血浆c肽水平和连续血糖监测——韩国糖尿病患者肾功能正常和受损低血糖风险预测的定义变异系数

IF 4.2 3区 医学 Q2 ENDOCRINOLOGY & METABOLISM
Endocrinology and Metabolism Pub Date : 2025-04-01 Epub Date: 2025-02-27 DOI:10.3803/EnM.2024.2083
So Yoon Kwon, Jiyun Park, So Hee Park, You-Bin Lee, Gyuri Kim, Kyu Yeon Hur, Jae Hyeon Kim, Sang-Man Jin
{"title":"血浆c肽水平和连续血糖监测——韩国糖尿病患者肾功能正常和受损低血糖风险预测的定义变异系数","authors":"So Yoon Kwon, Jiyun Park, So Hee Park, You-Bin Lee, Gyuri Kim, Kyu Yeon Hur, Jae Hyeon Kim, Sang-Man Jin","doi":"10.3803/EnM.2024.2083","DOIUrl":null,"url":null,"abstract":"<p><strong>Backgruound: </strong>We aimed to investigate the predictive values of plasma C-peptide levels and the continuous glucose monitoring (CGM)-defined coefficient of variation (CV) in risk prediction for hypoglycemia in Korean people with diabetes with normal and impaired kidney function.</p><p><strong>Methods: </strong>We analyzed data from 1,185 participants diagnosed with type 1 and type 2 diabetes who underwent blinded professional CGM between January 2009 and May 2021 at outpatient clinics. We explored correlations among CGM-defined CV, plasma C-peptide levels, and time below range at <70 and 54 mg/dL across different kidney function categories.</p><p><strong>Results: </strong>In patients with chronic kidney disease (CKD) stages 1-2 (n=934), 89.3% who had a random plasma C-peptide level higher than 600 pmol/L exhibited a CV of ≤36%. Among those in CKD stage 3 (n=161) with a random plasma C-peptide level exceeding 600 pmol/L, 66.7% showed a CV of ≤36%. In stages 4-5 of CKD (n=90), the correlation between random C-peptide levels and CV was not significant (r=-0.05, P=0.640), including cases with a CV greater than 36% despite very high random plasma C-peptide levels. Random plasma C-peptide levels and CGM-assessed CV significantly predicted hypoglycemia in CKD stages 1-2 and 1-5, respectively.</p><p><strong>Conclusion: </strong>The established C-peptide criteria in Western populations are applicable to Korean people with diabetes for hypoglycemic risk prediction, unless kidney function is impaired equivalent to CKD stage 3-5. The CGM-defined CV is informative for hypoglycemic risk prediction regardless of kidney function.</p>","PeriodicalId":11636,"journal":{"name":"Endocrinology and Metabolism","volume":" ","pages":"268-277"},"PeriodicalIF":4.2000,"publicationDate":"2025-04-01","publicationTypes":"Journal Article","fieldsOfStudy":null,"isOpenAccess":false,"openAccessPdf":"https://www.ncbi.nlm.nih.gov/pmc/articles/PMC12061746/pdf/","citationCount":"0","resultStr":"{\"title\":\"Plasma C-Peptide Levels and the Continuous Glucose Monitoring-Defined Coefficient of Variation in Risk Prediction for Hypoglycemia in Korean People with Diabetes Having Normal and Impaired Kidney Function.\",\"authors\":\"So Yoon Kwon, Jiyun Park, So Hee Park, You-Bin Lee, Gyuri Kim, Kyu Yeon Hur, Jae Hyeon Kim, Sang-Man Jin\",\"doi\":\"10.3803/EnM.2024.2083\",\"DOIUrl\":null,\"url\":null,\"abstract\":\"<p><strong>Backgruound: </strong>We aimed to investigate the predictive values of plasma C-peptide levels and the continuous glucose monitoring (CGM)-defined coefficient of variation (CV) in risk prediction for hypoglycemia in Korean people with diabetes with normal and impaired kidney function.</p><p><strong>Methods: </strong>We analyzed data from 1,185 participants diagnosed with type 1 and type 2 diabetes who underwent blinded professional CGM between January 2009 and May 2021 at outpatient clinics. We explored correlations among CGM-defined CV, plasma C-peptide levels, and time below range at <70 and 54 mg/dL across different kidney function categories.</p><p><strong>Results: </strong>In patients with chronic kidney disease (CKD) stages 1-2 (n=934), 89.3% who had a random plasma C-peptide level higher than 600 pmol/L exhibited a CV of ≤36%. Among those in CKD stage 3 (n=161) with a random plasma C-peptide level exceeding 600 pmol/L, 66.7% showed a CV of ≤36%. In stages 4-5 of CKD (n=90), the correlation between random C-peptide levels and CV was not significant (r=-0.05, P=0.640), including cases with a CV greater than 36% despite very high random plasma C-peptide levels. Random plasma C-peptide levels and CGM-assessed CV significantly predicted hypoglycemia in CKD stages 1-2 and 1-5, respectively.</p><p><strong>Conclusion: </strong>The established C-peptide criteria in Western populations are applicable to Korean people with diabetes for hypoglycemic risk prediction, unless kidney function is impaired equivalent to CKD stage 3-5. The CGM-defined CV is informative for hypoglycemic risk prediction regardless of kidney function.</p>\",\"PeriodicalId\":11636,\"journal\":{\"name\":\"Endocrinology and Metabolism\",\"volume\":\" \",\"pages\":\"268-277\"},\"PeriodicalIF\":4.2000,\"publicationDate\":\"2025-04-01\",\"publicationTypes\":\"Journal Article\",\"fieldsOfStudy\":null,\"isOpenAccess\":false,\"openAccessPdf\":\"https://www.ncbi.nlm.nih.gov/pmc/articles/PMC12061746/pdf/\",\"citationCount\":\"0\",\"resultStr\":null,\"platform\":\"Semanticscholar\",\"paperid\":null,\"PeriodicalName\":\"Endocrinology and Metabolism\",\"FirstCategoryId\":\"3\",\"ListUrlMain\":\"https://doi.org/10.3803/EnM.2024.2083\",\"RegionNum\":3,\"RegionCategory\":\"医学\",\"ArticlePicture\":[],\"TitleCN\":null,\"AbstractTextCN\":null,\"PMCID\":null,\"EPubDate\":\"2025/2/27 0:00:00\",\"PubModel\":\"Epub\",\"JCR\":\"Q2\",\"JCRName\":\"ENDOCRINOLOGY & METABOLISM\",\"Score\":null,\"Total\":0}","platform":"Semanticscholar","paperid":null,"PeriodicalName":"Endocrinology and Metabolism","FirstCategoryId":"3","ListUrlMain":"https://doi.org/10.3803/EnM.2024.2083","RegionNum":3,"RegionCategory":"医学","ArticlePicture":[],"TitleCN":null,"AbstractTextCN":null,"PMCID":null,"EPubDate":"2025/2/27 0:00:00","PubModel":"Epub","JCR":"Q2","JCRName":"ENDOCRINOLOGY & METABOLISM","Score":null,"Total":0}
引用次数: 0

摘要

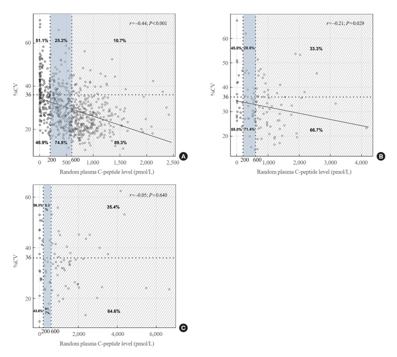
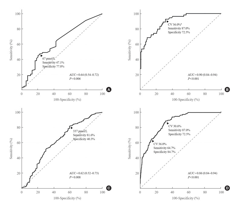
背景:我们的目的是研究血浆c肽水平和连续血糖监测(CGM)定义的变异系数(CV)在韩国糖尿病患者肾功能正常和受损的低血糖风险预测中的预测价值。方法:我们分析了1185名诊断为1型和2型糖尿病的患者的数据,这些患者在2009年1月至2021年5月期间在门诊诊所接受了盲法专业CGM。我们探讨了cgm定义的CV、血浆c肽水平和低于范围时间之间的相关性。结果:在慢性肾脏疾病(CKD) 1-2期患者中(n=934), 89.3%的随机血浆c肽水平高于600 pmol/L的患者CV≤36%。在随机血浆c肽水平超过600 pmol/L的CKD 3期患者(n=161)中,66.7%的患者CV≤36%。在CKD 4-5期(n=90),随机c肽水平与CV之间的相关性不显著(r=-0.05, P=0.640),包括随机血浆c肽水平非常高但CV仍大于36%的病例。随机血浆c肽水平和cgm评估的CV分别显著预测CKD 1-2期和1-5期的低血糖。结论:西方人群中建立的c肽标准适用于韩国糖尿病患者的低血糖风险预测,除非肾功能受损相当于CKD 3-5期。无论肾功能如何,cgm定义的CV都可用于低血糖风险预测。
本文章由计算机程序翻译,如有差异,请以英文原文为准。

Plasma C-Peptide Levels and the Continuous Glucose Monitoring-Defined Coefficient of Variation in Risk Prediction for Hypoglycemia in Korean People with Diabetes Having Normal and Impaired Kidney Function.

Plasma C-Peptide Levels and the Continuous Glucose Monitoring-Defined Coefficient of Variation in Risk Prediction for Hypoglycemia in Korean People with Diabetes Having Normal and Impaired Kidney Function.

Plasma C-Peptide Levels and the Continuous Glucose Monitoring-Defined Coefficient of Variation in Risk Prediction for Hypoglycemia in Korean People with Diabetes Having Normal and Impaired Kidney Function.

Plasma C-Peptide Levels and the Continuous Glucose Monitoring-Defined Coefficient of Variation in Risk Prediction for Hypoglycemia in Korean People with Diabetes Having Normal and Impaired Kidney Function.

Backgruound: We aimed to investigate the predictive values of plasma C-peptide levels and the continuous glucose monitoring (CGM)-defined coefficient of variation (CV) in risk prediction for hypoglycemia in Korean people with diabetes with normal and impaired kidney function.

Methods: We analyzed data from 1,185 participants diagnosed with type 1 and type 2 diabetes who underwent blinded professional CGM between January 2009 and May 2021 at outpatient clinics. We explored correlations among CGM-defined CV, plasma C-peptide levels, and time below range at <70 and 54 mg/dL across different kidney function categories.

Results: In patients with chronic kidney disease (CKD) stages 1-2 (n=934), 89.3% who had a random plasma C-peptide level higher than 600 pmol/L exhibited a CV of ≤36%. Among those in CKD stage 3 (n=161) with a random plasma C-peptide level exceeding 600 pmol/L, 66.7% showed a CV of ≤36%. In stages 4-5 of CKD (n=90), the correlation between random C-peptide levels and CV was not significant (r=-0.05, P=0.640), including cases with a CV greater than 36% despite very high random plasma C-peptide levels. Random plasma C-peptide levels and CGM-assessed CV significantly predicted hypoglycemia in CKD stages 1-2 and 1-5, respectively.

Conclusion: The established C-peptide criteria in Western populations are applicable to Korean people with diabetes for hypoglycemic risk prediction, unless kidney function is impaired equivalent to CKD stage 3-5. The CGM-defined CV is informative for hypoglycemic risk prediction regardless of kidney function.

求助全文
通过发布文献求助,成功后即可免费获取论文全文。 去求助
来源期刊
Endocrinology and Metabolism
Endocrinology and Metabolism Medicine-Endocrinology, Diabetes and Metabolism
CiteScore
6.60
自引率
5.90%
发文量
145
审稿时长
24 weeks
期刊介绍: The aim of this journal is to set high standards of medical care by providing a forum for discussion for basic, clinical, and translational researchers and clinicians on new findings in the fields of endocrinology and metabolism. Endocrinology and Metabolism reports new findings and developments in all aspects of endocrinology and metabolism. The topics covered by this journal include bone and mineral metabolism, cytokines, developmental endocrinology, diagnostic endocrinology, endocrine research, dyslipidemia, endocrine regulation, genetic endocrinology, growth factors, hormone receptors, hormone action and regulation, management of endocrine diseases, clinical trials, epidemiology, molecular endocrinology, neuroendocrinology, neuropeptides, neurotransmitters, obesity, pediatric endocrinology, reproductive endocrinology, signal transduction, the anatomy and physiology of endocrine organs (i.e., the pituitary, thyroid, parathyroid, and adrenal glands, and the gonads), and endocrine diseases (diabetes, nutrition, osteoporosis, etc.).
×
引用
GB/T 7714-2015
复制
MLA
复制
APA
复制
导出至
BibTeX EndNote RefMan NoteFirst NoteExpress
×
提示
您的信息不完整,为了账户安全,请先补充。
现在去补充
×
提示
您因"违规操作"
具体请查看互助需知
我知道了
×
提示
确定
请完成安全验证×
copy
已复制链接
快去分享给好友吧!
我知道了
右上角分享
点击右上角分享
0
联系我们:info@booksci.cn Book学术提供免费学术资源搜索服务,方便国内外学者检索中英文文献。致力于提供最便捷和优质的服务体验。 Copyright © 2023 布克学术 All rights reserved.
京ICP备2023020795号-1
ghs 京公网安备 11010802042870号
Book学术文献互助
Book学术文献互助群
群 号:604180095
Book学术官方微信