在以力量为目标的抗阻训练中,感知到的用力反映了疲劳状态。

IF 2.2 4区 医学 Q2 SPORT SCIENCES
International journal of sports medicine Pub Date : 2025-06-01 Epub Date: 2025-02-24 DOI:10.1055/a-2545-5403
Hanye Zhao, Takanori Kurokawa, Masayoshi Tajima, Zijian Liu, Junichi Okada
{"title":"在以力量为目标的抗阻训练中,感知到的用力反映了疲劳状态。","authors":"Hanye Zhao, Takanori Kurokawa, Masayoshi Tajima, Zijian Liu, Junichi Okada","doi":"10.1055/a-2545-5403","DOIUrl":null,"url":null,"abstract":"<p><p>Fatigue is an inevitable part of resistance training, making its monitoring crucial to prevent performance decline. This study evaluated the validity of ratings of perceived exertion as a measure of fatigue during power bench press exercises. Fourteen sub-elite male athletes completed three bench press tasks with varying volumes (low, medium, and high) at 65% of their one-repetition maximum. The rating of perceived exertion, a spectral fatigue index, and velocity loss were measured across all conditions. Significant effects were observed for the overall ratings of perceived exertion, average velocity loss, and average spectral fatigue index (all <i>p</i><0.001). As tasks progressed, the rating of perceived exertion and the spectral fatigue index increased significantly (<i>p</i><0.001), while the velocity loss was not significant under the low-volume condition. Significant correlations were found between the rating of perceived exertion and the spectral fatigue index (<i>r</i>=0.547, <i>p</i><0.001), the velocity loss and the spectral fatigue index (<i>r</i>=0.603, <i>p</i><0.001), and the rating of perceived exertion and the velocity loss (<i>r</i>=0.667, <i>p</i><0.001). The findings suggest that both the rating of perceived exertion and the velocity loss are valid measures of fatigue in power bench press exercises. However, the rating of perceived exertion is a more practical option due to its simplicity and accessibility. Furthermore, the rating of perceived exertion can act as a substitute for velocity when measurement tools are unavailable. It should be noted that velocity alone may not fully capture fatigue in low-repetition power training.</p>","PeriodicalId":14439,"journal":{"name":"International journal of sports medicine","volume":" ","pages":"437-445"},"PeriodicalIF":2.2000,"publicationDate":"2025-06-01","publicationTypes":"Journal Article","fieldsOfStudy":null,"isOpenAccess":false,"openAccessPdf":"https://www.ncbi.nlm.nih.gov/pmc/articles/PMC12148496/pdf/","citationCount":"0","resultStr":"{\"title\":\"Perceived exertion reflects fatigue conditions during power-aimed resistance training.\",\"authors\":\"Hanye Zhao, Takanori Kurokawa, Masayoshi Tajima, Zijian Liu, Junichi Okada\",\"doi\":\"10.1055/a-2545-5403\",\"DOIUrl\":null,\"url\":null,\"abstract\":\"<p><p>Fatigue is an inevitable part of resistance training, making its monitoring crucial to prevent performance decline. This study evaluated the validity of ratings of perceived exertion as a measure of fatigue during power bench press exercises. Fourteen sub-elite male athletes completed three bench press tasks with varying volumes (low, medium, and high) at 65% of their one-repetition maximum. The rating of perceived exertion, a spectral fatigue index, and velocity loss were measured across all conditions. Significant effects were observed for the overall ratings of perceived exertion, average velocity loss, and average spectral fatigue index (all <i>p</i><0.001). As tasks progressed, the rating of perceived exertion and the spectral fatigue index increased significantly (<i>p</i><0.001), while the velocity loss was not significant under the low-volume condition. Significant correlations were found between the rating of perceived exertion and the spectral fatigue index (<i>r</i>=0.547, <i>p</i><0.001), the velocity loss and the spectral fatigue index (<i>r</i>=0.603, <i>p</i><0.001), and the rating of perceived exertion and the velocity loss (<i>r</i>=0.667, <i>p</i><0.001). The findings suggest that both the rating of perceived exertion and the velocity loss are valid measures of fatigue in power bench press exercises. However, the rating of perceived exertion is a more practical option due to its simplicity and accessibility. Furthermore, the rating of perceived exertion can act as a substitute for velocity when measurement tools are unavailable. It should be noted that velocity alone may not fully capture fatigue in low-repetition power training.</p>\",\"PeriodicalId\":14439,\"journal\":{\"name\":\"International journal of sports medicine\",\"volume\":\" \",\"pages\":\"437-445\"},\"PeriodicalIF\":2.2000,\"publicationDate\":\"2025-06-01\",\"publicationTypes\":\"Journal Article\",\"fieldsOfStudy\":null,\"isOpenAccess\":false,\"openAccessPdf\":\"https://www.ncbi.nlm.nih.gov/pmc/articles/PMC12148496/pdf/\",\"citationCount\":\"0\",\"resultStr\":null,\"platform\":\"Semanticscholar\",\"paperid\":null,\"PeriodicalName\":\"International journal of sports medicine\",\"FirstCategoryId\":\"3\",\"ListUrlMain\":\"https://doi.org/10.1055/a-2545-5403\",\"RegionNum\":4,\"RegionCategory\":\"医学\",\"ArticlePicture\":[],\"TitleCN\":null,\"AbstractTextCN\":null,\"PMCID\":null,\"EPubDate\":\"2025/2/24 0:00:00\",\"PubModel\":\"Epub\",\"JCR\":\"Q2\",\"JCRName\":\"SPORT SCIENCES\",\"Score\":null,\"Total\":0}","platform":"Semanticscholar","paperid":null,"PeriodicalName":"International journal of sports medicine","FirstCategoryId":"3","ListUrlMain":"https://doi.org/10.1055/a-2545-5403","RegionNum":4,"RegionCategory":"医学","ArticlePicture":[],"TitleCN":null,"AbstractTextCN":null,"PMCID":null,"EPubDate":"2025/2/24 0:00:00","PubModel":"Epub","JCR":"Q2","JCRName":"SPORT SCIENCES","Score":null,"Total":0}
引用次数: 0

摘要

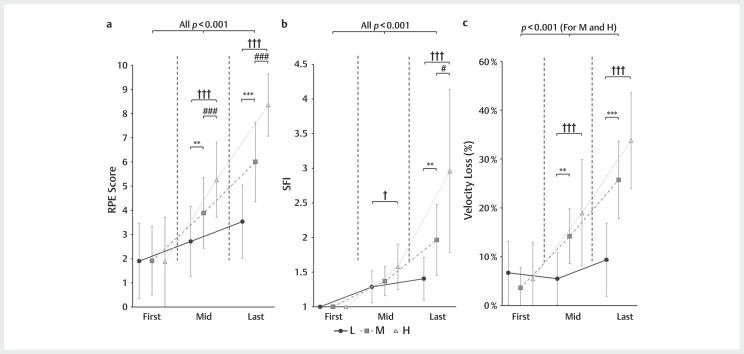
疲劳是抗阻训练中不可避免的一部分,因此对其进行监测对于防止成绩下降至关重要。本研究评估了感知用力等级(RPE)作为力量卧推(BP)运动中疲劳程度的衡量标准的有效性。14名次优秀的男性运动员完成了3个不同量(低、中、高)的BP任务,完成量是他们单次最大重复量的65%。在所有条件下测量了RPE、光谱疲劳指数(SFI)和速度损失。总体RPE、平均速度损失和平均SFI均有显著影响(均p < 0.001)。随着任务的进行,RPE和SFI显著增加(p < 0.001),而在小体积条件下速度损失不显著。RPE与SFI (r = 0.547, p < 0.001)、速度损失与SFI (r = 0.603, p < 0.001)、RPE与速度损失(r = 0.667, p < 0.001)之间存在显著相关性。研究结果表明,RPE和速度损失都是动力BP运动中疲劳的有效测量方法。然而,由于RPE的简单性和可访问性,它是一个更实用的选择。此外,当没有测量工具时,RPE可以作为速度的替代品。应该注意的是,在低重复次数的力量训练中,速度本身可能不能完全反映疲劳。
本文章由计算机程序翻译,如有差异,请以英文原文为准。

Perceived exertion reflects fatigue conditions during power-aimed resistance training.

Perceived exertion reflects fatigue conditions during power-aimed resistance training.

Perceived exertion reflects fatigue conditions during power-aimed resistance training.

Perceived exertion reflects fatigue conditions during power-aimed resistance training.

Fatigue is an inevitable part of resistance training, making its monitoring crucial to prevent performance decline. This study evaluated the validity of ratings of perceived exertion as a measure of fatigue during power bench press exercises. Fourteen sub-elite male athletes completed three bench press tasks with varying volumes (low, medium, and high) at 65% of their one-repetition maximum. The rating of perceived exertion, a spectral fatigue index, and velocity loss were measured across all conditions. Significant effects were observed for the overall ratings of perceived exertion, average velocity loss, and average spectral fatigue index (all p<0.001). As tasks progressed, the rating of perceived exertion and the spectral fatigue index increased significantly (p<0.001), while the velocity loss was not significant under the low-volume condition. Significant correlations were found between the rating of perceived exertion and the spectral fatigue index (r=0.547, p<0.001), the velocity loss and the spectral fatigue index (r=0.603, p<0.001), and the rating of perceived exertion and the velocity loss (r=0.667, p<0.001). The findings suggest that both the rating of perceived exertion and the velocity loss are valid measures of fatigue in power bench press exercises. However, the rating of perceived exertion is a more practical option due to its simplicity and accessibility. Furthermore, the rating of perceived exertion can act as a substitute for velocity when measurement tools are unavailable. It should be noted that velocity alone may not fully capture fatigue in low-repetition power training.

求助全文
通过发布文献求助,成功后即可免费获取论文全文。 去求助
来源期刊
CiteScore
4.80
自引率
4.00%
发文量
111
审稿时长
3-8 weeks
期刊介绍: The IJSM provides a forum for the publication of papers dealing with both basic and applied information that advance the field of sports medicine and exercise science, and offer a better understanding of biomedicine. The journal publishes original papers, reviews, short communications, and letters to the Editors.
×
引用
GB/T 7714-2015
复制
MLA
复制
APA
复制
导出至
BibTeX EndNote RefMan NoteFirst NoteExpress
×
提示
您的信息不完整,为了账户安全,请先补充。
现在去补充
×
提示
您因"违规操作"
具体请查看互助需知
我知道了
×
提示
确定
请完成安全验证×
copy
已复制链接
快去分享给好友吧!
我知道了
右上角分享
点击右上角分享
0
联系我们:info@booksci.cn Book学术提供免费学术资源搜索服务,方便国内外学者检索中英文文献。致力于提供最便捷和优质的服务体验。 Copyright © 2023 布克学术 All rights reserved.
京ICP备2023020795号-1
ghs 京公网安备 11010802042870号
Book学术文献互助
Book学术文献互助群
群 号:604180095
Book学术官方微信