功能性状的驯化导致在水培中生长的绿叶物种的生物量增加。

IF 2.4 3区 生物学 Q2 ECOLOGY
AoB Plants Pub Date : 2025-01-20 eCollection Date: 2025-02-01 DOI:10.1093/aobpla/plaf005
Victoria Nicholes, Malik Khan, Nicholas Lemon, Peter Vila, Courtney Campany
{"title":"功能性状的驯化导致在水培中生长的绿叶物种的生物量增加。","authors":"Victoria Nicholes, Malik Khan, Nicholas Lemon, Peter Vila, Courtney Campany","doi":"10.1093/aobpla/plaf005","DOIUrl":null,"url":null,"abstract":"<p><p>As human population size continues to increase and climate change effects worsen, future food security has become a primary concern for agricultural industries worldwide. Yields of traditional agricultural methods are commonly limited by water and nutrient availability and many crop yields are predicted to decline. Alternative farming practices like aquaponics, which can alleviate these negative yield pressures, may become critical to reaching food production targets. Aquaponics approaches involve the cyclic joint production of fish and hydroponic plants where the fish efflux provides nutrients to plants that then purify the water to be recycled to the fish tanks. In this study, we investigated the acclimation of physiology and functional traits of plants grown in aquaponics versus soil for three leafy green species. We compared gas exchange, stomatal anatomy, water-use efficiency, and foliar chemistry on newly formed leaves across weekly measurements. Increased photosynthetic rate, driven by higher stomatal conductance and increases in tissue nitrogen, led to higher biomass production in aquaponics for all species. Aquaponics plants adjusted stomatal behavior and to a lesser degree stomatal anatomy to become less water-use efficient than plants grown in soil. Collectively, our findings demonstrate the ability of plants to acclimate quickly to aquaponics growing systems that largely remove water and nutrient limitations to plant growth. The increased biomass production of broccoli, pak choi, and salanova by 185%, 116%, and 362% in aquaponics compared to soil-grown plants demonstrates the potential of small-scale aquaponics systems as an efficient and sustainable alternative farming practice.</p>","PeriodicalId":48955,"journal":{"name":"AoB Plants","volume":"17 2","pages":"plaf005"},"PeriodicalIF":2.4000,"publicationDate":"2025-01-20","publicationTypes":"Journal Article","fieldsOfStudy":null,"isOpenAccess":false,"openAccessPdf":"https://www.ncbi.nlm.nih.gov/pmc/articles/PMC11851069/pdf/","citationCount":"0","resultStr":"{\"title\":\"Acclimation of functional traits leads to biomass increases in leafy green species grown in aquaponics.\",\"authors\":\"Victoria Nicholes, Malik Khan, Nicholas Lemon, Peter Vila, Courtney Campany\",\"doi\":\"10.1093/aobpla/plaf005\",\"DOIUrl\":null,\"url\":null,\"abstract\":\"<p><p>As human population size continues to increase and climate change effects worsen, future food security has become a primary concern for agricultural industries worldwide. Yields of traditional agricultural methods are commonly limited by water and nutrient availability and many crop yields are predicted to decline. Alternative farming practices like aquaponics, which can alleviate these negative yield pressures, may become critical to reaching food production targets. Aquaponics approaches involve the cyclic joint production of fish and hydroponic plants where the fish efflux provides nutrients to plants that then purify the water to be recycled to the fish tanks. In this study, we investigated the acclimation of physiology and functional traits of plants grown in aquaponics versus soil for three leafy green species. We compared gas exchange, stomatal anatomy, water-use efficiency, and foliar chemistry on newly formed leaves across weekly measurements. Increased photosynthetic rate, driven by higher stomatal conductance and increases in tissue nitrogen, led to higher biomass production in aquaponics for all species. Aquaponics plants adjusted stomatal behavior and to a lesser degree stomatal anatomy to become less water-use efficient than plants grown in soil. Collectively, our findings demonstrate the ability of plants to acclimate quickly to aquaponics growing systems that largely remove water and nutrient limitations to plant growth. The increased biomass production of broccoli, pak choi, and salanova by 185%, 116%, and 362% in aquaponics compared to soil-grown plants demonstrates the potential of small-scale aquaponics systems as an efficient and sustainable alternative farming practice.</p>\",\"PeriodicalId\":48955,\"journal\":{\"name\":\"AoB Plants\",\"volume\":\"17 2\",\"pages\":\"plaf005\"},\"PeriodicalIF\":2.4000,\"publicationDate\":\"2025-01-20\",\"publicationTypes\":\"Journal Article\",\"fieldsOfStudy\":null,\"isOpenAccess\":false,\"openAccessPdf\":\"https://www.ncbi.nlm.nih.gov/pmc/articles/PMC11851069/pdf/\",\"citationCount\":\"0\",\"resultStr\":null,\"platform\":\"Semanticscholar\",\"paperid\":null,\"PeriodicalName\":\"AoB Plants\",\"FirstCategoryId\":\"99\",\"ListUrlMain\":\"https://doi.org/10.1093/aobpla/plaf005\",\"RegionNum\":3,\"RegionCategory\":\"生物学\",\"ArticlePicture\":[],\"TitleCN\":null,\"AbstractTextCN\":null,\"PMCID\":null,\"EPubDate\":\"2025/2/1 0:00:00\",\"PubModel\":\"eCollection\",\"JCR\":\"Q2\",\"JCRName\":\"ECOLOGY\",\"Score\":null,\"Total\":0}","platform":"Semanticscholar","paperid":null,"PeriodicalName":"AoB Plants","FirstCategoryId":"99","ListUrlMain":"https://doi.org/10.1093/aobpla/plaf005","RegionNum":3,"RegionCategory":"生物学","ArticlePicture":[],"TitleCN":null,"AbstractTextCN":null,"PMCID":null,"EPubDate":"2025/2/1 0:00:00","PubModel":"eCollection","JCR":"Q2","JCRName":"ECOLOGY","Score":null,"Total":0}
引用次数: 0

摘要

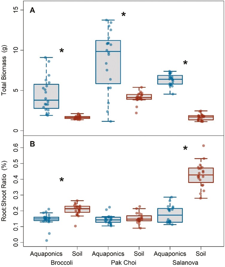
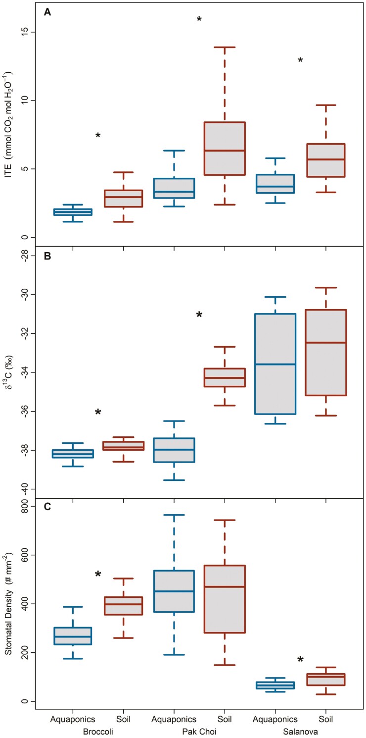
随着人口规模的持续增长和气候变化影响的恶化,未来的粮食安全已成为全球农业行业关注的主要问题。传统农业方法的产量通常受到水和养分供应的限制,许多作物的产量预计会下降。水产共生等替代耕作方式可以缓解这些负产量压力,可能对实现粮食生产目标至关重要。鱼菜共生方法包括鱼和水培植物的循环联合生产,鱼的外排为植物提供营养,然后净化水,再循环到鱼缸中。在本研究中,我们研究了三种绿叶植物在水培系统中对土壤的生理和功能性状的驯化。我们比较了气体交换、气孔解剖、水分利用效率和叶片化学在新形成的叶片通过每周测量。气孔导度的提高和组织氮的增加导致光合速率的增加,导致所有物种的鱼共生生物量产量增加。水培植物调节气孔行为,在较小程度上调节气孔解剖结构,使其水分利用效率低于土壤植物。总的来说,我们的研究结果表明,植物能够迅速适应水培生长系统,这在很大程度上消除了植物生长的水分和营养限制。与土壤种植的植物相比,水培系统中西兰花、白菜和萨拉诺瓦的生物量产量分别增加了185%、116%和362%,这表明小规模水培系统作为一种高效和可持续的替代耕作方式的潜力。
本文章由计算机程序翻译,如有差异,请以英文原文为准。

Acclimation of functional traits leads to biomass increases in leafy green species grown in aquaponics.

Acclimation of functional traits leads to biomass increases in leafy green species grown in aquaponics.

Acclimation of functional traits leads to biomass increases in leafy green species grown in aquaponics.

Acclimation of functional traits leads to biomass increases in leafy green species grown in aquaponics.

As human population size continues to increase and climate change effects worsen, future food security has become a primary concern for agricultural industries worldwide. Yields of traditional agricultural methods are commonly limited by water and nutrient availability and many crop yields are predicted to decline. Alternative farming practices like aquaponics, which can alleviate these negative yield pressures, may become critical to reaching food production targets. Aquaponics approaches involve the cyclic joint production of fish and hydroponic plants where the fish efflux provides nutrients to plants that then purify the water to be recycled to the fish tanks. In this study, we investigated the acclimation of physiology and functional traits of plants grown in aquaponics versus soil for three leafy green species. We compared gas exchange, stomatal anatomy, water-use efficiency, and foliar chemistry on newly formed leaves across weekly measurements. Increased photosynthetic rate, driven by higher stomatal conductance and increases in tissue nitrogen, led to higher biomass production in aquaponics for all species. Aquaponics plants adjusted stomatal behavior and to a lesser degree stomatal anatomy to become less water-use efficient than plants grown in soil. Collectively, our findings demonstrate the ability of plants to acclimate quickly to aquaponics growing systems that largely remove water and nutrient limitations to plant growth. The increased biomass production of broccoli, pak choi, and salanova by 185%, 116%, and 362% in aquaponics compared to soil-grown plants demonstrates the potential of small-scale aquaponics systems as an efficient and sustainable alternative farming practice.

求助全文
通过发布文献求助,成功后即可免费获取论文全文。 去求助
来源期刊
AoB Plants
AoB Plants PLANT SCIENCES-
CiteScore
4.80
自引率
0.00%
发文量
54
审稿时长
20 weeks
期刊介绍: AoB PLANTS is an open-access, online journal that has been publishing peer-reviewed articles since 2010, with an emphasis on all aspects of environmental and evolutionary plant biology. Published by Oxford University Press, this journal is dedicated to rapid publication of research articles, reviews, commentaries and short communications. The taxonomic scope of the journal spans the full gamut of vascular and non-vascular plants, as well as other taxa that impact these organisms. AoB PLANTS provides a fast-track pathway for publishing high-quality research in an open-access environment, where papers are available online to anyone, anywhere free of charge.
×
引用
GB/T 7714-2015
复制
MLA
复制
APA
复制
导出至
BibTeX EndNote RefMan NoteFirst NoteExpress
×
提示
您的信息不完整,为了账户安全,请先补充。
现在去补充
×
提示
您因"违规操作"
具体请查看互助需知
我知道了
×
提示
确定
请完成安全验证×
copy
已复制链接
快去分享给好友吧!
我知道了
右上角分享
点击右上角分享
0
联系我们:info@booksci.cn Book学术提供免费学术资源搜索服务,方便国内外学者检索中英文文献。致力于提供最便捷和优质的服务体验。 Copyright © 2023 布克学术 All rights reserved.
京ICP备2023020795号-1
ghs 京公网安备 11010802042870号
Book学术文献互助
Book学术文献互助群
群 号:604180095
Book学术官方微信