83 (95% confidence interval [CI]: 0.78-0.87) in the development set, 0.81 (95% CI: 0.77-0.86) in the internal validation set, and 0.87 (95% CI: 0.84-0.90) in the external set. This model stratified individuals with LULs into low-risk, moderate-risk, and high-risk groups based on tertiles of predicted probabilities. The high-risk group accounted for <40% participants but enriched 80.8% and 82.7% of high-grade intraepithelial neoplasia and above cases in the development and external validation sets, respectively, achieving detection ratios 16.2 and 11.0 times higher than the low-risk group.</p><p><strong>Discussion: </strong>Our model can help maintain consistency and accuracy in detecting esophageal malignancy through Lugol chromoendoscopy, particularly in primary healthcare units in high-risk rural areas.</p>","PeriodicalId":10278,"journal":{"name":"Clinical and Translational Gastroenterology","volume":" ","pages":"e00835"},"PeriodicalIF":3.0000,"publicationDate":"2025-05-01","publicationTypes":"Journal Article","fieldsOfStudy":null,"isOpenAccess":false,"openAccessPdf":"https://www.ncbi.nlm.nih.gov/pmc/articles/PMC12101928/pdf/","citationCount":"0","resultStr":"{\"title\":\"An Image-Based Model for Assisting in Diagnosing Malignant Esophageal Lesions During Lugol Chromoendoscopic Examination.\",\"authors\":\"Mengfei Liu, Zifan Qi, Ren Zhou, Chuanhai Guo, Anxiang Liu, Haijun Yang, Fenglei Li, Liping Duan, Lin Shen, Qi Wu, Zhen Liu, Yaqi Pan, Fangfang Liu, Ying Liu, Huanyu Chen, Zhe Hu, Hong Cai, Zhonghu He, Yang Ke\",\"doi\":\"10.14309/ctg.0000000000000835\",\"DOIUrl\":null,\"url\":null,\"abstract\":\"<p><strong>Introduction: </strong>Image-based diagnostic tools that aid endoscopists to biopsy putative esophageal malignant lesions are essential for ensuring the standardization and quality of Lugol chromoendoscopy. But there is no such model available yet.</p><p><strong>Methods: </strong>We developed a diagnostic model using endoscopic Lugol-unstained lesions (LULs) features and baseline data from 1,099 individuals enrolled from a large-scale population-based ESCC screening cohort. Six hundred three participants from a clinical outpatient cohort were included as the external validation set. High-grade intraepithelial neoplasia and above lesions identified at baseline or within 1 year after screening were defined as outcome. The final model was determined using logistic regression analysis by the Akaike information criterion.</p><p><strong>Results: </strong>The optimal diagnostic model contained the size, irregularity, sharp border of LUL, age, and body mass index of the participant, with the area under the curve of 0.83 (95% confidence interval [CI]: 0.78-0.87) in the development set, 0.81 (95% CI: 0.77-0.86) in the internal validation set, and 0.87 (95% CI: 0.84-0.90) in the external set. This model stratified individuals with LULs into low-risk, moderate-risk, and high-risk groups based on tertiles of predicted probabilities. The high-risk group accounted for <40% participants but enriched 80.8% and 82.7% of high-grade intraepithelial neoplasia and above cases in the development and external validation sets, respectively, achieving detection ratios 16.2 and 11.0 times higher than the low-risk group.</p><p><strong>Discussion: </strong>Our model can help maintain consistency and accuracy in detecting esophageal malignancy through Lugol chromoendoscopy, particularly in primary healthcare units in high-risk rural areas.</p>\",\"PeriodicalId\":10278,\"journal\":{\"name\":\"Clinical and Translational Gastroenterology\",\"volume\":\" \",\"pages\":\"e00835\"},\"PeriodicalIF\":3.0000,\"publicationDate\":\"2025-05-01\",\"publicationTypes\":\"Journal Article\",\"fieldsOfStudy\":null,\"isOpenAccess\":false,\"openAccessPdf\":\"https://www.ncbi.nlm.nih.gov/pmc/articles/PMC12101928/pdf/\",\"citationCount\":\"0\",\"resultStr\":null,\"platform\":\"Semanticscholar\",\"paperid\":null,\"PeriodicalName\":\"Clinical and Translational Gastroenterology\",\"FirstCategoryId\":\"3\",\"ListUrlMain\":\"https://doi.org/10.14309/ctg.0000000000000835\",\"RegionNum\":3,\"RegionCategory\":\"医学\",\"ArticlePicture\":[],\"TitleCN\":null,\"AbstractTextCN\":null,\"PMCID\":null,\"EPubDate\":\"\",\"PubModel\":\"\",\"JCR\":\"Q2\",\"JCRName\":\"GASTROENTEROLOGY & HEPATOLOGY\",\"Score\":null,\"Total\":0}","platform":"Semanticscholar","paperid":null,"PeriodicalName":"Clinical and Translational Gastroenterology","FirstCategoryId":"3","ListUrlMain":"https://doi.org/10.14309/ctg.0000000000000835","RegionNum":3,"RegionCategory":"医学","ArticlePicture":[],"TitleCN":null,"AbstractTextCN":null,"PMCID":null,"EPubDate":"","PubModel":"","JCR":"Q2","JCRName":"GASTROENTEROLOGY & HEPATOLOGY","Score":null,"Total":0}
引用次数: 0

摘要

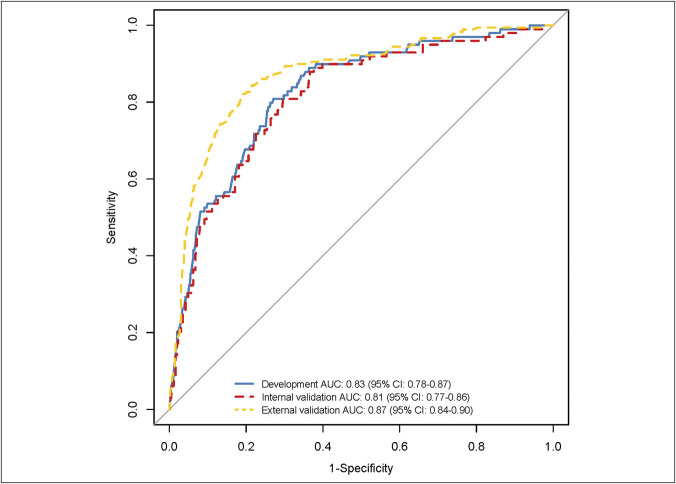
基于图像的诊断工具有助于内镜医师对假定的食管恶性病变进行活检,这对于确保Lugol色内镜检查的标准化和质量至关重要。但目前还没有这样的模型可用。方法:我们建立了一个诊断模型,使用内镜下lugo -unstained病变(LULs)特征和基线数据,这些数据来自1099个大规模人群ESCC筛查队列。来自临床门诊队列的603名参与者被纳入外部验证集。在基线或筛查后1年内发现的高级别上皮内瘤变及以上(HGINA)病变被定义为结局。采用赤池信息准则进行logistic回归分析,确定最终模型。结果:最优诊断模型包含受试者LUL的大小、不规则性、边缘尖锐、年龄和体重指数,其中发育组曲线下面积为0.83 (95% CI: 0.78 ~ 0.87),内部验证组曲线下面积为0.81 (95% CI: 0.77 ~ 0.86),外部验证组曲线下面积为0.87 (95% CI: 0.84 ~ 0.90)。该模型根据预测概率的分位数将ll患者分为低、中、高风险组。高风险组的参与者比例小于40%,但在开发和外部验证集中分别富集了80.8%和82.7%的HGINA病例,检出率分别比低风险组高16.2倍和11.0倍。讨论:我们的模型可以帮助保持通过Lugol色内窥镜检测食管恶性肿瘤的一致性和准确性,特别是在高危农村地区的初级卫生保健单位。
本文章由计算机程序翻译,如有差异,请以英文原文为准。

An Image-Based Model for Assisting in Diagnosing Malignant Esophageal Lesions During Lugol Chromoendoscopic Examination.

An Image-Based Model for Assisting in Diagnosing Malignant Esophageal Lesions During Lugol Chromoendoscopic Examination.

An Image-Based Model for Assisting in Diagnosing Malignant Esophageal Lesions During Lugol Chromoendoscopic Examination.

An Image-Based Model for Assisting in Diagnosing Malignant Esophageal Lesions During Lugol Chromoendoscopic Examination.

Introduction: Image-based diagnostic tools that aid endoscopists to biopsy putative esophageal malignant lesions are essential for ensuring the standardization and quality of Lugol chromoendoscopy. But there is no such model available yet.

Methods: We developed a diagnostic model using endoscopic Lugol-unstained lesions (LULs) features and baseline data from 1,099 individuals enrolled from a large-scale population-based ESCC screening cohort. Six hundred three participants from a clinical outpatient cohort were included as the external validation set. High-grade intraepithelial neoplasia and above lesions identified at baseline or within 1 year after screening were defined as outcome. The final model was determined using logistic regression analysis by the Akaike information criterion.

Results: The optimal diagnostic model contained the size, irregularity, sharp border of LUL, age, and body mass index of the participant, with the area under the curve of 0.83 (95% confidence interval [CI]: 0.78-0.87) in the development set, 0.81 (95% CI: 0.77-0.86) in the internal validation set, and 0.87 (95% CI: 0.84-0.90) in the external set. This model stratified individuals with LULs into low-risk, moderate-risk, and high-risk groups based on tertiles of predicted probabilities. The high-risk group accounted for <40% participants but enriched 80.8% and 82.7% of high-grade intraepithelial neoplasia and above cases in the development and external validation sets, respectively, achieving detection ratios 16.2 and 11.0 times higher than the low-risk group.

Discussion: Our model can help maintain consistency and accuracy in detecting esophageal malignancy through Lugol chromoendoscopy, particularly in primary healthcare units in high-risk rural areas.

求助全文
通过发布文献求助,成功后即可免费获取论文全文。 去求助
来源期刊
Clinical and Translational Gastroenterology
Clinical and Translational Gastroenterology GASTROENTEROLOGY & HEPATOLOGY-
CiteScore
7.00
自引率
0.00%
发文量
114
审稿时长
16 weeks
期刊介绍: Clinical and Translational Gastroenterology (CTG), published on behalf of the American College of Gastroenterology (ACG), is a peer-reviewed open access online journal dedicated to innovative clinical work in the field of gastroenterology and hepatology. CTG hopes to fulfill an unmet need for clinicians and scientists by welcoming novel cohort studies, early-phase clinical trials, qualitative and quantitative epidemiologic research, hypothesis-generating research, studies of novel mechanisms and methodologies including public health interventions, and integration of approaches across organs and disciplines. CTG also welcomes hypothesis-generating small studies, methods papers, and translational research with clear applications to human physiology or disease. Colon and small bowel Endoscopy and novel diagnostics Esophagus Functional GI disorders Immunology of the GI tract Microbiology of the GI tract Inflammatory bowel disease Pancreas and biliary tract Liver Pathology Pediatrics Preventative medicine Nutrition/obesity Stomach.
×
引用
GB/T 7714-2015
复制
MLA
复制
APA
复制
导出至
BibTeX EndNote RefMan NoteFirst NoteExpress
×
提示
您的信息不完整,为了账户安全,请先补充。
现在去补充
×
提示
您因"违规操作"
具体请查看互助需知
我知道了
×
提示
确定
请完成安全验证×
copy
已复制链接
快去分享给好友吧!
我知道了
右上角分享
点击右上角分享
0
联系我们:info@booksci.cn Book学术提供免费学术资源搜索服务,方便国内外学者检索中英文文献。致力于提供最便捷和优质的服务体验。 Copyright © 2023 布克学术 All rights reserved.
京ICP备2023020795号-1
ghs 京公网安备 11010802042870号
Book学术文献互助
Book学术文献互助群
群 号:604180095
Book学术官方微信