加速交联与保留环辅助核黄素应用对圆锥角膜进展的长期影响及预后因素。

Korean journal of ophthalmology : KJO Pub Date : 2025-04-01 Epub Date: 2025-02-26 DOI:10.3341/kjo.2025.0001
Seonghwan Kim, Won Jong Choi, Chang Ho Yoon, Mee Kum Kim
{"title":"加速交联与保留环辅助核黄素应用对圆锥角膜进展的长期影响及预后因素。","authors":"Seonghwan Kim, Won Jong Choi, Chang Ho Yoon, Mee Kum Kim","doi":"10.3341/kjo.2025.0001","DOIUrl":null,"url":null,"abstract":"<p><strong>Purpose: </strong>To evaluate the long-term efficacy, safety, and prognostic factors of pulsed-light accelerated corneal collagen cross-linking (A-CXL) with continuous riboflavin application to halt keratoconus progression.</p><p><strong>Methods: </strong>A-CXL with retention ring-assisted continuous riboflavin application for either 10 or 5 minutes was performed in 37 eyes of 33 patients with progressive keratoconus between 2016 and 2020. Successful halting rates and prognostic factors of time-dependent changes in keratometric values, visual acuity, refractive errors, topographic indices, central corneal thickness, thinnest corneal thickness, irregularity at 3- and 5-mm zone, and endothelial cell density were evaluated.</p><p><strong>Results: </strong>Survival analysis showed successful halting rates of 71% and 89% in A-CXL with 5- and 10-minute-applied riboflavin, respectively. Best-corrected visual acuity significantly improved after A-CXL in both groups. Maximum keratometry decreased significantly from 52.52 to 50.39 diopters (p &lt; 0.001) in the 10-minute group, while there was no significant decrease in the 5-minute group (52.77-51.80 diopters, p = 0.146). irregularity in 3- and 5-mm zone decreased significantly in the 10-minute group, while there was no difference in 5-minute group. Central corneal thickness and thinnest corneal thickness did not differ, and endothelial cell density changes were within acceptable ranges in both groups before and after the surgery. Among keratometric values, keratometric astigmatism was significantly related to posttreatment corneal flattening effect in multivariate regression analysis.</p><p><strong>Conclusions: </strong>A-CXL with continuous riboflavin application for 10 minutes is an effective and safe treatment for preventing keratoconus progression. In addition, higher corneal astigmatism showed greater posttreatment corneal flattening effect in successfully treated patients.</p>","PeriodicalId":101356,"journal":{"name":"Korean journal of ophthalmology : KJO","volume":" ","pages":"145-156"},"PeriodicalIF":0.0000,"publicationDate":"2025-04-01","publicationTypes":"Journal Article","fieldsOfStudy":null,"isOpenAccess":false,"openAccessPdf":"https://www.ncbi.nlm.nih.gov/pmc/articles/PMC12010184/pdf/","citationCount":"0","resultStr":"{\"title\":\"Long-term Effects and Prognostic Factors of Accelerated Cross-Linking with Retention Ring-assisted Riboflavin Application on Keratoconus Progression.\",\"authors\":\"Seonghwan Kim, Won Jong Choi, Chang Ho Yoon, Mee Kum Kim\",\"doi\":\"10.3341/kjo.2025.0001\",\"DOIUrl\":null,\"url\":null,\"abstract\":\"<p><strong>Purpose: </strong>To evaluate the long-term efficacy, safety, and prognostic factors of pulsed-light accelerated corneal collagen cross-linking (A-CXL) with continuous riboflavin application to halt keratoconus progression.</p><p><strong>Methods: </strong>A-CXL with retention ring-assisted continuous riboflavin application for either 10 or 5 minutes was performed in 37 eyes of 33 patients with progressive keratoconus between 2016 and 2020. Successful halting rates and prognostic factors of time-dependent changes in keratometric values, visual acuity, refractive errors, topographic indices, central corneal thickness, thinnest corneal thickness, irregularity at 3- and 5-mm zone, and endothelial cell density were evaluated.</p><p><strong>Results: </strong>Survival analysis showed successful halting rates of 71% and 89% in A-CXL with 5- and 10-minute-applied riboflavin, respectively. Best-corrected visual acuity significantly improved after A-CXL in both groups. Maximum keratometry decreased significantly from 52.52 to 50.39 diopters (p &lt; 0.001) in the 10-minute group, while there was no significant decrease in the 5-minute group (52.77-51.80 diopters, p = 0.146). irregularity in 3- and 5-mm zone decreased significantly in the 10-minute group, while there was no difference in 5-minute group. Central corneal thickness and thinnest corneal thickness did not differ, and endothelial cell density changes were within acceptable ranges in both groups before and after the surgery. Among keratometric values, keratometric astigmatism was significantly related to posttreatment corneal flattening effect in multivariate regression analysis.</p><p><strong>Conclusions: </strong>A-CXL with continuous riboflavin application for 10 minutes is an effective and safe treatment for preventing keratoconus progression. In addition, higher corneal astigmatism showed greater posttreatment corneal flattening effect in successfully treated patients.</p>\",\"PeriodicalId\":101356,\"journal\":{\"name\":\"Korean journal of ophthalmology : KJO\",\"volume\":\" \",\"pages\":\"145-156\"},\"PeriodicalIF\":0.0000,\"publicationDate\":\"2025-04-01\",\"publicationTypes\":\"Journal Article\",\"fieldsOfStudy\":null,\"isOpenAccess\":false,\"openAccessPdf\":\"https://www.ncbi.nlm.nih.gov/pmc/articles/PMC12010184/pdf/\",\"citationCount\":\"0\",\"resultStr\":null,\"platform\":\"Semanticscholar\",\"paperid\":null,\"PeriodicalName\":\"Korean journal of ophthalmology : KJO\",\"FirstCategoryId\":\"1085\",\"ListUrlMain\":\"https://doi.org/10.3341/kjo.2025.0001\",\"RegionNum\":0,\"RegionCategory\":null,\"ArticlePicture\":[],\"TitleCN\":null,\"AbstractTextCN\":null,\"PMCID\":null,\"EPubDate\":\"2025/2/26 0:00:00\",\"PubModel\":\"Epub\",\"JCR\":\"\",\"JCRName\":\"\",\"Score\":null,\"Total\":0}","platform":"Semanticscholar","paperid":null,"PeriodicalName":"Korean journal of ophthalmology : KJO","FirstCategoryId":"1085","ListUrlMain":"https://doi.org/10.3341/kjo.2025.0001","RegionNum":0,"RegionCategory":null,"ArticlePicture":[],"TitleCN":null,"AbstractTextCN":null,"PMCID":null,"EPubDate":"2025/2/26 0:00:00","PubModel":"Epub","JCR":"","JCRName":"","Score":null,"Total":0}
引用次数: 0

摘要

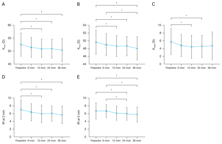
目的:评价脉冲光加速角膜胶原交联(A-CXL)联合持续核黄素抑制圆锥角膜进展的长期疗效、安全性和预后因素。方法:2016 - 2020年对33例进展性圆锥角膜患者37眼行A-CXL保留环辅助核黄素持续应用10或5 min。评估角膜测量值、视力、屈光不正、地形指数、角膜中央厚度(CCT)、最薄角膜厚度(TCT)、3和5毫米区域的不规则性(IR)和内皮细胞密度(ECD)的时间依赖性变化的成功停止率和预后因素。结果:生存分析显示,核黄素5 min和10 min应用于A-CXL的成功阻断率分别为71%和89%。A-CXL术后两组最佳矫正视力均有显著提高。结论:A-CXL联合核黄素持续应用10 min是预防圆锥角膜进展的有效、安全的治疗方法。此外,在治疗成功的患者中,较高的角膜散光表现出更大的治疗后角膜扁平化效果。
本文章由计算机程序翻译,如有差异,请以英文原文为准。

Long-term Effects and Prognostic Factors of Accelerated Cross-Linking with Retention Ring-assisted Riboflavin Application on Keratoconus Progression.

Long-term Effects and Prognostic Factors of Accelerated Cross-Linking with Retention Ring-assisted Riboflavin Application on Keratoconus Progression.

Long-term Effects and Prognostic Factors of Accelerated Cross-Linking with Retention Ring-assisted Riboflavin Application on Keratoconus Progression.

Long-term Effects and Prognostic Factors of Accelerated Cross-Linking with Retention Ring-assisted Riboflavin Application on Keratoconus Progression.

Purpose: To evaluate the long-term efficacy, safety, and prognostic factors of pulsed-light accelerated corneal collagen cross-linking (A-CXL) with continuous riboflavin application to halt keratoconus progression.

Methods: A-CXL with retention ring-assisted continuous riboflavin application for either 10 or 5 minutes was performed in 37 eyes of 33 patients with progressive keratoconus between 2016 and 2020. Successful halting rates and prognostic factors of time-dependent changes in keratometric values, visual acuity, refractive errors, topographic indices, central corneal thickness, thinnest corneal thickness, irregularity at 3- and 5-mm zone, and endothelial cell density were evaluated.

Results: Survival analysis showed successful halting rates of 71% and 89% in A-CXL with 5- and 10-minute-applied riboflavin, respectively. Best-corrected visual acuity significantly improved after A-CXL in both groups. Maximum keratometry decreased significantly from 52.52 to 50.39 diopters (p < 0.001) in the 10-minute group, while there was no significant decrease in the 5-minute group (52.77-51.80 diopters, p = 0.146). irregularity in 3- and 5-mm zone decreased significantly in the 10-minute group, while there was no difference in 5-minute group. Central corneal thickness and thinnest corneal thickness did not differ, and endothelial cell density changes were within acceptable ranges in both groups before and after the surgery. Among keratometric values, keratometric astigmatism was significantly related to posttreatment corneal flattening effect in multivariate regression analysis.

Conclusions: A-CXL with continuous riboflavin application for 10 minutes is an effective and safe treatment for preventing keratoconus progression. In addition, higher corneal astigmatism showed greater posttreatment corneal flattening effect in successfully treated patients.

求助全文
通过发布文献求助,成功后即可免费获取论文全文。 去求助
来源期刊
自引率
0.00%
发文量
0
×
引用
GB/T 7714-2015
复制
MLA
复制
APA
复制
导出至
BibTeX EndNote RefMan NoteFirst NoteExpress
×
提示
您的信息不完整,为了账户安全,请先补充。
现在去补充
×
提示
您因"违规操作"
具体请查看互助需知
我知道了
×
提示
确定
请完成安全验证×
copy
已复制链接
快去分享给好友吧!
我知道了
右上角分享
点击右上角分享
0
联系我们:info@booksci.cn Book学术提供免费学术资源搜索服务,方便国内外学者检索中英文文献。致力于提供最便捷和优质的服务体验。 Copyright © 2023 布克学术 All rights reserved.
京ICP备2023020795号-1
ghs 京公网安备 11010802042870号
Book学术文献互助
Book学术文献互助群
群 号:604180095
Book学术官方微信