疲劳评定量表葡文译本的翻译与验证。

IF 5.9 2区 医学 Q1 SPORT SCIENCES
João Barreira, João Brito, Fábio Yuzo Nakamura, Pedro Figueiredo
{"title":"疲劳评定量表葡文译本的翻译与验证。","authors":"João Barreira, João Brito, Fábio Yuzo Nakamura, Pedro Figueiredo","doi":"10.1186/s40798-025-00822-z","DOIUrl":null,"url":null,"abstract":"<p><strong>Background: </strong>The Rating-of-Fatigue (ROF) scale is a validated tool to measure changes in perceived fatigue in sports and everyday contexts; thus, this study aimed to translate and validate the Portuguese version of the ROF scale. For this, the study was composed of three phases. Phase 1 involved a comprehensive translation of the ROF scale into Portuguese, followed by a back-translation and a consolidation process to obtain the final version of the ROF scale in Portuguese. In phase 2, the face validity of the scale was assessed. Seventy-three native Portuguese speakers responded to a series of Likert scale items designed to evaluate the purpose of the scale and assess whether it accurately measured the intended construct. In the final phase, the convergent and divergent validity of the scale was assessed during an incremental cycling test to exhaustion, followed by 10 min of passive recovery and a subsequent repetition of the initial 5 min of the test. The study was conducted between October 2023 and June 2024 in Portugal.</p><p><strong>Results: </strong>The results from phase 1 indicated a high level of comparability and interpretability between the original and back-translated versions, with only minor adjustments made to finalize the Portuguese version of the ROF scale. In phase 2, a high level of face validity was observed. The median score for the item \"measures fatigue\" was (median [IQR]) was 3.0 [3.0, 4.0] out of 4. After participants were provided with the scale instructions, the face validity score improved significantly (4.0 [3.0, 4.0]; p = 0.001). In phase 3, during the incremental test, very large correlations were observed between ROF, and key physiological and performance indicators, including rating of perceived exertion (RPE), heart rate, oxygen consumption, and power output. Discriminant validity between ROF and RPE was found during the recovery.</p><p><strong>Conclusions: </strong>The present study indicates that the Portuguese version of the ROF maintains the properties of the original version and can be used effectively in the Portuguese language.</p>","PeriodicalId":21788,"journal":{"name":"Sports Medicine - Open","volume":"11 1","pages":"20"},"PeriodicalIF":5.9000,"publicationDate":"2025-02-25","publicationTypes":"Journal Article","fieldsOfStudy":null,"isOpenAccess":false,"openAccessPdf":"https://www.ncbi.nlm.nih.gov/pmc/articles/PMC11861487/pdf/","citationCount":"0","resultStr":"{\"title\":\"Translation and Validation of the Portuguese Version of the Rating-of-Fatigue Scale.\",\"authors\":\"João Barreira, João Brito, Fábio Yuzo Nakamura, Pedro Figueiredo\",\"doi\":\"10.1186/s40798-025-00822-z\",\"DOIUrl\":null,\"url\":null,\"abstract\":\"<p><strong>Background: </strong>The Rating-of-Fatigue (ROF) scale is a validated tool to measure changes in perceived fatigue in sports and everyday contexts; thus, this study aimed to translate and validate the Portuguese version of the ROF scale. For this, the study was composed of three phases. Phase 1 involved a comprehensive translation of the ROF scale into Portuguese, followed by a back-translation and a consolidation process to obtain the final version of the ROF scale in Portuguese. In phase 2, the face validity of the scale was assessed. Seventy-three native Portuguese speakers responded to a series of Likert scale items designed to evaluate the purpose of the scale and assess whether it accurately measured the intended construct. In the final phase, the convergent and divergent validity of the scale was assessed during an incremental cycling test to exhaustion, followed by 10 min of passive recovery and a subsequent repetition of the initial 5 min of the test. The study was conducted between October 2023 and June 2024 in Portugal.</p><p><strong>Results: </strong>The results from phase 1 indicated a high level of comparability and interpretability between the original and back-translated versions, with only minor adjustments made to finalize the Portuguese version of the ROF scale. In phase 2, a high level of face validity was observed. The median score for the item \\\"measures fatigue\\\" was (median [IQR]) was 3.0 [3.0, 4.0] out of 4. After participants were provided with the scale instructions, the face validity score improved significantly (4.0 [3.0, 4.0]; p = 0.001). In phase 3, during the incremental test, very large correlations were observed between ROF, and key physiological and performance indicators, including rating of perceived exertion (RPE), heart rate, oxygen consumption, and power output. Discriminant validity between ROF and RPE was found during the recovery.</p><p><strong>Conclusions: </strong>The present study indicates that the Portuguese version of the ROF maintains the properties of the original version and can be used effectively in the Portuguese language.</p>\",\"PeriodicalId\":21788,\"journal\":{\"name\":\"Sports Medicine - Open\",\"volume\":\"11 1\",\"pages\":\"20\"},\"PeriodicalIF\":5.9000,\"publicationDate\":\"2025-02-25\",\"publicationTypes\":\"Journal Article\",\"fieldsOfStudy\":null,\"isOpenAccess\":false,\"openAccessPdf\":\"https://www.ncbi.nlm.nih.gov/pmc/articles/PMC11861487/pdf/\",\"citationCount\":\"0\",\"resultStr\":null,\"platform\":\"Semanticscholar\",\"paperid\":null,\"PeriodicalName\":\"Sports Medicine - Open\",\"FirstCategoryId\":\"3\",\"ListUrlMain\":\"https://doi.org/10.1186/s40798-025-00822-z\",\"RegionNum\":2,\"RegionCategory\":\"医学\",\"ArticlePicture\":[],\"TitleCN\":null,\"AbstractTextCN\":null,\"PMCID\":null,\"EPubDate\":\"\",\"PubModel\":\"\",\"JCR\":\"Q1\",\"JCRName\":\"SPORT SCIENCES\",\"Score\":null,\"Total\":0}","platform":"Semanticscholar","paperid":null,"PeriodicalName":"Sports Medicine - Open","FirstCategoryId":"3","ListUrlMain":"https://doi.org/10.1186/s40798-025-00822-z","RegionNum":2,"RegionCategory":"医学","ArticlePicture":[],"TitleCN":null,"AbstractTextCN":null,"PMCID":null,"EPubDate":"","PubModel":"","JCR":"Q1","JCRName":"SPORT SCIENCES","Score":null,"Total":0}
引用次数: 0

摘要

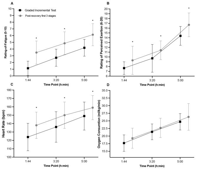
背景:疲劳等级(ROF)量表是测量运动和日常环境中感知疲劳变化的有效工具;因此,本研究旨在翻译并验证葡萄牙语版本的ROF量表。为此,本研究分为三个阶段。第一阶段包括将ROF量表全面翻译成葡萄牙语,然后进行反翻译和整合过程,以获得葡萄牙语ROF量表的最终版本。在第二阶段,评估量表的面部效度。73名母语为葡萄牙语的人回答了一系列的李克特量表项目,这些项目旨在评估量表的目的,并评估它是否准确地测量了预期的结构。在最后阶段,量表的收敛效度和发散效度是在一个增量循环测试中评估的,然后是10分钟的被动恢复,随后重复最初的5分钟测试。该研究于2023年10月至2024年6月在葡萄牙进行。结果:第一阶段的结果表明,原始版本和回译版本之间具有高度的可比性和可解释性,仅对葡萄牙语版本的ROF量表进行了少量调整。在第二阶段,观察到高水平的面孔效度。“测量疲劳”的中位数得分(中位数[IQR])为3.0[3.0,4.0](满分为4分)。被试获得量表说明后,面孔效度得分显著提高(4.0 [3.0,4.0];p = 0.001)。在第3阶段,在增量测试中,观察到ROF与关键生理和性能指标之间存在非常大的相关性,包括感知运动等级(RPE)、心率、耗氧量和功率输出。在恢复过程中发现ROF和RPE之间存在判别效度。结论:本研究表明,葡萄牙语版本的ROF保留了原版本的特性,可以有效地用于葡萄牙语。
本文章由计算机程序翻译,如有差异,请以英文原文为准。

Translation and Validation of the Portuguese Version of the Rating-of-Fatigue Scale.

Translation and Validation of the Portuguese Version of the Rating-of-Fatigue Scale.

Translation and Validation of the Portuguese Version of the Rating-of-Fatigue Scale.

Translation and Validation of the Portuguese Version of the Rating-of-Fatigue Scale.

Background: The Rating-of-Fatigue (ROF) scale is a validated tool to measure changes in perceived fatigue in sports and everyday contexts; thus, this study aimed to translate and validate the Portuguese version of the ROF scale. For this, the study was composed of three phases. Phase 1 involved a comprehensive translation of the ROF scale into Portuguese, followed by a back-translation and a consolidation process to obtain the final version of the ROF scale in Portuguese. In phase 2, the face validity of the scale was assessed. Seventy-three native Portuguese speakers responded to a series of Likert scale items designed to evaluate the purpose of the scale and assess whether it accurately measured the intended construct. In the final phase, the convergent and divergent validity of the scale was assessed during an incremental cycling test to exhaustion, followed by 10 min of passive recovery and a subsequent repetition of the initial 5 min of the test. The study was conducted between October 2023 and June 2024 in Portugal.

Results: The results from phase 1 indicated a high level of comparability and interpretability between the original and back-translated versions, with only minor adjustments made to finalize the Portuguese version of the ROF scale. In phase 2, a high level of face validity was observed. The median score for the item "measures fatigue" was (median [IQR]) was 3.0 [3.0, 4.0] out of 4. After participants were provided with the scale instructions, the face validity score improved significantly (4.0 [3.0, 4.0]; p = 0.001). In phase 3, during the incremental test, very large correlations were observed between ROF, and key physiological and performance indicators, including rating of perceived exertion (RPE), heart rate, oxygen consumption, and power output. Discriminant validity between ROF and RPE was found during the recovery.

Conclusions: The present study indicates that the Portuguese version of the ROF maintains the properties of the original version and can be used effectively in the Portuguese language.

求助全文
通过发布文献求助,成功后即可免费获取论文全文。 去求助
来源期刊
Sports Medicine - Open
Sports Medicine - Open SPORT SCIENCES-
CiteScore
7.00
自引率
4.30%
发文量
142
审稿时长
13 weeks
×
引用
GB/T 7714-2015
复制
MLA
复制
APA
复制
导出至
BibTeX EndNote RefMan NoteFirst NoteExpress
×
提示
您的信息不完整,为了账户安全,请先补充。
现在去补充
×
提示
您因"违规操作"
具体请查看互助需知
我知道了
×
提示
确定
请完成安全验证×
copy
已复制链接
快去分享给好友吧!
我知道了
右上角分享
点击右上角分享
0
联系我们:info@booksci.cn Book学术提供免费学术资源搜索服务,方便国内外学者检索中英文文献。致力于提供最便捷和优质的服务体验。 Copyright © 2023 布克学术 All rights reserved.
京ICP备2023020795号-1
ghs 京公网安备 11010802042870号
Book学术文献互助
Book学术文献互助群
群 号:604180095
Book学术官方微信