试验水平的非高密度和低密度脂蛋白胆固醇降低对他汀类药物临床疗效的影响。

IF 6.1 1区 医学 Q1 CARDIAC & CARDIOVASCULAR SYSTEMS
Léa Liaigre, Alicia Guigui, Marc Manceau, Jean-Luc Cracowski, Charles Khouri, Matthieu Roustit
{"title":"试验水平的非高密度和低密度脂蛋白胆固醇降低对他汀类药物临床疗效的影响。","authors":"Léa Liaigre, Alicia Guigui, Marc Manceau, Jean-Luc Cracowski, Charles Khouri, Matthieu Roustit","doi":"10.1093/ehjcvp/pvaf016","DOIUrl":null,"url":null,"abstract":"<p><p>LDL cholesterol (LDL - c) and non-HDL cholesterol (non-HDL-c) are prognostic factors of cardiovascular risk. However, their validity as trial-level surrogates for cardiovascular outcomes is debated. This study aimed to determine whether LDL - c and non-HDL-c are reliable surrogates for cardiovascular events in statin trials, and to explore discrepancies in previous studies. We conducted an umbrella review of meta-analyses of randomized controlled trials (RCTs) assessing statin efficacy versus placebo or usual care on all-cause mortality and cardiovascular events. We search studies published between 1987 and August 2023 from PubMed, Embase, and the Cochrane Library. Baseline lipid levels, absolute risk differences (ARDs), and hazard ratios or risk ratios (RRs) for major cardiovascular events and all-cause or cardiovascular mortality were analysed. Weighted linear regressions between log RR or ARD, and absolute difference in non-HDL-c or LDL - c were performed. The coefficients of determination (R2trial) were calculated, with their 95% CI computed through bootstrapping. The surrogate threshold effect (STE) was also estimated. Twenty RCTs and 194 686 participants were included, with a median follow-up of 4.85 years. Statin treatment showed significant efficacy in improving all clinical outcomes. However, the association between treatment effects on LDL - c or non-HDL-c reduction and clinical outcomes was weak. The R²trial were ranging from 0 to 0.1 for LDL - c, and from 0 to 0.04 for non-HDL-c. The STE for major adverse cardiovascular event was 0.76 (0.36-1.69) mmol/L for LDL - c, and 0.87 (0.49-2.19) mmol/L for non-HDL-c. Neither LDL - c nor non-HDL-c demonstrated trial-level surrogacy for predicting treatment effects on mortality and cardiovascular events in statin trials. Although they are relevant biomarkers for the follow-up of patients treated with statins, their reduction does not reliably predict a similar reduction in cardiovascular risk. As such, they should not be used as pivotal evidence in drug trials.</p>","PeriodicalId":11982,"journal":{"name":"European Heart Journal - Cardiovascular Pharmacotherapy","volume":" ","pages":"387-392"},"PeriodicalIF":6.1000,"publicationDate":"2025-07-07","publicationTypes":"Journal Article","fieldsOfStudy":null,"isOpenAccess":false,"openAccessPdf":"https://www.ncbi.nlm.nih.gov/pmc/articles/PMC12231127/pdf/","citationCount":"0","resultStr":"{\"title\":\"Trial-level surrogacy of non-high-density and low-density lipoprotein cholesterol reduction on the clinical efficacy of statins.\",\"authors\":\"Léa Liaigre, Alicia Guigui, Marc Manceau, Jean-Luc Cracowski, Charles Khouri, Matthieu Roustit\",\"doi\":\"10.1093/ehjcvp/pvaf016\",\"DOIUrl\":null,\"url\":null,\"abstract\":\"<p><p>LDL cholesterol (LDL - c) and non-HDL cholesterol (non-HDL-c) are prognostic factors of cardiovascular risk. However, their validity as trial-level surrogates for cardiovascular outcomes is debated. This study aimed to determine whether LDL - c and non-HDL-c are reliable surrogates for cardiovascular events in statin trials, and to explore discrepancies in previous studies. We conducted an umbrella review of meta-analyses of randomized controlled trials (RCTs) assessing statin efficacy versus placebo or usual care on all-cause mortality and cardiovascular events. We search studies published between 1987 and August 2023 from PubMed, Embase, and the Cochrane Library. Baseline lipid levels, absolute risk differences (ARDs), and hazard ratios or risk ratios (RRs) for major cardiovascular events and all-cause or cardiovascular mortality were analysed. Weighted linear regressions between log RR or ARD, and absolute difference in non-HDL-c or LDL - c were performed. The coefficients of determination (R2trial) were calculated, with their 95% CI computed through bootstrapping. The surrogate threshold effect (STE) was also estimated. Twenty RCTs and 194 686 participants were included, with a median follow-up of 4.85 years. Statin treatment showed significant efficacy in improving all clinical outcomes. However, the association between treatment effects on LDL - c or non-HDL-c reduction and clinical outcomes was weak. The R²trial were ranging from 0 to 0.1 for LDL - c, and from 0 to 0.04 for non-HDL-c. The STE for major adverse cardiovascular event was 0.76 (0.36-1.69) mmol/L for LDL - c, and 0.87 (0.49-2.19) mmol/L for non-HDL-c. Neither LDL - c nor non-HDL-c demonstrated trial-level surrogacy for predicting treatment effects on mortality and cardiovascular events in statin trials. Although they are relevant biomarkers for the follow-up of patients treated with statins, their reduction does not reliably predict a similar reduction in cardiovascular risk. As such, they should not be used as pivotal evidence in drug trials.</p>\",\"PeriodicalId\":11982,\"journal\":{\"name\":\"European Heart Journal - Cardiovascular Pharmacotherapy\",\"volume\":\" \",\"pages\":\"387-392\"},\"PeriodicalIF\":6.1000,\"publicationDate\":\"2025-07-07\",\"publicationTypes\":\"Journal Article\",\"fieldsOfStudy\":null,\"isOpenAccess\":false,\"openAccessPdf\":\"https://www.ncbi.nlm.nih.gov/pmc/articles/PMC12231127/pdf/\",\"citationCount\":\"0\",\"resultStr\":null,\"platform\":\"Semanticscholar\",\"paperid\":null,\"PeriodicalName\":\"European Heart Journal - Cardiovascular Pharmacotherapy\",\"FirstCategoryId\":\"3\",\"ListUrlMain\":\"https://doi.org/10.1093/ehjcvp/pvaf016\",\"RegionNum\":1,\"RegionCategory\":\"医学\",\"ArticlePicture\":[],\"TitleCN\":null,\"AbstractTextCN\":null,\"PMCID\":null,\"EPubDate\":\"\",\"PubModel\":\"\",\"JCR\":\"Q1\",\"JCRName\":\"CARDIAC & CARDIOVASCULAR SYSTEMS\",\"Score\":null,\"Total\":0}","platform":"Semanticscholar","paperid":null,"PeriodicalName":"European Heart Journal - Cardiovascular Pharmacotherapy","FirstCategoryId":"3","ListUrlMain":"https://doi.org/10.1093/ehjcvp/pvaf016","RegionNum":1,"RegionCategory":"医学","ArticlePicture":[],"TitleCN":null,"AbstractTextCN":null,"PMCID":null,"EPubDate":"","PubModel":"","JCR":"Q1","JCRName":"CARDIAC & CARDIOVASCULAR SYSTEMS","Score":null,"Total":0}
引用次数: 0

摘要

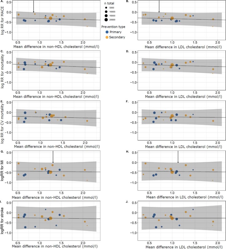
目的:低密度脂蛋白胆固醇(LDL-c)和非高密度脂蛋白胆固醇(non-HDL-c)是心血管危险的预后因素。然而,它们作为试验水平的心血管预后替代物的有效性存在争议。本研究旨在确定LDL-c和非hdl -c是否是他汀类药物试验中心血管事件的可靠替代指标,并探讨以往研究中的差异。方法和结果:我们对评估他汀类药物与安慰剂或常规治疗在全因死亡率和心血管事件方面的疗效的随机对照试验(rct)的荟萃分析进行了综述。我们从PubMed、Embase和Cochrane图书馆检索1987年至2023年8月之间发表的研究。分析了主要心血管事件和全因死亡率或心血管死亡率的基线脂质水平、绝对比率差异(ARD)和危险比或风险比(RR)。对数RR或ARD与非hdl -c或LDL-c的绝对差值之间进行加权线性回归。计算决定系数(R2trial),通过bootstrapping计算其95%CI。并对替代阈值效应(STE)进行了估计。纳入20项随机对照试验,194,686名参与者,中位随访时间为4.85年。他汀类药物治疗对改善所有临床结果均有显著疗效。然而,降低LDL-c或非hdl -c的治疗效果与临床结果之间的相关性较弱。LDL-c的R²试验范围为0 ~ 0.1,非hdl -c的R²试验范围为0 ~ 0.04。MACE的LDL-c STE为0.76 (0.36-1.69)mmol/L,非hdl -c STE为0.87 (0.49-2.19)mmol/L。结论:在他汀类药物试验中,LDL-c和非hdl -c在预测治疗对死亡率和心血管事件的影响方面均未显示出试验水平的替代作用。尽管它们是与他汀类药物治疗患者随访相关的生物标志物,但它们的降低并不能可靠地预测心血管风险的类似降低。因此,它们不应该被用作药物试验的关键证据。
本文章由计算机程序翻译,如有差异,请以英文原文为准。

Trial-level surrogacy of non-high-density and low-density lipoprotein cholesterol reduction on the clinical efficacy of statins.

Trial-level surrogacy of non-high-density and low-density lipoprotein cholesterol reduction on the clinical efficacy of statins.

Trial-level surrogacy of non-high-density and low-density lipoprotein cholesterol reduction on the clinical efficacy of statins.

LDL cholesterol (LDL - c) and non-HDL cholesterol (non-HDL-c) are prognostic factors of cardiovascular risk. However, their validity as trial-level surrogates for cardiovascular outcomes is debated. This study aimed to determine whether LDL - c and non-HDL-c are reliable surrogates for cardiovascular events in statin trials, and to explore discrepancies in previous studies. We conducted an umbrella review of meta-analyses of randomized controlled trials (RCTs) assessing statin efficacy versus placebo or usual care on all-cause mortality and cardiovascular events. We search studies published between 1987 and August 2023 from PubMed, Embase, and the Cochrane Library. Baseline lipid levels, absolute risk differences (ARDs), and hazard ratios or risk ratios (RRs) for major cardiovascular events and all-cause or cardiovascular mortality were analysed. Weighted linear regressions between log RR or ARD, and absolute difference in non-HDL-c or LDL - c were performed. The coefficients of determination (R2trial) were calculated, with their 95% CI computed through bootstrapping. The surrogate threshold effect (STE) was also estimated. Twenty RCTs and 194 686 participants were included, with a median follow-up of 4.85 years. Statin treatment showed significant efficacy in improving all clinical outcomes. However, the association between treatment effects on LDL - c or non-HDL-c reduction and clinical outcomes was weak. The R²trial were ranging from 0 to 0.1 for LDL - c, and from 0 to 0.04 for non-HDL-c. The STE for major adverse cardiovascular event was 0.76 (0.36-1.69) mmol/L for LDL - c, and 0.87 (0.49-2.19) mmol/L for non-HDL-c. Neither LDL - c nor non-HDL-c demonstrated trial-level surrogacy for predicting treatment effects on mortality and cardiovascular events in statin trials. Although they are relevant biomarkers for the follow-up of patients treated with statins, their reduction does not reliably predict a similar reduction in cardiovascular risk. As such, they should not be used as pivotal evidence in drug trials.

求助全文
通过发布文献求助,成功后即可免费获取论文全文。 去求助
来源期刊
European Heart Journal - Cardiovascular Pharmacotherapy
European Heart Journal - Cardiovascular Pharmacotherapy Medicine-Cardiology and Cardiovascular Medicine
CiteScore
10.10
自引率
14.10%
发文量
65
期刊介绍: The European Heart Journal - Cardiovascular Pharmacotherapy (EHJ-CVP) is an international, peer-reviewed journal published in English, specifically dedicated to clinical cardiovascular pharmacology. EHJ-CVP publishes original articles focusing on clinical research involving both new and established drugs and methods, along with meta-analyses and topical reviews. The journal's primary aim is to enhance the pharmacological treatment of patients with cardiovascular disease by interpreting and integrating new scientific developments in this field. While the emphasis is on clinical topics, EHJ-CVP also considers basic research articles from fields such as physiology and molecular biology that contribute to the understanding of cardiovascular drug therapy. These may include articles related to new drug development and evaluation, the physiological and pharmacological basis of drug action, metabolism, drug interactions, and side effects.
×
引用
GB/T 7714-2015
复制
MLA
复制
APA
复制
导出至
BibTeX EndNote RefMan NoteFirst NoteExpress
×
提示
您的信息不完整,为了账户安全,请先补充。
现在去补充
×
提示
您因"违规操作"
具体请查看互助需知
我知道了
×
提示
确定
请完成安全验证×
copy
已复制链接
快去分享给好友吧!
我知道了
右上角分享
点击右上角分享
0
联系我们:info@booksci.cn Book学术提供免费学术资源搜索服务,方便国内外学者检索中英文文献。致力于提供最便捷和优质的服务体验。 Copyright © 2023 布克学术 All rights reserved.
京ICP备2023020795号-1
ghs 京公网安备 11010802042870号
Book学术文献互助
Book学术文献互助群
群 号:604180095
Book学术官方微信