系统性红斑狼疮基于登记的器官损伤指数的发展和评估:一项来自瑞典的全国性、基于人群的研究。

IF 3.5 2区 医学 Q1 RHEUMATOLOGY
Alvaro Gomez, Ioannis Parodis, Muna Saleh, Julia F Simard, Christopher Sjöwall, Elizabeth V Arkema
{"title":"系统性红斑狼疮基于登记的器官损伤指数的发展和评估:一项来自瑞典的全国性、基于人群的研究。","authors":"Alvaro Gomez, Ioannis Parodis, Muna Saleh, Julia F Simard, Christopher Sjöwall, Elizabeth V Arkema","doi":"10.1136/lupus-2024-001403","DOIUrl":null,"url":null,"abstract":"<p><strong>Objective: </strong>To develop a Register-Based Organ Damage Index (RBODI) in SLE, and evaluate its accuracy in estimating Systemic Lupus International Collaborating Clinics/American College of Rheumatology (SLICC/ACR) Damage Index (SDI) scores. Additionally, to describe organ damage accrual and associations with mortality in a Swedish population-based nationwide cohort.</p><p><strong>Methods: </strong>SDI items were translated into diagnosis, treatment and procedural codes retrieved from Swedish health registers. RBODI was calculated using the same rules as the SDI and its accuracy was evaluated using SDI data from the <i>Clinical Lupus Register in North-Eastern Gothia</i> cohort as the gold standard. Among newly diagnosed patients with SLE from Sweden (2005-2021), we estimated 5-year risks of organ damage, and adjusted HRs of first RBODI-based organ damage accrual associated with patient characteristics. Lastly, we estimated the association between RBODI-based organ damage within 5 years of diagnosis and mortality.</p><p><strong>Results: </strong>The evaluation cohort included 271 prevalent cases (65.3% developed organ damage). RBODI had a positive predictive value of 90%, sensitivity 80% and specificity 83%. Among 4441 newly diagnosed patients with SLE, 40% developed organ damage within 5 years. Males had a 30% higher risk of developing damage compared with females (HR 1.3) and older individuals (>45 years old compared with younger) had more than threefold higher risk (HR 3.3). Early development of organ damage was associated with a 2.1-fold higher risk of mortality.</p><p><strong>Conclusion: </strong>Our novel RBODI accurately estimates SDI scores and describes long-term trends in damage accrual in the largest cohort of incident SLE to date. The strong association between early damage accrual and mortality highlights the need for efficient prevention strategies.</p>","PeriodicalId":18126,"journal":{"name":"Lupus Science & Medicine","volume":"12 1","pages":""},"PeriodicalIF":3.5000,"publicationDate":"2025-02-26","publicationTypes":"Journal Article","fieldsOfStudy":null,"isOpenAccess":false,"openAccessPdf":"https://www.ncbi.nlm.nih.gov/pmc/articles/PMC11865802/pdf/","citationCount":"0","resultStr":"{\"title\":\"Development and evaluation of a Register-Based Organ Damage Index in systemic lupus erythematosus: a nationwide, population-based study from Sweden.\",\"authors\":\"Alvaro Gomez, Ioannis Parodis, Muna Saleh, Julia F Simard, Christopher Sjöwall, Elizabeth V Arkema\",\"doi\":\"10.1136/lupus-2024-001403\",\"DOIUrl\":null,\"url\":null,\"abstract\":\"<p><strong>Objective: </strong>To develop a Register-Based Organ Damage Index (RBODI) in SLE, and evaluate its accuracy in estimating Systemic Lupus International Collaborating Clinics/American College of Rheumatology (SLICC/ACR) Damage Index (SDI) scores. Additionally, to describe organ damage accrual and associations with mortality in a Swedish population-based nationwide cohort.</p><p><strong>Methods: </strong>SDI items were translated into diagnosis, treatment and procedural codes retrieved from Swedish health registers. RBODI was calculated using the same rules as the SDI and its accuracy was evaluated using SDI data from the <i>Clinical Lupus Register in North-Eastern Gothia</i> cohort as the gold standard. Among newly diagnosed patients with SLE from Sweden (2005-2021), we estimated 5-year risks of organ damage, and adjusted HRs of first RBODI-based organ damage accrual associated with patient characteristics. Lastly, we estimated the association between RBODI-based organ damage within 5 years of diagnosis and mortality.</p><p><strong>Results: </strong>The evaluation cohort included 271 prevalent cases (65.3% developed organ damage). RBODI had a positive predictive value of 90%, sensitivity 80% and specificity 83%. Among 4441 newly diagnosed patients with SLE, 40% developed organ damage within 5 years. Males had a 30% higher risk of developing damage compared with females (HR 1.3) and older individuals (>45 years old compared with younger) had more than threefold higher risk (HR 3.3). Early development of organ damage was associated with a 2.1-fold higher risk of mortality.</p><p><strong>Conclusion: </strong>Our novel RBODI accurately estimates SDI scores and describes long-term trends in damage accrual in the largest cohort of incident SLE to date. The strong association between early damage accrual and mortality highlights the need for efficient prevention strategies.</p>\",\"PeriodicalId\":18126,\"journal\":{\"name\":\"Lupus Science & Medicine\",\"volume\":\"12 1\",\"pages\":\"\"},\"PeriodicalIF\":3.5000,\"publicationDate\":\"2025-02-26\",\"publicationTypes\":\"Journal Article\",\"fieldsOfStudy\":null,\"isOpenAccess\":false,\"openAccessPdf\":\"https://www.ncbi.nlm.nih.gov/pmc/articles/PMC11865802/pdf/\",\"citationCount\":\"0\",\"resultStr\":null,\"platform\":\"Semanticscholar\",\"paperid\":null,\"PeriodicalName\":\"Lupus Science & Medicine\",\"FirstCategoryId\":\"3\",\"ListUrlMain\":\"https://doi.org/10.1136/lupus-2024-001403\",\"RegionNum\":2,\"RegionCategory\":\"医学\",\"ArticlePicture\":[],\"TitleCN\":null,\"AbstractTextCN\":null,\"PMCID\":null,\"EPubDate\":\"\",\"PubModel\":\"\",\"JCR\":\"Q1\",\"JCRName\":\"RHEUMATOLOGY\",\"Score\":null,\"Total\":0}","platform":"Semanticscholar","paperid":null,"PeriodicalName":"Lupus Science & Medicine","FirstCategoryId":"3","ListUrlMain":"https://doi.org/10.1136/lupus-2024-001403","RegionNum":2,"RegionCategory":"医学","ArticlePicture":[],"TitleCN":null,"AbstractTextCN":null,"PMCID":null,"EPubDate":"","PubModel":"","JCR":"Q1","JCRName":"RHEUMATOLOGY","Score":null,"Total":0}
引用次数: 0

摘要

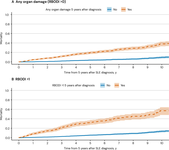
目的:建立基于注册表的系统性狼疮器官损伤指数(RBODI),并评价其在系统性狼疮国际合作诊所/美国风湿病学会(SLICC/ACR)损伤指数(SDI)评分中的准确性。此外,在瑞典以人口为基础的全国队列中,描述器官损伤的累积及其与死亡率的关系。方法:将SDI项目翻译成从瑞典健康登记册中检索的诊断、治疗和程序代码。RBODI使用与SDI相同的规则计算,其准确性使用东北哥德州临床狼疮登记队列的SDI数据作为金标准进行评估。在瑞典(2005-2021)新诊断的SLE患者中,我们估计了器官损害的5年风险,并调整了与患者特征相关的首次基于rbodi的器官损害累积的hr。最后,我们估计了诊断后5年内基于rbodi的器官损伤与死亡率之间的关系。结果:评估队列包括271例流行病例(65.3%发生器官损害)。RBODI阳性预测值90%,敏感性80%,特异性83%。4441例新诊断SLE患者中,40%在5年内发生器官损害。男性发生损伤的风险比女性高30% (HR 1.3),老年人(45岁左右)的风险比女性高3倍以上(HR 3.3)。器官损伤的早期发展与2.1倍的高死亡率相关。结论:我们的新型RBODI准确地估计了SDI评分,并描述了迄今为止最大的SLE事件队列中损害累积的长期趋势。早期损伤累积与死亡率之间的密切联系突出了有效预防策略的必要性。
本文章由计算机程序翻译,如有差异,请以英文原文为准。

Development and evaluation of a Register-Based Organ Damage Index in systemic lupus erythematosus: a nationwide, population-based study from Sweden.

Development and evaluation of a Register-Based Organ Damage Index in systemic lupus erythematosus: a nationwide, population-based study from Sweden.

Development and evaluation of a Register-Based Organ Damage Index in systemic lupus erythematosus: a nationwide, population-based study from Sweden.

Development and evaluation of a Register-Based Organ Damage Index in systemic lupus erythematosus: a nationwide, population-based study from Sweden.

Objective: To develop a Register-Based Organ Damage Index (RBODI) in SLE, and evaluate its accuracy in estimating Systemic Lupus International Collaborating Clinics/American College of Rheumatology (SLICC/ACR) Damage Index (SDI) scores. Additionally, to describe organ damage accrual and associations with mortality in a Swedish population-based nationwide cohort.

Methods: SDI items were translated into diagnosis, treatment and procedural codes retrieved from Swedish health registers. RBODI was calculated using the same rules as the SDI and its accuracy was evaluated using SDI data from the Clinical Lupus Register in North-Eastern Gothia cohort as the gold standard. Among newly diagnosed patients with SLE from Sweden (2005-2021), we estimated 5-year risks of organ damage, and adjusted HRs of first RBODI-based organ damage accrual associated with patient characteristics. Lastly, we estimated the association between RBODI-based organ damage within 5 years of diagnosis and mortality.

Results: The evaluation cohort included 271 prevalent cases (65.3% developed organ damage). RBODI had a positive predictive value of 90%, sensitivity 80% and specificity 83%. Among 4441 newly diagnosed patients with SLE, 40% developed organ damage within 5 years. Males had a 30% higher risk of developing damage compared with females (HR 1.3) and older individuals (>45 years old compared with younger) had more than threefold higher risk (HR 3.3). Early development of organ damage was associated with a 2.1-fold higher risk of mortality.

Conclusion: Our novel RBODI accurately estimates SDI scores and describes long-term trends in damage accrual in the largest cohort of incident SLE to date. The strong association between early damage accrual and mortality highlights the need for efficient prevention strategies.

求助全文
通过发布文献求助,成功后即可免费获取论文全文。 去求助
来源期刊
Lupus Science & Medicine
Lupus Science & Medicine RHEUMATOLOGY-
CiteScore
5.30
自引率
7.70%
发文量
88
审稿时长
15 weeks
期刊介绍: Lupus Science & Medicine is a global, peer reviewed, open access online journal that provides a central point for publication of basic, clinical, translational, and epidemiological studies of all aspects of lupus and related diseases. It is the first lupus-specific open access journal in the world and was developed in response to the need for a barrier-free forum for publication of groundbreaking studies in lupus. The journal publishes research on lupus from fields including, but not limited to: rheumatology, dermatology, nephrology, immunology, pediatrics, cardiology, hepatology, pulmonology, obstetrics and gynecology, and psychiatry.
×
引用
GB/T 7714-2015
复制
MLA
复制
APA
复制
导出至
BibTeX EndNote RefMan NoteFirst NoteExpress
×
提示
您的信息不完整,为了账户安全,请先补充。
现在去补充
×
提示
您因"违规操作"
具体请查看互助需知
我知道了
×
提示
确定
请完成安全验证×
copy
已复制链接
快去分享给好友吧!
我知道了
右上角分享
点击右上角分享
0
联系我们:info@booksci.cn Book学术提供免费学术资源搜索服务,方便国内外学者检索中英文文献。致力于提供最便捷和优质的服务体验。 Copyright © 2023 布克学术 All rights reserved.
京ICP备2023020795号-1
ghs 京公网安备 11010802042870号
Book学术文献互助
Book学术文献互助群
群 号:604180095
Book学术官方微信