探索自闭症成人的谎言频率和欺骗性决策的情感体验。

IF 5.6 2区 心理学 Q1 PSYCHOLOGY, DEVELOPMENTAL
Autism Pub Date : 2025-06-01 Epub Date: 2025-03-03 DOI:10.1177/13623613251315892
Tiegan Blackhurst, Lara Warmelink, Amanda Roestorf, Calum Hartley
{"title":"探索自闭症成人的谎言频率和欺骗性决策的情感体验。","authors":"Tiegan Blackhurst, Lara Warmelink, Amanda Roestorf, Calum Hartley","doi":"10.1177/13623613251315892","DOIUrl":null,"url":null,"abstract":"<p><p>Deception is a multi-faceted social behaviour that is pervasive in human communication. Due to differences in social communication and experiences, autistic and non-autistic adults may contrast in how they respond to situations that elicit deceptive decision-making. This study examined whether autistic and non-autistic adults differed in their general lie frequency, their inclination to produce different lie types, and their emotional experiences of lying. Fifty-eight non-autistic and fifty-six autistic university students matched on age and gender completed self-report measures of their general lying patterns, how often they lied in the past 24 hours, and whether they would lie across hypothetical scenarios with differing beneficiaries (self, other, group) and motivations (protective, beneficial). The groups did not significantly differ in their general lying behaviour or frequency of lies told over 24 hours. Yet, autistic adults indicated that they would be significantly less likely to lie in group scenarios and would experience increased difficulty, more guilt, and greater concerns about their believability when lying. These results advance theoretical understanding by suggesting that autistic adults' deceptive decision-making may be context-dependent. Future research may benefit from examining autistic deception across numerous social situations as more general lie frequency measures may be insensitive to nuanced population differences.Lay AbstractLying, a universal social behaviour, is frequent in everyday communication. Due to differences in social communication and experiences, autistic and non-autistic adults may react differently in situations where they must decide whether to lie or tell the truth. We investigated whether autistic and non-autistic adults differ in their general lying behaviour (e.g. how often they lie) and their likelihood of lying in a range of hypothetical social scenarios with different motivations (why people lie - to benefit or protect) and orientations (who people lie for; themselves, other, a group). We also examined participants' emotional experiences of lying and truth-telling. We found that autistic and non-autistic adults' general lying frequencies and emotional experiences were similar. However, the social scenario responses revealed that autistic adults would be less likely to lie to benefit or protect a social group they are part of. Moreover, autistic adults indicated that they would find lying more difficult across all social scenarios, experience more guilt, and would be less confident that their lie would be believed. This research highlights how autistic adults' lying may be context-dependent and considers how a reduction in the likelihood of lying for their social group could increase strain on autistic adults' social relationships.</p>","PeriodicalId":8724,"journal":{"name":"Autism","volume":" ","pages":"1612-1626"},"PeriodicalIF":5.6000,"publicationDate":"2025-06-01","publicationTypes":"Journal Article","fieldsOfStudy":null,"isOpenAccess":false,"openAccessPdf":"https://www.ncbi.nlm.nih.gov/pmc/articles/PMC12089678/pdf/","citationCount":"0","resultStr":"{\"title\":\"Exploring lie frequency and emotional experiences of deceptive decision-making in autistic adults.\",\"authors\":\"Tiegan Blackhurst, Lara Warmelink, Amanda Roestorf, Calum Hartley\",\"doi\":\"10.1177/13623613251315892\",\"DOIUrl\":null,\"url\":null,\"abstract\":\"<p><p>Deception is a multi-faceted social behaviour that is pervasive in human communication. Due to differences in social communication and experiences, autistic and non-autistic adults may contrast in how they respond to situations that elicit deceptive decision-making. This study examined whether autistic and non-autistic adults differed in their general lie frequency, their inclination to produce different lie types, and their emotional experiences of lying. Fifty-eight non-autistic and fifty-six autistic university students matched on age and gender completed self-report measures of their general lying patterns, how often they lied in the past 24 hours, and whether they would lie across hypothetical scenarios with differing beneficiaries (self, other, group) and motivations (protective, beneficial). The groups did not significantly differ in their general lying behaviour or frequency of lies told over 24 hours. Yet, autistic adults indicated that they would be significantly less likely to lie in group scenarios and would experience increased difficulty, more guilt, and greater concerns about their believability when lying. These results advance theoretical understanding by suggesting that autistic adults' deceptive decision-making may be context-dependent. Future research may benefit from examining autistic deception across numerous social situations as more general lie frequency measures may be insensitive to nuanced population differences.Lay AbstractLying, a universal social behaviour, is frequent in everyday communication. Due to differences in social communication and experiences, autistic and non-autistic adults may react differently in situations where they must decide whether to lie or tell the truth. We investigated whether autistic and non-autistic adults differ in their general lying behaviour (e.g. how often they lie) and their likelihood of lying in a range of hypothetical social scenarios with different motivations (why people lie - to benefit or protect) and orientations (who people lie for; themselves, other, a group). We also examined participants' emotional experiences of lying and truth-telling. We found that autistic and non-autistic adults' general lying frequencies and emotional experiences were similar. However, the social scenario responses revealed that autistic adults would be less likely to lie to benefit or protect a social group they are part of. Moreover, autistic adults indicated that they would find lying more difficult across all social scenarios, experience more guilt, and would be less confident that their lie would be believed. This research highlights how autistic adults' lying may be context-dependent and considers how a reduction in the likelihood of lying for their social group could increase strain on autistic adults' social relationships.</p>\",\"PeriodicalId\":8724,\"journal\":{\"name\":\"Autism\",\"volume\":\" \",\"pages\":\"1612-1626\"},\"PeriodicalIF\":5.6000,\"publicationDate\":\"2025-06-01\",\"publicationTypes\":\"Journal Article\",\"fieldsOfStudy\":null,\"isOpenAccess\":false,\"openAccessPdf\":\"https://www.ncbi.nlm.nih.gov/pmc/articles/PMC12089678/pdf/\",\"citationCount\":\"0\",\"resultStr\":null,\"platform\":\"Semanticscholar\",\"paperid\":null,\"PeriodicalName\":\"Autism\",\"FirstCategoryId\":\"102\",\"ListUrlMain\":\"https://doi.org/10.1177/13623613251315892\",\"RegionNum\":2,\"RegionCategory\":\"心理学\",\"ArticlePicture\":[],\"TitleCN\":null,\"AbstractTextCN\":null,\"PMCID\":null,\"EPubDate\":\"2025/3/3 0:00:00\",\"PubModel\":\"Epub\",\"JCR\":\"Q1\",\"JCRName\":\"PSYCHOLOGY, DEVELOPMENTAL\",\"Score\":null,\"Total\":0}","platform":"Semanticscholar","paperid":null,"PeriodicalName":"Autism","FirstCategoryId":"102","ListUrlMain":"https://doi.org/10.1177/13623613251315892","RegionNum":2,"RegionCategory":"心理学","ArticlePicture":[],"TitleCN":null,"AbstractTextCN":null,"PMCID":null,"EPubDate":"2025/3/3 0:00:00","PubModel":"Epub","JCR":"Q1","JCRName":"PSYCHOLOGY, DEVELOPMENTAL","Score":null,"Total":0}
引用次数: 0

摘要

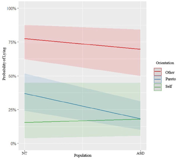
摘要:说谎是一种普遍的社会行为,在日常交往中频繁出现。由于社会沟通和经验的差异,自闭症和非自闭症成年人在必须决定是撒谎还是说实话的情况下可能会有不同的反应。我们调查了自闭症和非自闭症成年人的一般说谎行为(例如,他们说谎的频率)以及他们在一系列假设的社会场景中说谎的可能性,这些场景具有不同的动机(人们为什么撒谎——是为了利益还是保护)和取向(人们为谁撒谎;他们自己,他人,一个群体)。我们还研究了参与者在说谎和说真话时的情感体验。我们发现自闭症和非自闭症成年人说谎的频率和情绪体验是相似的。然而,社会情景反应显示,自闭症成年人不太可能为了利益或保护他们所属的社会群体而撒谎。此外,自闭症成年人表示,他们会发现在所有社会场景中说谎都更加困难,他们会感到更多的内疚,而且对自己的谎言会被相信的信心也会降低。这项研究强调了自闭症成年人的谎言是如何与环境相关的,并考虑了为社会群体撒谎的可能性的降低如何增加自闭症成年人的社会关系的压力。
本文章由计算机程序翻译,如有差异,请以英文原文为准。

Exploring lie frequency and emotional experiences of deceptive decision-making in autistic adults.

Exploring lie frequency and emotional experiences of deceptive decision-making in autistic adults.

Exploring lie frequency and emotional experiences of deceptive decision-making in autistic adults.

Exploring lie frequency and emotional experiences of deceptive decision-making in autistic adults.

Deception is a multi-faceted social behaviour that is pervasive in human communication. Due to differences in social communication and experiences, autistic and non-autistic adults may contrast in how they respond to situations that elicit deceptive decision-making. This study examined whether autistic and non-autistic adults differed in their general lie frequency, their inclination to produce different lie types, and their emotional experiences of lying. Fifty-eight non-autistic and fifty-six autistic university students matched on age and gender completed self-report measures of their general lying patterns, how often they lied in the past 24 hours, and whether they would lie across hypothetical scenarios with differing beneficiaries (self, other, group) and motivations (protective, beneficial). The groups did not significantly differ in their general lying behaviour or frequency of lies told over 24 hours. Yet, autistic adults indicated that they would be significantly less likely to lie in group scenarios and would experience increased difficulty, more guilt, and greater concerns about their believability when lying. These results advance theoretical understanding by suggesting that autistic adults' deceptive decision-making may be context-dependent. Future research may benefit from examining autistic deception across numerous social situations as more general lie frequency measures may be insensitive to nuanced population differences.Lay AbstractLying, a universal social behaviour, is frequent in everyday communication. Due to differences in social communication and experiences, autistic and non-autistic adults may react differently in situations where they must decide whether to lie or tell the truth. We investigated whether autistic and non-autistic adults differ in their general lying behaviour (e.g. how often they lie) and their likelihood of lying in a range of hypothetical social scenarios with different motivations (why people lie - to benefit or protect) and orientations (who people lie for; themselves, other, a group). We also examined participants' emotional experiences of lying and truth-telling. We found that autistic and non-autistic adults' general lying frequencies and emotional experiences were similar. However, the social scenario responses revealed that autistic adults would be less likely to lie to benefit or protect a social group they are part of. Moreover, autistic adults indicated that they would find lying more difficult across all social scenarios, experience more guilt, and would be less confident that their lie would be believed. This research highlights how autistic adults' lying may be context-dependent and considers how a reduction in the likelihood of lying for their social group could increase strain on autistic adults' social relationships.

求助全文
通过发布文献求助,成功后即可免费获取论文全文。 去求助
来源期刊
Autism
Autism PSYCHOLOGY, DEVELOPMENTAL-
CiteScore
9.80
自引率
11.50%
发文量
160
期刊介绍: Autism is a major, peer-reviewed, international journal, published 8 times a year, publishing research of direct and practical relevance to help improve the quality of life for individuals with autism or autism-related disorders. It is interdisciplinary in nature, focusing on research in many areas, including: intervention; diagnosis; training; education; translational issues related to neuroscience, medical and genetic issues of practical import; psychological processes; evaluation of particular therapies; quality of life; family needs; and epidemiological research. Autism provides a major international forum for peer-reviewed research of direct and practical relevance to improving the quality of life for individuals with autism or autism-related disorders. The journal''s success and popularity reflect the recent worldwide growth in the research and understanding of autistic spectrum disorders, and the consequent impact on the provision of treatment and care. Autism is interdisciplinary in nature, focusing on evaluative research in all areas, including: intervention, diagnosis, training, education, neuroscience, psychological processes, evaluation of particular therapies, quality of life issues, family issues and family services, medical and genetic issues, epidemiological research.
×
引用
GB/T 7714-2015
复制
MLA
复制
APA
复制
导出至
BibTeX EndNote RefMan NoteFirst NoteExpress
×
提示
您的信息不完整,为了账户安全,请先补充。
现在去补充
×
提示
您因"违规操作"
具体请查看互助需知
我知道了
×
提示
确定
请完成安全验证×
copy
已复制链接
快去分享给好友吧!
我知道了
右上角分享
点击右上角分享
0
联系我们:info@booksci.cn Book学术提供免费学术资源搜索服务,方便国内外学者检索中英文文献。致力于提供最便捷和优质的服务体验。 Copyright © 2023 布克学术 All rights reserved.
京ICP备2023020795号-1
ghs 京公网安备 11010802042870号
Book学术文献互助
Book学术文献互助群
群 号:604180095
Book学术官方微信