快感缺乏对亚太地区重度抑郁症疾病负担的影响:一项横断面现实世界研究

IF 2 Q3 NEUROSCIENCES
Keira Herr, Michael Berk, Wei-Lieh Huang, Tadafumi Kato, Jung Goo Lee, Chong Guan Ng, Zhen Wang, Thomas Webb, Mami Kasahara-Kiritani, Lawrence Vandervoort
{"title":"快感缺乏对亚太地区重度抑郁症疾病负担的影响:一项横断面现实世界研究","authors":"Keira Herr, Michael Berk, Wei-Lieh Huang, Tadafumi Kato, Jung Goo Lee, Chong Guan Ng, Zhen Wang, Thomas Webb, Mami Kasahara-Kiritani, Lawrence Vandervoort","doi":"10.1002/npr2.70007","DOIUrl":null,"url":null,"abstract":"<p><strong>Aim: </strong>Anhedonia is a key symptom of major depressive disorder (MDD), however, its burden in patients with MDD is not well understood. We aimed to assess the impact of anhedonia on health-related quality of life (HRQoL), health-care resource utilization (HRU), and work productivity in subjects with MDD and anhedonia (MDD-ANH) compared to subjects with MDD without ANH (MDD non-ANH).</p><p><strong>Methods: </strong>A cross-sectional web-based survey was conducted across six countries/territories. Adult participants were categorized as MDD-ANH, MDD non-ANH, and General Population based on self-reported MDD diagnosis, Patient Health Questionnaire (PHQ-9), and Snaith-Hamilton Pleasure Scale (SHAPS). Multivariate/generalized linear regression modeling (GLMs) and mediation analysis were used to assess anhedonia's impact on HRQoL/function, HRU, and work productivity.</p><p><strong>Results: </strong>Among 11 383 respondents, 20.1% were identified with MDD (MDD-ANH: 12.7%; MDD non-ANH: 7.3%) and 79.9% as General Population. Subjects with MDD-ANH, compared with MDD non-ANH demonstrated significantly worse or lower sexual functioning, HRQoL (RAND mental/physical component summary, health state utility (EuroQol) Index scores, all p < 0.001), and higher HRU (psychiatrist visits). Work productivity (higher absenteeism/overall work productivity or daily life impairment scores; all p < 0.05) was significantly worse in subjects with MDD-ANH compared with MDD non-ANH.</p><p><strong>Conclusion: </strong>Anhedonia in patients with MDD had a significant negative impact on HRQoL, sexual functioning, work productivity, and HRU, emphasizing the need for focus on anhedonia management in MDD patients in the Asia-Pacific region.</p>","PeriodicalId":19137,"journal":{"name":"Neuropsychopharmacology Reports","volume":"45 1","pages":"e70007"},"PeriodicalIF":2.0000,"publicationDate":"2025-03-01","publicationTypes":"Journal Article","fieldsOfStudy":null,"isOpenAccess":false,"openAccessPdf":"https://www.ncbi.nlm.nih.gov/pmc/articles/PMC11864854/pdf/","citationCount":"0","resultStr":"{\"title\":\"The Impact of Anhedonia on the Disease Burden of Major Depressive Disorder in the Asia-Pacific Region: A Cross-Sectional Real-World Study.\",\"authors\":\"Keira Herr, Michael Berk, Wei-Lieh Huang, Tadafumi Kato, Jung Goo Lee, Chong Guan Ng, Zhen Wang, Thomas Webb, Mami Kasahara-Kiritani, Lawrence Vandervoort\",\"doi\":\"10.1002/npr2.70007\",\"DOIUrl\":null,\"url\":null,\"abstract\":\"<p><strong>Aim: </strong>Anhedonia is a key symptom of major depressive disorder (MDD), however, its burden in patients with MDD is not well understood. We aimed to assess the impact of anhedonia on health-related quality of life (HRQoL), health-care resource utilization (HRU), and work productivity in subjects with MDD and anhedonia (MDD-ANH) compared to subjects with MDD without ANH (MDD non-ANH).</p><p><strong>Methods: </strong>A cross-sectional web-based survey was conducted across six countries/territories. Adult participants were categorized as MDD-ANH, MDD non-ANH, and General Population based on self-reported MDD diagnosis, Patient Health Questionnaire (PHQ-9), and Snaith-Hamilton Pleasure Scale (SHAPS). Multivariate/generalized linear regression modeling (GLMs) and mediation analysis were used to assess anhedonia's impact on HRQoL/function, HRU, and work productivity.</p><p><strong>Results: </strong>Among 11 383 respondents, 20.1% were identified with MDD (MDD-ANH: 12.7%; MDD non-ANH: 7.3%) and 79.9% as General Population. Subjects with MDD-ANH, compared with MDD non-ANH demonstrated significantly worse or lower sexual functioning, HRQoL (RAND mental/physical component summary, health state utility (EuroQol) Index scores, all p < 0.001), and higher HRU (psychiatrist visits). Work productivity (higher absenteeism/overall work productivity or daily life impairment scores; all p < 0.05) was significantly worse in subjects with MDD-ANH compared with MDD non-ANH.</p><p><strong>Conclusion: </strong>Anhedonia in patients with MDD had a significant negative impact on HRQoL, sexual functioning, work productivity, and HRU, emphasizing the need for focus on anhedonia management in MDD patients in the Asia-Pacific region.</p>\",\"PeriodicalId\":19137,\"journal\":{\"name\":\"Neuropsychopharmacology Reports\",\"volume\":\"45 1\",\"pages\":\"e70007\"},\"PeriodicalIF\":2.0000,\"publicationDate\":\"2025-03-01\",\"publicationTypes\":\"Journal Article\",\"fieldsOfStudy\":null,\"isOpenAccess\":false,\"openAccessPdf\":\"https://www.ncbi.nlm.nih.gov/pmc/articles/PMC11864854/pdf/\",\"citationCount\":\"0\",\"resultStr\":null,\"platform\":\"Semanticscholar\",\"paperid\":null,\"PeriodicalName\":\"Neuropsychopharmacology Reports\",\"FirstCategoryId\":\"1085\",\"ListUrlMain\":\"https://doi.org/10.1002/npr2.70007\",\"RegionNum\":0,\"RegionCategory\":null,\"ArticlePicture\":[],\"TitleCN\":null,\"AbstractTextCN\":null,\"PMCID\":null,\"EPubDate\":\"\",\"PubModel\":\"\",\"JCR\":\"Q3\",\"JCRName\":\"NEUROSCIENCES\",\"Score\":null,\"Total\":0}","platform":"Semanticscholar","paperid":null,"PeriodicalName":"Neuropsychopharmacology Reports","FirstCategoryId":"1085","ListUrlMain":"https://doi.org/10.1002/npr2.70007","RegionNum":0,"RegionCategory":null,"ArticlePicture":[],"TitleCN":null,"AbstractTextCN":null,"PMCID":null,"EPubDate":"","PubModel":"","JCR":"Q3","JCRName":"NEUROSCIENCES","Score":null,"Total":0}
引用次数: 0

摘要

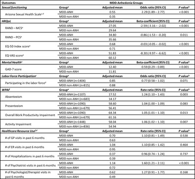
目的:快感缺乏是重度抑郁障碍(MDD)的一个关键症状,然而,其在MDD患者中的负担尚不清楚。我们的目的是评估快感缺乏症对MDD合并快感缺乏症(MDD-ANH)受试者的健康相关生活质量(HRQoL)、卫生保健资源利用(HRU)和工作效率的影响,并与无ANH的MDD (MDD非ANH)受试者进行比较。方法:在六个国家/地区进行了一项基于网络的横断面调查。根据自我报告的MDD诊断、患者健康问卷(PHQ-9)和snath - hamilton快乐量表(SHAPS),将成年参与者分为MDD- anh、MDD非anh和一般人群。采用多元/广义线性回归模型(GLMs)和中介分析评估快感缺乏症对HRQoL/功能、HRU和工作效率的影响。结果:11383名被调查者中,有20.1%被诊断为重度抑郁症(MDD- anh: 12.7%;MDD非anh: 7.3%)和普通人群的79.9%。MDD- anh患者的性功能、HRQoL (RAND精神/身体成分总结)、健康状态效用(EuroQol)指数得分均较MDD非anh患者差或低。结论:MDD患者的快感缺乏症对HRQoL、性功能、工作效率和HRU有显著的负面影响,强调亚太地区MDD患者的快感缺乏症管理的必要性。
本文章由计算机程序翻译,如有差异,请以英文原文为准。

The Impact of Anhedonia on the Disease Burden of Major Depressive Disorder in the Asia-Pacific Region: A Cross-Sectional Real-World Study.

The Impact of Anhedonia on the Disease Burden of Major Depressive Disorder in the Asia-Pacific Region: A Cross-Sectional Real-World Study.

The Impact of Anhedonia on the Disease Burden of Major Depressive Disorder in the Asia-Pacific Region: A Cross-Sectional Real-World Study.

Aim: Anhedonia is a key symptom of major depressive disorder (MDD), however, its burden in patients with MDD is not well understood. We aimed to assess the impact of anhedonia on health-related quality of life (HRQoL), health-care resource utilization (HRU), and work productivity in subjects with MDD and anhedonia (MDD-ANH) compared to subjects with MDD without ANH (MDD non-ANH).

Methods: A cross-sectional web-based survey was conducted across six countries/territories. Adult participants were categorized as MDD-ANH, MDD non-ANH, and General Population based on self-reported MDD diagnosis, Patient Health Questionnaire (PHQ-9), and Snaith-Hamilton Pleasure Scale (SHAPS). Multivariate/generalized linear regression modeling (GLMs) and mediation analysis were used to assess anhedonia's impact on HRQoL/function, HRU, and work productivity.

Results: Among 11 383 respondents, 20.1% were identified with MDD (MDD-ANH: 12.7%; MDD non-ANH: 7.3%) and 79.9% as General Population. Subjects with MDD-ANH, compared with MDD non-ANH demonstrated significantly worse or lower sexual functioning, HRQoL (RAND mental/physical component summary, health state utility (EuroQol) Index scores, all p < 0.001), and higher HRU (psychiatrist visits). Work productivity (higher absenteeism/overall work productivity or daily life impairment scores; all p < 0.05) was significantly worse in subjects with MDD-ANH compared with MDD non-ANH.

Conclusion: Anhedonia in patients with MDD had a significant negative impact on HRQoL, sexual functioning, work productivity, and HRU, emphasizing the need for focus on anhedonia management in MDD patients in the Asia-Pacific region.

求助全文
通过发布文献求助,成功后即可免费获取论文全文。 去求助
来源期刊
Neuropsychopharmacology Reports
Neuropsychopharmacology Reports Psychology-Clinical Psychology
CiteScore
3.60
自引率
4.00%
发文量
75
审稿时长
14 weeks
×
引用
GB/T 7714-2015
复制
MLA
复制
APA
复制
导出至
BibTeX EndNote RefMan NoteFirst NoteExpress
×
提示
您的信息不完整,为了账户安全,请先补充。
现在去补充
×
提示
您因"违规操作"
具体请查看互助需知
我知道了
×
提示
确定
请完成安全验证×
copy
已复制链接
快去分享给好友吧!
我知道了
右上角分享
点击右上角分享
0
联系我们:info@booksci.cn Book学术提供免费学术资源搜索服务,方便国内外学者检索中英文文献。致力于提供最便捷和优质的服务体验。 Copyright © 2023 布克学术 All rights reserved.
京ICP备2023020795号-1
ghs 京公网安备 11010802042870号
Book学术文献互助
Book学术文献互助群
群 号:604180095
Book学术官方微信