即时超声静脉充血评估参数、静脉压力和静脉回流之间的关系:一项前瞻性队列研究的事后分析。

IF 2.9 Q2 Medicine
Martin Ruste, Quentin Delas, Rehane Reskot, Jean-Luc Fellahi, Matthias Jacquet-Lagrèze
{"title":"即时超声静脉充血评估参数、静脉压力和静脉回流之间的关系:一项前瞻性队列研究的事后分析。","authors":"Martin Ruste, Quentin Delas, Rehane Reskot, Jean-Luc Fellahi, Matthias Jacquet-Lagrèze","doi":"10.1186/s13089-025-00421-9","DOIUrl":null,"url":null,"abstract":"<p><strong>Background: </strong>A recent study suggested that point-of-care ultrasound (POCUS) venous congestion assessment poorly describes the changes in venous return during a fluid challenge. The aim of the present study was to explore the relationship between POCUS venous congestion assessment parameters and the determinants of venous return in steady state and during a fluid challenge.</p><p><strong>Methods: </strong>This study is a post-hoc analysis of a single-centre prospective cohort study of patients presenting acute circulatory failure and venous congestion. The protocol consisted in a fluid administration of 4mL/kg over five minutes, just preceded and followed by the acquisition of haemodynamic data and POCUS venous congestion assessment parameters (VExUS score and portal pulsatility index, PPi). Venous return (dVR) was defined as the difference between mean systemic filling pressure analogue estimated by the mathematical approach of Parkin and Leaning (Pmsa) and central venous pressure (CVP). Relationships between Pmsa, CVP, dVR, and VExUS score and PPi were analysed using linear regression and Jonckheere-Terpstra test for trend.</p><p><strong>Results: </strong>Thirty-two patients were included in the analysis. Fluid challenge induced a significant increase in CVP, Pmsa, dVR, and VExUS score. In steady state, there was a significant association of VExUS score and PPi with CVP (P-value = 0.006 and 0.002, respectively) and Pmsa (P-value = 0.004 and 0.003, respectively) but not with dVR (P-value = 0.943 and 0.408, respectively). The variations induced by fluid challenge in CVP, Pmsa and dVR were not associated with variations in PPi (P-value = 0.844, 0.912 and 0.716, respectively). Patients without VExUS score increase during the fluid challenge presented a higher increase in Pmsa than patients with an increase in VExUS score.</p><p><strong>Conclusion: </strong>In steady state, POCUS venous congestion assessment parameters are associated with CVP and Pmsa but not with dVR. After fluid administration, changes in POCUS venous congestion assessment parameters were not associated with changes in CVP, Pmsa, and dVR.</p>","PeriodicalId":36911,"journal":{"name":"Ultrasound Journal","volume":"17 1","pages":"15"},"PeriodicalIF":2.9000,"publicationDate":"2025-02-27","publicationTypes":"Journal Article","fieldsOfStudy":null,"isOpenAccess":false,"openAccessPdf":"https://www.ncbi.nlm.nih.gov/pmc/articles/PMC11867982/pdf/","citationCount":"0","resultStr":"{\"title\":\"Relationship between point-of-care ultrasound venous congestion assessment parameters, intravenous pressure, and venous return: a post-hoc analysis of a prospective cohort study.\",\"authors\":\"Martin Ruste, Quentin Delas, Rehane Reskot, Jean-Luc Fellahi, Matthias Jacquet-Lagrèze\",\"doi\":\"10.1186/s13089-025-00421-9\",\"DOIUrl\":null,\"url\":null,\"abstract\":\"<p><strong>Background: </strong>A recent study suggested that point-of-care ultrasound (POCUS) venous congestion assessment poorly describes the changes in venous return during a fluid challenge. The aim of the present study was to explore the relationship between POCUS venous congestion assessment parameters and the determinants of venous return in steady state and during a fluid challenge.</p><p><strong>Methods: </strong>This study is a post-hoc analysis of a single-centre prospective cohort study of patients presenting acute circulatory failure and venous congestion. The protocol consisted in a fluid administration of 4mL/kg over five minutes, just preceded and followed by the acquisition of haemodynamic data and POCUS venous congestion assessment parameters (VExUS score and portal pulsatility index, PPi). Venous return (dVR) was defined as the difference between mean systemic filling pressure analogue estimated by the mathematical approach of Parkin and Leaning (Pmsa) and central venous pressure (CVP). Relationships between Pmsa, CVP, dVR, and VExUS score and PPi were analysed using linear regression and Jonckheere-Terpstra test for trend.</p><p><strong>Results: </strong>Thirty-two patients were included in the analysis. Fluid challenge induced a significant increase in CVP, Pmsa, dVR, and VExUS score. In steady state, there was a significant association of VExUS score and PPi with CVP (P-value = 0.006 and 0.002, respectively) and Pmsa (P-value = 0.004 and 0.003, respectively) but not with dVR (P-value = 0.943 and 0.408, respectively). The variations induced by fluid challenge in CVP, Pmsa and dVR were not associated with variations in PPi (P-value = 0.844, 0.912 and 0.716, respectively). Patients without VExUS score increase during the fluid challenge presented a higher increase in Pmsa than patients with an increase in VExUS score.</p><p><strong>Conclusion: </strong>In steady state, POCUS venous congestion assessment parameters are associated with CVP and Pmsa but not with dVR. After fluid administration, changes in POCUS venous congestion assessment parameters were not associated with changes in CVP, Pmsa, and dVR.</p>\",\"PeriodicalId\":36911,\"journal\":{\"name\":\"Ultrasound Journal\",\"volume\":\"17 1\",\"pages\":\"15\"},\"PeriodicalIF\":2.9000,\"publicationDate\":\"2025-02-27\",\"publicationTypes\":\"Journal Article\",\"fieldsOfStudy\":null,\"isOpenAccess\":false,\"openAccessPdf\":\"https://www.ncbi.nlm.nih.gov/pmc/articles/PMC11867982/pdf/\",\"citationCount\":\"0\",\"resultStr\":null,\"platform\":\"Semanticscholar\",\"paperid\":null,\"PeriodicalName\":\"Ultrasound Journal\",\"FirstCategoryId\":\"1085\",\"ListUrlMain\":\"https://doi.org/10.1186/s13089-025-00421-9\",\"RegionNum\":0,\"RegionCategory\":null,\"ArticlePicture\":[],\"TitleCN\":null,\"AbstractTextCN\":null,\"PMCID\":null,\"EPubDate\":\"\",\"PubModel\":\"\",\"JCR\":\"Q2\",\"JCRName\":\"Medicine\",\"Score\":null,\"Total\":0}","platform":"Semanticscholar","paperid":null,"PeriodicalName":"Ultrasound Journal","FirstCategoryId":"1085","ListUrlMain":"https://doi.org/10.1186/s13089-025-00421-9","RegionNum":0,"RegionCategory":null,"ArticlePicture":[],"TitleCN":null,"AbstractTextCN":null,"PMCID":null,"EPubDate":"","PubModel":"","JCR":"Q2","JCRName":"Medicine","Score":null,"Total":0}
引用次数: 0

摘要

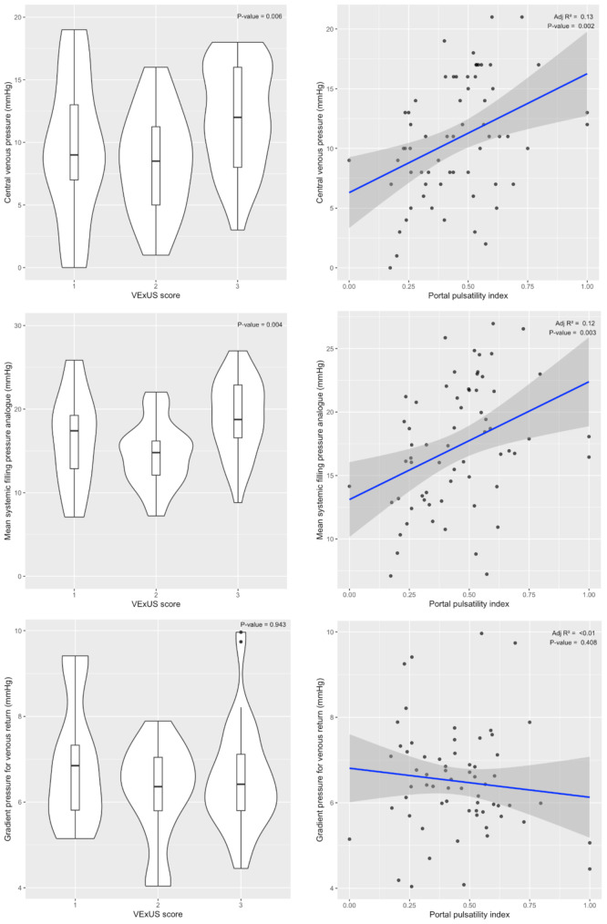
背景:最近的一项研究表明,即时超声(POCUS)静脉充血评估很难描述液体挑战期间静脉回流的变化。本研究的目的是探讨POCUS静脉充血评估参数与稳态和液体挑战期间静脉回流决定因素之间的关系。方法:本研究是一项针对急性循环衰竭和静脉充血患者的单中心前瞻性队列研究的事后分析。该方案包括在5分钟内以4mL/kg的液体给药,在此之前和之后采集血流动力学数据和POCUS静脉充血评估参数(VExUS评分和门静脉搏动指数,PPi)。静脉回流(dVR)定义为Parkin and Leaning数学方法估计的平均全身充盈压模拟值(Pmsa)与中心静脉压(CVP)之间的差值。采用线性回归和Jonckheere-Terpstra趋势检验分析Pmsa、CVP、dVR和VExUS评分与PPi的关系。结果:32例患者纳入分析。液体刺激导致CVP、Pmsa、dVR和VExUS评分显著升高。在稳定状态下,VExUS评分和PPi与CVP (p值分别为0.006和0.002)和Pmsa (p值分别为0.004和0.003)有显著相关性,与dVR (p值分别为0.943和0.408)无显著相关性。液体刺激引起的CVP、Pmsa和dVR的变化与PPi的变化无关(p值分别为0.844、0.912和0.716)。在液体刺激期间,没有增加VExUS评分的患者的Pmsa比增加VExUS评分的患者的Pmsa增加更高。结论:稳态下POCUS静脉充血评价参数与CVP和Pmsa相关,与dVR无关。输液后,POCUS静脉充血评估参数的变化与CVP、Pmsa和dVR的变化无关。
本文章由计算机程序翻译,如有差异,请以英文原文为准。

Relationship between point-of-care ultrasound venous congestion assessment parameters, intravenous pressure, and venous return: a post-hoc analysis of a prospective cohort study.

Relationship between point-of-care ultrasound venous congestion assessment parameters, intravenous pressure, and venous return: a post-hoc analysis of a prospective cohort study.

Background: A recent study suggested that point-of-care ultrasound (POCUS) venous congestion assessment poorly describes the changes in venous return during a fluid challenge. The aim of the present study was to explore the relationship between POCUS venous congestion assessment parameters and the determinants of venous return in steady state and during a fluid challenge.

Methods: This study is a post-hoc analysis of a single-centre prospective cohort study of patients presenting acute circulatory failure and venous congestion. The protocol consisted in a fluid administration of 4mL/kg over five minutes, just preceded and followed by the acquisition of haemodynamic data and POCUS venous congestion assessment parameters (VExUS score and portal pulsatility index, PPi). Venous return (dVR) was defined as the difference between mean systemic filling pressure analogue estimated by the mathematical approach of Parkin and Leaning (Pmsa) and central venous pressure (CVP). Relationships between Pmsa, CVP, dVR, and VExUS score and PPi were analysed using linear regression and Jonckheere-Terpstra test for trend.

Results: Thirty-two patients were included in the analysis. Fluid challenge induced a significant increase in CVP, Pmsa, dVR, and VExUS score. In steady state, there was a significant association of VExUS score and PPi with CVP (P-value = 0.006 and 0.002, respectively) and Pmsa (P-value = 0.004 and 0.003, respectively) but not with dVR (P-value = 0.943 and 0.408, respectively). The variations induced by fluid challenge in CVP, Pmsa and dVR were not associated with variations in PPi (P-value = 0.844, 0.912 and 0.716, respectively). Patients without VExUS score increase during the fluid challenge presented a higher increase in Pmsa than patients with an increase in VExUS score.

Conclusion: In steady state, POCUS venous congestion assessment parameters are associated with CVP and Pmsa but not with dVR. After fluid administration, changes in POCUS venous congestion assessment parameters were not associated with changes in CVP, Pmsa, and dVR.

求助全文
通过发布文献求助,成功后即可免费获取论文全文。 去求助
来源期刊
Ultrasound Journal
Ultrasound Journal Health Professions-Radiological and Ultrasound Technology
CiteScore
6.80
自引率
2.90%
发文量
45
审稿时长
22 weeks
×
引用
GB/T 7714-2015
复制
MLA
复制
APA
复制
导出至
BibTeX EndNote RefMan NoteFirst NoteExpress
×
提示
您的信息不完整,为了账户安全,请先补充。
现在去补充
×
提示
您因"违规操作"
具体请查看互助需知
我知道了
×
提示
确定
请完成安全验证×
copy
已复制链接
快去分享给好友吧!
我知道了
右上角分享
点击右上角分享
0
联系我们:info@booksci.cn Book学术提供免费学术资源搜索服务,方便国内外学者检索中英文文献。致力于提供最便捷和优质的服务体验。 Copyright © 2023 布克学术 All rights reserved.
京ICP备2023020795号-1
ghs 京公网安备 11010802042870号
Book学术文献互助
Book学术文献互助群
群 号:604180095
Book学术官方微信