含有可持续填料的环氧基纳米复合材料,用于实现数字图像相关分析的斑点图案。

IF 3.9 2区 综合性期刊 Q1 MULTIDISCIPLINARY SCIENCES
Michele Perrella, Aurelio Bifulco, Antonio Aronne, Claudio Imparato, Immacolata Climaco, Mattia Bartoli, Matteo Bruno, Gabriele Cricrì, Enrico Armentani
{"title":"含有可持续填料的环氧基纳米复合材料,用于实现数字图像相关分析的斑点图案。","authors":"Michele Perrella, Aurelio Bifulco, Antonio Aronne, Claudio Imparato, Immacolata Climaco, Mattia Bartoli, Matteo Bruno, Gabriele Cricrì, Enrico Armentani","doi":"10.1038/s41598-025-89963-5","DOIUrl":null,"url":null,"abstract":"<p><p>The Digital Image Correlation (DIC) is a non-contact technique that analyses a sequence of images providing full field measurement of displacements and strains over time. The DIC experimental set-up requires a speckle pattern. In this work a new epoxy-based nanocomposite, containing TiO<sub>2</sub> nanoparticles and coffee-derived biochar fillers, was developed to obtain an ecofriendly flame-retardant material with suitable mechanical and optical properties for its use as speckle pattern for DIC applications. The optimized formulation is characterized by a uniform distribution of TiO<sub>2</sub> and biochar particles and can be employed as self-standing material during the manufacturing of composite reinforcements. The physicochemical properties, mechanical behaviour and fire performances of the nanocomposite are described. The incorporation of the additives in the epoxy resin increases the Young's modulus by around 30% and almost doubles the burn-through time with respect to pristine resin, suggesting a slight condensed phase mechanism arising from the synergistic action of TiO<sub>2</sub> and biochar. The effectiveness for creating DIC speckle patterns is validated by comparing the experimental strains measured by means of DIC analysis with those obtained through a traditional technique. Finally, the durability of the speckle patterns was assessed by accelerated thermal aging tests, confirming the potential application of the material in structural health monitoring of composite structures.</p>","PeriodicalId":21811,"journal":{"name":"Scientific Reports","volume":"15 1","pages":"6848"},"PeriodicalIF":3.9000,"publicationDate":"2025-02-26","publicationTypes":"Journal Article","fieldsOfStudy":null,"isOpenAccess":false,"openAccessPdf":"https://www.ncbi.nlm.nih.gov/pmc/articles/PMC11865316/pdf/","citationCount":"0","resultStr":"{\"title\":\"Epoxy-based nanocomposites containing sustainable fillers for the realization of speckle patterns for digital image correlation analysis.\",\"authors\":\"Michele Perrella, Aurelio Bifulco, Antonio Aronne, Claudio Imparato, Immacolata Climaco, Mattia Bartoli, Matteo Bruno, Gabriele Cricrì, Enrico Armentani\",\"doi\":\"10.1038/s41598-025-89963-5\",\"DOIUrl\":null,\"url\":null,\"abstract\":\"<p><p>The Digital Image Correlation (DIC) is a non-contact technique that analyses a sequence of images providing full field measurement of displacements and strains over time. The DIC experimental set-up requires a speckle pattern. In this work a new epoxy-based nanocomposite, containing TiO<sub>2</sub> nanoparticles and coffee-derived biochar fillers, was developed to obtain an ecofriendly flame-retardant material with suitable mechanical and optical properties for its use as speckle pattern for DIC applications. The optimized formulation is characterized by a uniform distribution of TiO<sub>2</sub> and biochar particles and can be employed as self-standing material during the manufacturing of composite reinforcements. The physicochemical properties, mechanical behaviour and fire performances of the nanocomposite are described. The incorporation of the additives in the epoxy resin increases the Young's modulus by around 30% and almost doubles the burn-through time with respect to pristine resin, suggesting a slight condensed phase mechanism arising from the synergistic action of TiO<sub>2</sub> and biochar. The effectiveness for creating DIC speckle patterns is validated by comparing the experimental strains measured by means of DIC analysis with those obtained through a traditional technique. Finally, the durability of the speckle patterns was assessed by accelerated thermal aging tests, confirming the potential application of the material in structural health monitoring of composite structures.</p>\",\"PeriodicalId\":21811,\"journal\":{\"name\":\"Scientific Reports\",\"volume\":\"15 1\",\"pages\":\"6848\"},\"PeriodicalIF\":3.9000,\"publicationDate\":\"2025-02-26\",\"publicationTypes\":\"Journal Article\",\"fieldsOfStudy\":null,\"isOpenAccess\":false,\"openAccessPdf\":\"https://www.ncbi.nlm.nih.gov/pmc/articles/PMC11865316/pdf/\",\"citationCount\":\"0\",\"resultStr\":null,\"platform\":\"Semanticscholar\",\"paperid\":null,\"PeriodicalName\":\"Scientific Reports\",\"FirstCategoryId\":\"103\",\"ListUrlMain\":\"https://doi.org/10.1038/s41598-025-89963-5\",\"RegionNum\":2,\"RegionCategory\":\"综合性期刊\",\"ArticlePicture\":[],\"TitleCN\":null,\"AbstractTextCN\":null,\"PMCID\":null,\"EPubDate\":\"\",\"PubModel\":\"\",\"JCR\":\"Q1\",\"JCRName\":\"MULTIDISCIPLINARY SCIENCES\",\"Score\":null,\"Total\":0}","platform":"Semanticscholar","paperid":null,"PeriodicalName":"Scientific Reports","FirstCategoryId":"103","ListUrlMain":"https://doi.org/10.1038/s41598-025-89963-5","RegionNum":2,"RegionCategory":"综合性期刊","ArticlePicture":[],"TitleCN":null,"AbstractTextCN":null,"PMCID":null,"EPubDate":"","PubModel":"","JCR":"Q1","JCRName":"MULTIDISCIPLINARY SCIENCES","Score":null,"Total":0}
引用次数: 0

摘要

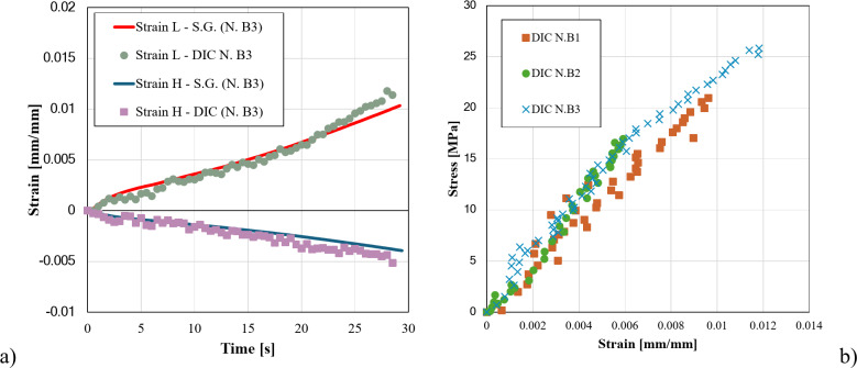
数字图像相关(DIC)是一种非接触式技术,可以分析一系列图像,提供随时间变化的位移和应变的全场测量。DIC实验装置需要散斑图案。在这项工作中,我们开发了一种新的环氧基纳米复合材料,包含TiO2纳米颗粒和咖啡衍生的生物炭填料,以获得一种具有合适机械和光学性能的环保阻燃材料,用于DIC应用的散斑图案。优化后的配方具有TiO2和生物炭颗粒分布均匀的特点,可作为制备复合增强材料的独立材料。描述了纳米复合材料的物理化学性质、力学性能和防火性能。与原始树脂相比,在环氧树脂中加入添加剂后,杨氏模量提高了约30%,燃烧时间几乎增加了一倍,这表明TiO2和生物炭的协同作用产生了轻微的凝聚相机制。通过将DIC分析得到的实验应变与传统方法得到的应变进行比较,验证了DIC散斑图的有效性。最后,通过加速热老化试验评估了斑点图案的耐久性,证实了该材料在复合材料结构健康监测中的潜在应用。
本文章由计算机程序翻译,如有差异,请以英文原文为准。

Epoxy-based nanocomposites containing sustainable fillers for the realization of speckle patterns for digital image correlation analysis.

Epoxy-based nanocomposites containing sustainable fillers for the realization of speckle patterns for digital image correlation analysis.

Epoxy-based nanocomposites containing sustainable fillers for the realization of speckle patterns for digital image correlation analysis.

Epoxy-based nanocomposites containing sustainable fillers for the realization of speckle patterns for digital image correlation analysis.

The Digital Image Correlation (DIC) is a non-contact technique that analyses a sequence of images providing full field measurement of displacements and strains over time. The DIC experimental set-up requires a speckle pattern. In this work a new epoxy-based nanocomposite, containing TiO2 nanoparticles and coffee-derived biochar fillers, was developed to obtain an ecofriendly flame-retardant material with suitable mechanical and optical properties for its use as speckle pattern for DIC applications. The optimized formulation is characterized by a uniform distribution of TiO2 and biochar particles and can be employed as self-standing material during the manufacturing of composite reinforcements. The physicochemical properties, mechanical behaviour and fire performances of the nanocomposite are described. The incorporation of the additives in the epoxy resin increases the Young's modulus by around 30% and almost doubles the burn-through time with respect to pristine resin, suggesting a slight condensed phase mechanism arising from the synergistic action of TiO2 and biochar. The effectiveness for creating DIC speckle patterns is validated by comparing the experimental strains measured by means of DIC analysis with those obtained through a traditional technique. Finally, the durability of the speckle patterns was assessed by accelerated thermal aging tests, confirming the potential application of the material in structural health monitoring of composite structures.

求助全文
通过发布文献求助,成功后即可免费获取论文全文。 去求助
来源期刊
Scientific Reports
Scientific Reports Natural Science Disciplines-
CiteScore
7.50
自引率
4.30%
发文量
19567
审稿时长
3.9 months
期刊介绍: We publish original research from all areas of the natural sciences, psychology, medicine and engineering. You can learn more about what we publish by browsing our specific scientific subject areas below or explore Scientific Reports by browsing all articles and collections. Scientific Reports has a 2-year impact factor: 4.380 (2021), and is the 6th most-cited journal in the world, with more than 540,000 citations in 2020 (Clarivate Analytics, 2021). •Engineering Engineering covers all aspects of engineering, technology, and applied science. It plays a crucial role in the development of technologies to address some of the world''s biggest challenges, helping to save lives and improve the way we live. •Physical sciences Physical sciences are those academic disciplines that aim to uncover the underlying laws of nature — often written in the language of mathematics. It is a collective term for areas of study including astronomy, chemistry, materials science and physics. •Earth and environmental sciences Earth and environmental sciences cover all aspects of Earth and planetary science and broadly encompass solid Earth processes, surface and atmospheric dynamics, Earth system history, climate and climate change, marine and freshwater systems, and ecology. It also considers the interactions between humans and these systems. •Biological sciences Biological sciences encompass all the divisions of natural sciences examining various aspects of vital processes. The concept includes anatomy, physiology, cell biology, biochemistry and biophysics, and covers all organisms from microorganisms, animals to plants. •Health sciences The health sciences study health, disease and healthcare. This field of study aims to develop knowledge, interventions and technology for use in healthcare to improve the treatment of patients.
×
引用
GB/T 7714-2015
复制
MLA
复制
APA
复制
导出至
BibTeX EndNote RefMan NoteFirst NoteExpress
×
提示
您的信息不完整,为了账户安全,请先补充。
现在去补充
×
提示
您因"违规操作"
具体请查看互助需知
我知道了
×
提示
确定
请完成安全验证×
copy
已复制链接
快去分享给好友吧!
我知道了
右上角分享
点击右上角分享
0
联系我们:info@booksci.cn Book学术提供免费学术资源搜索服务,方便国内外学者检索中英文文献。致力于提供最便捷和优质的服务体验。 Copyright © 2023 布克学术 All rights reserved.
京ICP备2023020795号-1
ghs 京公网安备 11010802042870号
Book学术文献互助
Book学术文献互助群
群 号:604180095
Book学术官方微信