环孢素联合/不联合低剂量口服皮质类固醇治疗成人肾病综合征特发性膜性肾病的随机前瞻性对照开放标记试验

IF 1.1 4区 医学 Q3 MEDICINE, GENERAL & INTERNAL
Internal Medicine Pub Date : 2025-09-01 Epub Date: 2025-02-22 DOI:10.2169/internalmedicine.4803-24
Joichi Usui, Kouichi Hirayama, Masaki Kobayashi, Satoshi Suzuki, Itaru Ebihara, Kenta Nishiki, Kaori Mase, Aki Hirayama, Chie Saito, Michihiro Goto, Akio Koyama, Kunihiro Yamagata
{"title":"环孢素联合/不联合低剂量口服皮质类固醇治疗成人肾病综合征特发性膜性肾病的随机前瞻性对照开放标记试验","authors":"Joichi Usui, Kouichi Hirayama, Masaki Kobayashi, Satoshi Suzuki, Itaru Ebihara, Kenta Nishiki, Kaori Mase, Aki Hirayama, Chie Saito, Michihiro Goto, Akio Koyama, Kunihiro Yamagata","doi":"10.2169/internalmedicine.4803-24","DOIUrl":null,"url":null,"abstract":"<p><p>Objective We conducted a prospective, randomized controlled, open-label study to investigate the efficacy of a combination of cyclosporine and low-dose prednisolone in patients with idiopathic membranous nephropathy (IMN). Methods We recruited biopsy-proven IMN patients with nephrotic syndrome who had never been treated with immunosuppressants. The patients were randomized into 2 groups treated after randomization with cyclosporine (3 mg/kg/day) alone or with an oral low-dose corticosteroid (prednisolone 15 mg/day) for 24 months. Results We recruited 30 patients with IMN and nephrotic-range proteinuria, 28 of whom were included in this study. Fourteen patients were randomized for treatment with only cyclosporine (Group A), and 14 were randomized for treatment with cyclosporine plus low-dose corticosteroids (Group B). Cyclosporine monotherapy induced remission in 12 of the 14 patients in Group A, including partial remission in 7 patients (50.0%) and complete remission in 5 patients (36.7%). In Group B, 12 of 14 patients achieved proteinuria remission, including 11 (78.6%) with complete remission and 1 (7.1%) with partial remission. Although there was no marked difference in the overall remission rate, the complete remission rate was significantly higher in Group B than in Group A (p=0.02). Furthermore, there was a statistically significant difference between the groups in the time from the start of the study to complete remission (10.2±7.8 months in Group A; 9.5±6.1 months in Group B, p=0.03). Conclusion The combination of cyclosporine and low-dose corticosteroid treatment is an effective and important option in the management of patients with IMN with nephrotic-range proteinuria, either as an initial therapy or as a long-term treatment.</p>","PeriodicalId":13719,"journal":{"name":"Internal Medicine","volume":" ","pages":"2541-2548"},"PeriodicalIF":1.1000,"publicationDate":"2025-09-01","publicationTypes":"Journal Article","fieldsOfStudy":null,"isOpenAccess":false,"openAccessPdf":"https://www.ncbi.nlm.nih.gov/pmc/articles/PMC12463419/pdf/","citationCount":"0","resultStr":"{\"title\":\"Randomized Prospective Controlled Open-labeled Trial of Cyclosporine with/without Low-dose Oral Corticosteroids in Idiopathic Membranous Nephropathy in Adults with Nephrotic Syndrome.\",\"authors\":\"Joichi Usui, Kouichi Hirayama, Masaki Kobayashi, Satoshi Suzuki, Itaru Ebihara, Kenta Nishiki, Kaori Mase, Aki Hirayama, Chie Saito, Michihiro Goto, Akio Koyama, Kunihiro Yamagata\",\"doi\":\"10.2169/internalmedicine.4803-24\",\"DOIUrl\":null,\"url\":null,\"abstract\":\"<p><p>Objective We conducted a prospective, randomized controlled, open-label study to investigate the efficacy of a combination of cyclosporine and low-dose prednisolone in patients with idiopathic membranous nephropathy (IMN). Methods We recruited biopsy-proven IMN patients with nephrotic syndrome who had never been treated with immunosuppressants. The patients were randomized into 2 groups treated after randomization with cyclosporine (3 mg/kg/day) alone or with an oral low-dose corticosteroid (prednisolone 15 mg/day) for 24 months. Results We recruited 30 patients with IMN and nephrotic-range proteinuria, 28 of whom were included in this study. Fourteen patients were randomized for treatment with only cyclosporine (Group A), and 14 were randomized for treatment with cyclosporine plus low-dose corticosteroids (Group B). Cyclosporine monotherapy induced remission in 12 of the 14 patients in Group A, including partial remission in 7 patients (50.0%) and complete remission in 5 patients (36.7%). In Group B, 12 of 14 patients achieved proteinuria remission, including 11 (78.6%) with complete remission and 1 (7.1%) with partial remission. Although there was no marked difference in the overall remission rate, the complete remission rate was significantly higher in Group B than in Group A (p=0.02). Furthermore, there was a statistically significant difference between the groups in the time from the start of the study to complete remission (10.2±7.8 months in Group A; 9.5±6.1 months in Group B, p=0.03). Conclusion The combination of cyclosporine and low-dose corticosteroid treatment is an effective and important option in the management of patients with IMN with nephrotic-range proteinuria, either as an initial therapy or as a long-term treatment.</p>\",\"PeriodicalId\":13719,\"journal\":{\"name\":\"Internal Medicine\",\"volume\":\" \",\"pages\":\"2541-2548\"},\"PeriodicalIF\":1.1000,\"publicationDate\":\"2025-09-01\",\"publicationTypes\":\"Journal Article\",\"fieldsOfStudy\":null,\"isOpenAccess\":false,\"openAccessPdf\":\"https://www.ncbi.nlm.nih.gov/pmc/articles/PMC12463419/pdf/\",\"citationCount\":\"0\",\"resultStr\":null,\"platform\":\"Semanticscholar\",\"paperid\":null,\"PeriodicalName\":\"Internal Medicine\",\"FirstCategoryId\":\"3\",\"ListUrlMain\":\"https://doi.org/10.2169/internalmedicine.4803-24\",\"RegionNum\":4,\"RegionCategory\":\"医学\",\"ArticlePicture\":[],\"TitleCN\":null,\"AbstractTextCN\":null,\"PMCID\":null,\"EPubDate\":\"2025/2/22 0:00:00\",\"PubModel\":\"Epub\",\"JCR\":\"Q3\",\"JCRName\":\"MEDICINE, GENERAL & INTERNAL\",\"Score\":null,\"Total\":0}","platform":"Semanticscholar","paperid":null,"PeriodicalName":"Internal Medicine","FirstCategoryId":"3","ListUrlMain":"https://doi.org/10.2169/internalmedicine.4803-24","RegionNum":4,"RegionCategory":"医学","ArticlePicture":[],"TitleCN":null,"AbstractTextCN":null,"PMCID":null,"EPubDate":"2025/2/22 0:00:00","PubModel":"Epub","JCR":"Q3","JCRName":"MEDICINE, GENERAL & INTERNAL","Score":null,"Total":0}
引用次数: 0

摘要

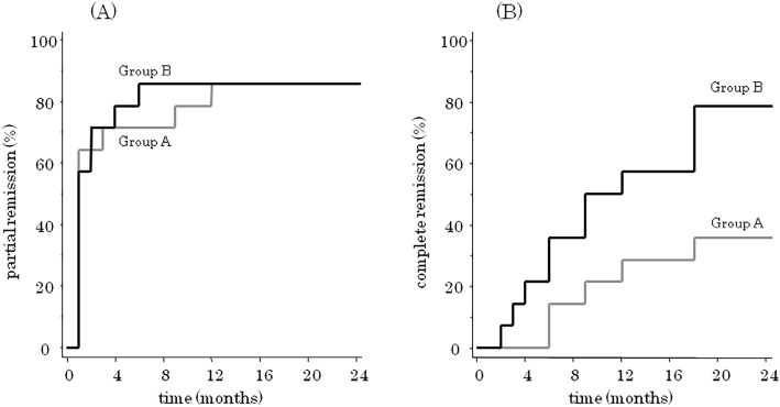
目的:我们进行了一项前瞻性、随机对照、开放标签的研究,探讨环孢素和低剂量强的松龙联合治疗特发性膜性肾病(IMN)的疗效。方法我们招募活检证实的IMN肾病综合征患者,这些患者从未接受过免疫抑制剂治疗。患者被随机分为两组,随机化后单独使用环孢素(3mg /kg/天)或口服低剂量皮质类固醇(强的松龙15mg /天)治疗24个月。结果:我们招募了30例伴有IMN和肾范围蛋白尿的患者,其中28例纳入本研究。14例患者随机分为单用环孢素治疗组(A组),14例患者随机分为单用环孢素加低剂量皮质激素治疗组(B组)。A组14例患者中,环孢素单药治疗12例患者缓解,其中7例患者部分缓解(50.0%),5例患者完全缓解(36.7%)。在B组,14例患者中有12例达到蛋白尿缓解,其中11例(78.6%)完全缓解,1例(7.1%)部分缓解。虽然两组总缓解率无明显差异,但B组的完全缓解率明显高于A组(p=0.02)。此外,两组从研究开始到完全缓解的时间(a组为10.2±7.8个月;B组为9.5±6.1个月,p=0.03)。结论环孢素联合小剂量糖皮质激素治疗是治疗IMN合并肾范围蛋白尿的有效且重要的选择,无论是作为初始治疗还是作为长期治疗。
本文章由计算机程序翻译,如有差异,请以英文原文为准。

Randomized Prospective Controlled Open-labeled Trial of Cyclosporine with/without Low-dose Oral Corticosteroids in Idiopathic Membranous Nephropathy in Adults with Nephrotic Syndrome.

Randomized Prospective Controlled Open-labeled Trial of Cyclosporine with/without Low-dose Oral Corticosteroids in Idiopathic Membranous Nephropathy in Adults with Nephrotic Syndrome.

Randomized Prospective Controlled Open-labeled Trial of Cyclosporine with/without Low-dose Oral Corticosteroids in Idiopathic Membranous Nephropathy in Adults with Nephrotic Syndrome.

Randomized Prospective Controlled Open-labeled Trial of Cyclosporine with/without Low-dose Oral Corticosteroids in Idiopathic Membranous Nephropathy in Adults with Nephrotic Syndrome.

Objective We conducted a prospective, randomized controlled, open-label study to investigate the efficacy of a combination of cyclosporine and low-dose prednisolone in patients with idiopathic membranous nephropathy (IMN). Methods We recruited biopsy-proven IMN patients with nephrotic syndrome who had never been treated with immunosuppressants. The patients were randomized into 2 groups treated after randomization with cyclosporine (3 mg/kg/day) alone or with an oral low-dose corticosteroid (prednisolone 15 mg/day) for 24 months. Results We recruited 30 patients with IMN and nephrotic-range proteinuria, 28 of whom were included in this study. Fourteen patients were randomized for treatment with only cyclosporine (Group A), and 14 were randomized for treatment with cyclosporine plus low-dose corticosteroids (Group B). Cyclosporine monotherapy induced remission in 12 of the 14 patients in Group A, including partial remission in 7 patients (50.0%) and complete remission in 5 patients (36.7%). In Group B, 12 of 14 patients achieved proteinuria remission, including 11 (78.6%) with complete remission and 1 (7.1%) with partial remission. Although there was no marked difference in the overall remission rate, the complete remission rate was significantly higher in Group B than in Group A (p=0.02). Furthermore, there was a statistically significant difference between the groups in the time from the start of the study to complete remission (10.2±7.8 months in Group A; 9.5±6.1 months in Group B, p=0.03). Conclusion The combination of cyclosporine and low-dose corticosteroid treatment is an effective and important option in the management of patients with IMN with nephrotic-range proteinuria, either as an initial therapy or as a long-term treatment.

求助全文
通过发布文献求助,成功后即可免费获取论文全文。 去求助
来源期刊
Internal Medicine
Internal Medicine 医学-医学:内科
CiteScore
1.90
自引率
8.30%
发文量
0
审稿时长
2.2 months
期刊介绍: Internal Medicine is an open-access online only journal published monthly by the Japanese Society of Internal Medicine. Articles must be prepared in accordance with "The Uniform Requirements for Manuscripts Submitted to Biomedical Journals (see Annals of Internal Medicine 108: 258-265, 1988), must be contributed solely to the Internal Medicine, and become the property of the Japanese Society of Internal Medicine. Statements contained therein are the responsibility of the author(s). The Society reserves copyright and renewal on all published material and such material may not be reproduced in any form without the written permission of the Society.
×
引用
GB/T 7714-2015
复制
MLA
复制
APA
复制
导出至
BibTeX EndNote RefMan NoteFirst NoteExpress
×
提示
您的信息不完整,为了账户安全,请先补充。
现在去补充
×
提示
您因"违规操作"
具体请查看互助需知
我知道了
×
提示
确定
请完成安全验证×
copy
已复制链接
快去分享给好友吧!
我知道了
右上角分享
点击右上角分享
0
联系我们:info@booksci.cn Book学术提供免费学术资源搜索服务,方便国内外学者检索中英文文献。致力于提供最便捷和优质的服务体验。 Copyright © 2023 布克学术 All rights reserved.
京ICP备2023020795号-1
ghs 京公网安备 11010802042870号
Book学术文献互助
Book学术文献互助群
群 号:604180095
Book学术官方微信