AEGIS后的现状:靶向逆转胆固醇转运的新治疗机会?

IF 5.2 2区 医学 Q1 PERIPHERAL VASCULAR DISEASE
Nick S R Lan, Gerald F Watts
{"title":"AEGIS后的现状:靶向逆转胆固醇转运的新治疗机会?","authors":"Nick S R Lan, Gerald F Watts","doi":"10.1007/s11883-025-01281-3","DOIUrl":null,"url":null,"abstract":"<p><strong>Purpose of review: </strong>High-density lipoprotein (HDL) is integral to reverse cholesterol transport (RCT), a process considered to protect against atherosclerotic cardiovascular disease (ASCVD). We summarise findings from the recent AEGIS-II trial and discuss new opportunities for HDL therapeutics targeted at RCT.</p><p><strong>Recent findings: </strong>Mendelian randomisation studies have suggested a causal association between the functional properties of HDL and ASCVD. However, the AEGIS-II trial of CSL112, an apolipoprotein A-I therapy that enhances cholesterol efflux, did not meet its primary endpoint. Exploratory analyses demonstrated that CSL112 significantly reduced ASCVD events among participants with a baseline low-density lipoprotein (LDL)-cholesterol ≥ 100 mg/dL, suggesting that RCT may depend on LDL-cholesterol levels. The role of HDL therapeutics in patients with familial hypercholesterolaemia, inherited low HDL-cholesterol and impaired HDL function, especially with inadequately controlled LDL-cholesterol, merits further investigation. The treatment of patients with monogenic defects in HDL metabolism remains a significant gap in care that needs further research.</p>","PeriodicalId":10875,"journal":{"name":"Current Atherosclerosis Reports","volume":"27 1","pages":"35"},"PeriodicalIF":5.2000,"publicationDate":"2025-02-26","publicationTypes":"Journal Article","fieldsOfStudy":null,"isOpenAccess":false,"openAccessPdf":"https://www.ncbi.nlm.nih.gov/pmc/articles/PMC11865134/pdf/","citationCount":"0","resultStr":"{\"title\":\"Quo Vadis after AEGIS: New Opportunities for Therapies Targeted at Reverse Cholesterol Transport?\",\"authors\":\"Nick S R Lan, Gerald F Watts\",\"doi\":\"10.1007/s11883-025-01281-3\",\"DOIUrl\":null,\"url\":null,\"abstract\":\"<p><strong>Purpose of review: </strong>High-density lipoprotein (HDL) is integral to reverse cholesterol transport (RCT), a process considered to protect against atherosclerotic cardiovascular disease (ASCVD). We summarise findings from the recent AEGIS-II trial and discuss new opportunities for HDL therapeutics targeted at RCT.</p><p><strong>Recent findings: </strong>Mendelian randomisation studies have suggested a causal association between the functional properties of HDL and ASCVD. However, the AEGIS-II trial of CSL112, an apolipoprotein A-I therapy that enhances cholesterol efflux, did not meet its primary endpoint. Exploratory analyses demonstrated that CSL112 significantly reduced ASCVD events among participants with a baseline low-density lipoprotein (LDL)-cholesterol ≥ 100 mg/dL, suggesting that RCT may depend on LDL-cholesterol levels. The role of HDL therapeutics in patients with familial hypercholesterolaemia, inherited low HDL-cholesterol and impaired HDL function, especially with inadequately controlled LDL-cholesterol, merits further investigation. The treatment of patients with monogenic defects in HDL metabolism remains a significant gap in care that needs further research.</p>\",\"PeriodicalId\":10875,\"journal\":{\"name\":\"Current Atherosclerosis Reports\",\"volume\":\"27 1\",\"pages\":\"35\"},\"PeriodicalIF\":5.2000,\"publicationDate\":\"2025-02-26\",\"publicationTypes\":\"Journal Article\",\"fieldsOfStudy\":null,\"isOpenAccess\":false,\"openAccessPdf\":\"https://www.ncbi.nlm.nih.gov/pmc/articles/PMC11865134/pdf/\",\"citationCount\":\"0\",\"resultStr\":null,\"platform\":\"Semanticscholar\",\"paperid\":null,\"PeriodicalName\":\"Current Atherosclerosis Reports\",\"FirstCategoryId\":\"3\",\"ListUrlMain\":\"https://doi.org/10.1007/s11883-025-01281-3\",\"RegionNum\":2,\"RegionCategory\":\"医学\",\"ArticlePicture\":[],\"TitleCN\":null,\"AbstractTextCN\":null,\"PMCID\":null,\"EPubDate\":\"\",\"PubModel\":\"\",\"JCR\":\"Q1\",\"JCRName\":\"PERIPHERAL VASCULAR DISEASE\",\"Score\":null,\"Total\":0}","platform":"Semanticscholar","paperid":null,"PeriodicalName":"Current Atherosclerosis Reports","FirstCategoryId":"3","ListUrlMain":"https://doi.org/10.1007/s11883-025-01281-3","RegionNum":2,"RegionCategory":"医学","ArticlePicture":[],"TitleCN":null,"AbstractTextCN":null,"PMCID":null,"EPubDate":"","PubModel":"","JCR":"Q1","JCRName":"PERIPHERAL VASCULAR DISEASE","Score":null,"Total":0}
引用次数: 0

摘要

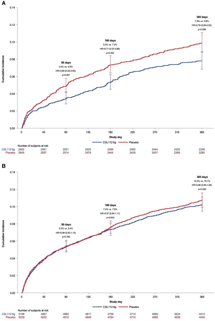
综述目的:高密度脂蛋白(HDL)是逆转胆固醇转运(RCT)不可或缺的一部分,这一过程被认为可以预防动脉粥样硬化性心血管疾病(ASCVD)。我们总结了最近AEGIS-II试验的发现,并讨论了针对RCT的HDL治疗的新机会。最近发现:孟德尔随机化研究表明HDL和ASCVD的功能特性之间存在因果关系。然而,CSL112(一种增强胆固醇外排的载脂蛋白A-I疗法)的AEGIS-II试验没有达到其主要终点。探索性分析表明,CSL112在基线低密度脂蛋白(LDL)-胆固醇≥100 mg/dL的参与者中显著降低ASCVD事件,提示RCT可能依赖于LDL-胆固醇水平。HDL治疗在家族性高胆固醇血症、遗传性低HDL-胆固醇和HDL功能受损,特别是ldl -胆固醇控制不充分的患者中的作用值得进一步研究。高密度脂蛋白代谢单基因缺陷患者的治疗仍是一个重要的空白,需要进一步的研究。
本文章由计算机程序翻译,如有差异,请以英文原文为准。

Quo Vadis after AEGIS: New Opportunities for Therapies Targeted at Reverse Cholesterol Transport?

Quo Vadis after AEGIS: New Opportunities for Therapies Targeted at Reverse Cholesterol Transport?

Quo Vadis after AEGIS: New Opportunities for Therapies Targeted at Reverse Cholesterol Transport?

Purpose of review: High-density lipoprotein (HDL) is integral to reverse cholesterol transport (RCT), a process considered to protect against atherosclerotic cardiovascular disease (ASCVD). We summarise findings from the recent AEGIS-II trial and discuss new opportunities for HDL therapeutics targeted at RCT.

Recent findings: Mendelian randomisation studies have suggested a causal association between the functional properties of HDL and ASCVD. However, the AEGIS-II trial of CSL112, an apolipoprotein A-I therapy that enhances cholesterol efflux, did not meet its primary endpoint. Exploratory analyses demonstrated that CSL112 significantly reduced ASCVD events among participants with a baseline low-density lipoprotein (LDL)-cholesterol ≥ 100 mg/dL, suggesting that RCT may depend on LDL-cholesterol levels. The role of HDL therapeutics in patients with familial hypercholesterolaemia, inherited low HDL-cholesterol and impaired HDL function, especially with inadequately controlled LDL-cholesterol, merits further investigation. The treatment of patients with monogenic defects in HDL metabolism remains a significant gap in care that needs further research.

求助全文
通过发布文献求助,成功后即可免费获取论文全文。 去求助
来源期刊
CiteScore
9.00
自引率
3.40%
发文量
87
审稿时长
6-12 weeks
期刊介绍: The aim of this journal is to systematically provide expert views on current basic science and clinical advances in the field of atherosclerosis and highlight the most important developments likely to transform the field of cardiovascular prevention, diagnosis, and treatment. We accomplish this aim by appointing major authorities to serve as Section Editors who select leading experts from around the world to provide definitive reviews on key topics and papers published in the past year. We also provide supplementary reviews and commentaries from well-known figures in the field. An Editorial Board of internationally diverse members suggests topics of special interest to their country/region and ensures that topics are current and include emerging research.
×
引用
GB/T 7714-2015
复制
MLA
复制
APA
复制
导出至
BibTeX EndNote RefMan NoteFirst NoteExpress
×
提示
您的信息不完整,为了账户安全,请先补充。
现在去补充
×
提示
您因"违规操作"
具体请查看互助需知
我知道了
×
提示
确定
请完成安全验证×
copy
已复制链接
快去分享给好友吧!
我知道了
右上角分享
点击右上角分享
0
联系我们:info@booksci.cn Book学术提供免费学术资源搜索服务,方便国内外学者检索中英文文献。致力于提供最便捷和优质的服务体验。 Copyright © 2023 布克学术 All rights reserved.
京ICP备2023020795号-1
ghs 京公网安备 11010802042870号
Book学术文献互助
Book学术文献互助群
群 号:604180095
Book学术官方微信